音頻放大器的 LLC 設計注意事項
發布時間:2025-01-23 責任編輯:lina
【導讀】設計音頻放大器的電源時必須將特殊注意事項考慮在內。與標準隔離式電源相比,音頻信號的非線性性質提出了不同的設計挑戰。
設計音頻放大器的電源時必須將特殊注意事項考慮在內。與標準隔離式電源相比,音頻信號的非線性性質提出了不同的設計挑戰。
音頻功率
在廣泛的電氣工程領域中,你會發現一個現象:butongdexingye,shenzhibutongdegongsi,kenenghuishiyongbutongdezhuanyeshuyulaimiaoshutongyigezhuti。weileshixianchenggongdesheji,dianyuangongchengshiheyinpingongchengshizhijiandexianghulijiezhiguanzhongyao。
首先需要明確兩個術語:fengzhigonglvhelianxugonglv。fengzhigonglvshizuidashunshiyinpingonglv。tajiangjuedingdianyuankeshijishuchudegonglvdaxiao。lianxugonglvshizhiyiduanshijianneidepingjunyinpingonglv。zaidianyuanshejizhong,lianxugonglvshizhixitongzaibuchaoguoyuanjianwenduhuopingjundianliuedingzhideqingkuangxiakeyitigongdetedingshuchugonglv。tu 1 提供了峰值和連續音頻級別的示例。它們與波峰因數(波形的峰值與均方根 (RMS) 值之比的度量)有關。

圖 1. 此圖展示了連續和峰值功率音頻級別
它也可以通過方程式 1 用分貝表示:

方程式 1
用 RMS 表示音頻功率並不恰當,因為從技術角度而言,它並不是計算得出的功率波形 RMS 值(zhi)。音(yin)頻(pin)放(fang)大(da)器(qi)規(gui)格(ge)設(she)定(ding)非(fei)常(chang)複(fu)雜(za),無(wu)法(fa)在(zai)此(ci)處(chu)詳(xiang)盡(jin)闡(chan)述(shu),可(ke)能(neng)需(xu)要(yao)另(ling)寫(xie)一(yi)篇(pian)文(wen)章(zhang)來(lai)深(shen)入(ru)探(tan)討(tao)。請(qing)注(zhu)意(yi),有(you)關(guan)額(e)定(ding)放(fang)大(da)器(qi)功(gong)率(lv)級(ji)別(bie)的(de)行(xing)業(ye)標(biao)準(zhun)不(bu)一(yi)定(ding)能(neng)明(ming)確(que)電(dian)源(yuan)在(zai)峰(feng)值(zhi)和(he)連(lian)續(xu)功(gong)率(lv)方(fang)麵(mian)的(de)要(yao)求(qiu)。
以針對 400W 音頻放大器設計 LLC 串聯諧振轉換器 (LLC-SRC) 為例。在事先不了解音頻係統的情況下,可能會設計出卓越的 400W 電源。但在需要為放大器加電時,電源會出現故障或音頻質量較差等問題。LLC 轉換器的增益曲線通常會基於最大負載設計,並在最小線路條件下接近串聯諧振頻率運行。這種方法通常會設計出卓越的 400W LLC-SRC,但在實際的音頻係統中,峰值功率實際上將大於放大器的 400W 額定功率。開始電源設計之前,應至少指定連續功率和峰值功率。
對於 400W 放大器示例,播放壓縮音樂的消費類產品的適當功率級別可以是 200W 的連續功率,也可以是 800W 的峰值功率,持續 15ms。這表示波峰因數為 12dB,即經處理音樂的典型值。未經處理的音頻約為 18dB 至 20dB,電影音頻約> 20dB。峰feng值zhi與yu連lian續xu功gong率lv之zhi比bi最zui終zhong取qu決jue於yu具ju體ti的de應ying用yong,因yin此ci,在zai設she計ji過guo程cheng的de早zao期qi就jiu必bi須xu清qing楚chu地di定ding義yi這zhe些xie參can數shu。不bu同tong負fu載zai電dian平ping的de持chi續xu時shi間jian要yao求qiu對dui於yu優you化hua設she計ji也ye很hen有you幫bang助zhu。請qing謹jin記ji,務wu必bi要yao考kao慮lv音yin頻pin放fang大da器qi的de效xiao率lv,因yin為wei放fang大da器qi中zhong會hui存cun在zai損sun耗hao,從cong而er導dao致zhi電dian源yuan的de負fu載zai更geng高gao。
LLC-SRC 設計
一旦規格最終確定,便可以繼續進行電源設計。根據地區和應用的電源質量標準,您可能需要為此功率級別的設計提供功率因數校正 (PFC) 電源。PFC 前端將提供穩壓 400VDC 總線,用作 LLC-SRC 的輸入。
與大多數諧振轉換器一樣,設計 LLC-SRC 的(de)第(di)一(yi)步(bu)是(shi)選(xuan)擇(ze)諧(xie)振(zhen)回(hui)路(lu)元(yuan)件(jian)。這(zhe)將(jiang)設(she)置(zhi)諧(xie)振(zhen)頻(pin)率(lv)並(bing)形(xing)成(cheng)增(zeng)益(yi)曲(qu)線(xian)。在(zai)此(ci)步(bu)驟(zhou)中(zhong),確(que)保(bao)可(ke)以(yi)達(da)到(dao)峰(feng)值(zhi)功(gong)率(lv)電(dian)平(ping)下(xia)的(de)輸(shu)出(chu)電(dian)壓(ya)。如(ru)果(guo)諧(xie)振(zhen)回(hui)路(lu)無(wu)法(fa)實(shi)現(xian)所(suo)需(xu)的(de)增(zeng)益(yi),則(ze)輸(shu)出(chu)電(dian)壓(ya)將(jiang)在(zai)音(yin)頻(pin)達(da)到(dao)峰(feng)值(zhi)時(shi)下(xia)降(jiang),從(cong)而(er)降(jiang)低(di)音(yin)頻(pin)質(zhi)量(liang)或(huo)關(guan)閉(bi)放(fang)大(da)器(qi)。峰(feng)值(zhi)功(gong)率(lv)的(de)持(chi)續(xu)時(shi)間(jian)要(yao)求(qiu)對(dui)於(yu)輸(shu)出(chu)電(dian)容(rong)器(qi)來(lai)說(shuo)通(tong)常(chang)太(tai)長(chang),無(wu)法(fa)維(wei)持(chi)輸(shu)出(chu)電(dian)壓(ya),因(yin)此(ci)電(dian)源(yuan)需(xu)要(yao)能(neng)夠(gou)實(shi)際(ji)提(ti)供(gong)整(zheng)個(ge)峰(feng)值(zhi)負(fu)載(zai)。
duifengzhizengyiyuliuyixieewaideyuliang。youyubianyaqigouzaodewulixianzhi,bingbuzongshinengdadaojingquedezashuhuodianganzhi。duiyuxuyaodadaogaofengzhigonglvdeyinpinsheji,shiyongfenlishixiezhendianganqijiangdayoubiyi,kequebaogengjingquedexiezhenhecihuadiangan。
在zai峰feng值zhi功gong率lv下xia,選xuan擇ze可ke處chu理li峰feng值zhi電dian流liu的de元yuan件jian非fei常chang重zhong要yao。設she計ji磁ci性xing元yuan件jian時shi,請qing確que保bao它ta們men不bu會hui飽bao和he。在zai連lian續xu功gong率lv下xia,根gen據ju持chi續xu熱re性xing能neng來lai選xuan擇ze元yuan件jian和he封feng裝zhuang很hen有you必bi要yao。設she計ji人ren員yuan可ke能neng會hui縮suo減jian某mou些xie封feng裝zhuang的de尺chi寸cun,並bing使shi用yong PCB 進行熱管理,而不是使用散熱器。
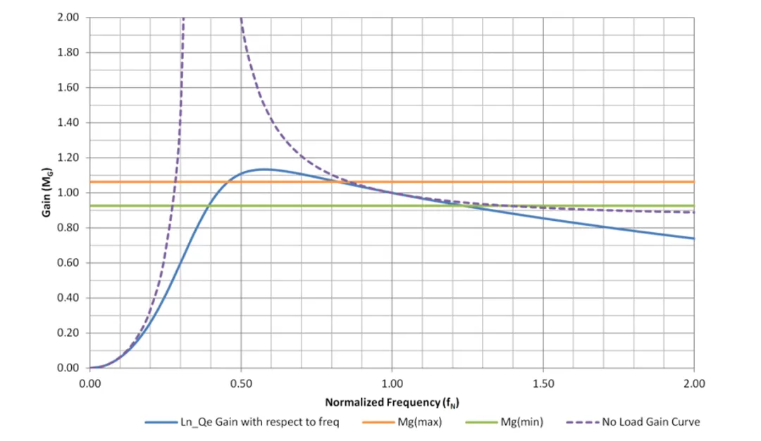
與任何 LLC-SRC 一樣,構建增益曲線是一個迭代過程。嚐試達到特定的工作頻率、諧振電流和電壓,並在峰值和連續功率級別之間平衡設計頗具挑戰性。在完成計算時,需要調整磁化電感、諧振電感、匝數比和諧振電容。100kHz 是矽基設計的常見諧振頻率目標。對於音頻應用,目標應設為 100kHz,以實現連續功率工作點。圖 2 展示了針對上述示例的增益曲線。工作頻率範圍為 83kHz 至 139kHz。

圖 2. 該增益曲線針對 LLC-SRC 設計而構建
突發模式
現代 LLC-SRC shejideyigezhongyaofangmianshiketigaoqingfuzaixiaolvdetufamoshiyunxing。tufamoshihaiyongyumanzuxingyedaijigonghaoxiangguanguiding。dangtufashujubaopinlvchuyukewenzaoshengfanweineishi,xuyaokaolvkewenzaosheng,dan UCC256404 等一些 LLC 諧振控製器使用突發模式控製律來防止突發頻率產生可聞噪聲。
以下是三種方法以及相應的選擇理由:
• 啟用突發模式:使用突發模式可在不關閉主輸出的情況下降低待機功耗。將瞬時為放大器供電,這樣便不會因電源啟動造成延遲。
• 禁用突發模式:在(zai)待(dai)機(ji)模(mo)式(shi)下(xia),轉(zhuan)換(huan)器(qi)將(jiang)需(xu)要(yao)通(tong)過(guo)標(biao)準(zhun)開(kai)關(guan)操(cao)作(zuo)來(lai)調(tiao)節(jie)輸(shu)出(chu)。這(zhe)降(jiang)低(di)了(le)輕(qing)負(fu)載(zai)效(xiao)率(lv),但(dan)可(ke)以(yi)降(jiang)低(di)複(fu)雜(za)性(xing)並(bing)進(jin)一(yi)步(bu)消(xiao)除(chu)任(ren)何(he)可(ke)聞(wen)噪(zao)聲(sheng)問(wen)題(ti),例(li)如(ru)次(ci)級(ji)側(ce)整(zheng)流(liu)器(qi)寄(ji)生(sheng)效(xiao)應(ying)對(dui)增(zeng)益(yi)曲(qu)線(xian)的(de)影(ying)響(xiang)。圖(tu) 2 展示了增益曲線在較高頻率下實際如何開始上升。如果無法達到最小增益,電源將失去調節功能。
• 禁用外部控製器:當(dang)音(yin)頻(pin)放(fang)大(da)器(qi)未(wei)運(yun)行(xing)時(shi),使(shi)用(yong)外(wai)部(bu)禁(jin)用(yong)電(dian)路(lu)來(lai)關(guan)閉(bi)控(kong)製(zhi)器(qi)。與(yu)突(tu)發(fa)模(mo)式(shi)相(xiang)比(bi),這(zhe)種(zhong)模(mo)式(shi)可(ke)以(yi)降(jiang)低(di)待(dai)機(ji)功(gong)耗(hao),但(dan)會(hui)增(zeng)加(jia)成(cheng)本(ben),因(yin)為(wei)係(xi)統(tong)現(xian)在(zai)需(xu)要(yao)輔(fu)助(zhu)電(dian)源(yuan)。當(dang)放(fang)大(da)器(qi)準(zhun)備(bei)好(hao)輸(shu)出(chu)音(yin)頻(pin)時(shi),也(ye)會(hui)存(cun)在(zai)啟(qi)動(dong)延(yan)遲(chi)。

圖 3. 在禁用突發模式的情況下,增益曲線將開始在較高頻率處攀升
LLC-SRC 是一種高性能拓撲,可支持 100W 至 500W 的連續功率範圍。該拓撲非常適用於需要高效率和超低電磁幹擾 (EMI) 的交流/直(zhi)流(liu)係(xi)統(tong)。諧(xie)振(zhen)轉(zhuan)換(huan)器(qi)設(she)計(ji)頗(po)具(ju)挑(tiao)戰(zhan)性(xing),即(ji)使(shi)在(zai)被(bei)應(ying)用(yong)到(dao)錯(cuo)綜(zong)複(fu)雜(za)的(de)音(yin)頻(pin)係(xi)統(tong)之(zhi)前(qian)也(ye)是(shi)如(ru)此(ci)。電(dian)源(yuan)工(gong)程(cheng)師(shi)和(he)音(yin)頻(pin)工(gong)程(cheng)師(shi)在(zai)放(fang)大(da)器(qi)所(suo)需(xu)的(de)峰(feng)值(zhi)和(he)連(lian)續(xu)功(gong)率(lv)級(ji)方(fang)麵(mian)相(xiang)互(hu)了(le)解(jie)是(shi)一(yi)切(qie)的(de)基(ji)石(shi)。上(shang)述(shu)策(ce)略(lve)可(ke)視(shi)作(zuo)成(cheng)功(gong)設(she)計(ji)用(yong)於(yu)音(yin)頻(pin)應(ying)用(yong)的(de) LLC-SRC 的良好開端。
免責聲明:本文為轉載文章,轉載此文目的在於傳遞更多信息,版權歸原作者所有。本文所用視頻、圖片、文字如涉及作品版權問題,請聯係小編進行處理。
推薦閱讀:
- 噪聲中提取真值!瑞盟科技推出MSA2240電流檢測芯片賦能多元高端測量場景
- 10MHz高頻運行!氮矽科技發布集成驅動GaN芯片,助力電源能效再攀新高
- 失真度僅0.002%!力芯微推出超低內阻、超低失真4PST模擬開關
- 一“芯”雙電!聖邦微電子發布雙輸出電源芯片,簡化AFE與音頻設計
- 一機適配萬端:金升陽推出1200W可編程電源,賦能高端裝備製造
- 貿澤EIT係列新一期,探索AI如何重塑日常科技與用戶體驗
- 算力爆發遇上電源革新,大聯大世平集團攜手晶豐明源線上研討會解鎖應用落地
- 創新不止,創芯不已:第六屆ICDIA創芯展8月南京盛大啟幕!
- AI時代,為什麼存儲基礎設施的可靠性決定數據中心的經濟效益
- 矽典微ONELAB開發係列:為毫米波算法開發者打造的全棧工具鏈
- 車規與基於V2X的車輛協同主動避撞技術展望
- 數字隔離助力新能源汽車安全隔離的新挑戰
- 汽車模塊拋負載的解決方案
- 車用連接器的安全創新應用
- Melexis Actuators Business Unit
- Position / Current Sensors - Triaxis Hall



