處理穩壓器中高開關頻率的PCB布局
發布時間:2024-04-15 來源:亞德諾半導體 責任編輯:lina
【導讀】本文由ADI代理商駿龍科技工程師通過介紹理想電路和實際電路仿真,回顧開關波形,檢查 PCB 布局,並使用理想的仿真模型,以確認當穩壓器的開關頻率較高時可使用的電子元件。
本文由ADI代理商駿龍科技工程師通過介紹理想電路和實際電路仿真,回顧開關波形,檢查 PCB 布局,並使用理想的仿真模型,以確認當穩壓器的開關頻率較高時可使用的電子元件。
PART.01 設置電感和輸出電容器常數
DC/DC 轉換器的開關頻率通常在 300~500KHz 之間,但逐漸流行開關頻率為 1~2MHz 的產品,有些可達到 4MHz 或更高。高頻 DC/DC 轉zhuan換huan器qi能neng夠gou減jian小xiao輸shu出chu電dian容rong和he電dian感gan的de尺chi寸cun以yi節jie省sheng電dian路lu板ban空kong間jian,這zhe是shi小xiao型xing便bian攜xie類lei產chan品pin的de基ji本ben功gong能neng,但dan它ta們men卻que很hen難nan在zai較jiao高gao的de開kai關guan頻pin率lv下xia達da到dao更geng低di的de電dian壓ya。
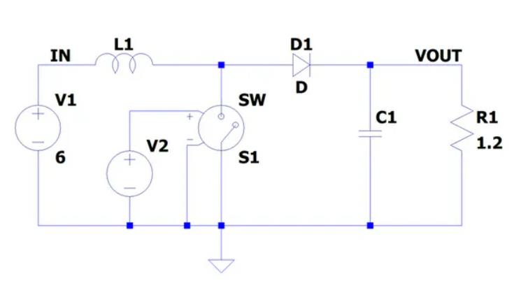
這次我們將使用 ADI LTspice 創建一個理想電路並驗證其工作。如下圖 (圖1) 所示,使用電路構建輸入電壓為 6(V)、輸出電壓為 12(V)、負載電流為 10(A) 的升壓轉換器。使用該理想電路時,觀察當開關頻率為 2MHz 和 400KHz 時,計算並比較所用電感和輸出電容的常數值變化幅度,之後可以檢查當電路隨計算常數移動時是否能夠獲得相同的特性。
圖1 升壓轉換器電路
PART.02 選擇電感器
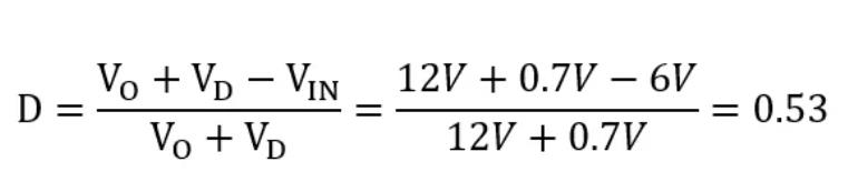
在計算電感值前需要先計算 Duty 比,可參考使用下圖 (圖2) 所示公式。其中 Vo 為輸出電壓,VIN 為輸入電壓,VD 為二極管正向電壓。
圖2 Duty 比計算公式
接下來計算開關頻率為 2MHz 的電感 (L1) 和開關頻率為 400KHz 的電感 (L2)。計算公式如下圖 (圖3) 所示,其中 ΔIL 為負載電流的 40%。當開關頻率為 2MHz 時,電感值約為 1/5,電感器的匝數減少。由此可見,高開關頻率的優點是可以選擇電感外形較小的元件。
圖3 電感計算公式
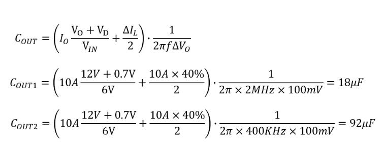
PART.03 選擇輸出電容
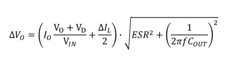
隨後使用下圖 (圖4) 所示公式,計算輸出電容值,這裏的 ESR 指的是輸出電容的 ESR,而輸出電容由可接受的輸出紋波值決定。
圖4 輸出紋波電壓計算公式
這次我們將模擬理想狀態下升壓轉換器的電路,將 ESR 為零的公式展開,可得出求輸出電容公式,如下圖 (圖5) 所示:
圖5 輸出電容電容計算公式
根據公式計算了開關頻率為 2MHz(Cout1) 的輸出電容和400KHz(Cout2) 的輸出電容,Cout1=18μF,Cout2=92μF,因此開關頻率越高,電容越小。接下來可以通過仿真來檢查計算出的電感器和輸出電容器是否可以獲得所需的輸出電壓。
PART.04 使用 LTspice 進行操作檢查
接下來通過 LTspice 驗證使用上圖 (圖1) 中理想升壓轉換器電路中計算的電感和輸出電容、在 2MHz 和 400KHz 的開關頻率下是否可獲得 12V 輸出以及紋波電壓是否相同。
圖6 開關頻率為 2MHz 和 4MHz 的升壓穩壓器電路
如下圖 (圖7) 所示為輸出電壓仿真,其中紅色 (Vout1) 為開關頻率為 2MHz 的結果,在 12V 輸出電壓下紋波約為 149mV,藍色 (Vout2) 為開關頻率為 400KHz 的結果,在 11.95V 輸出電壓下紋波約為 145mV。從(cong)這(zhe)些(xie)結(jie)果(guo)可(ke)以(yi)看(kan)出(chu),所(suo)選(xuan)的(de)電(dian)感(gan)器(qi)和(he)輸(shu)出(chu)電(dian)容(rong)器(qi)沒(mei)有(you)問(wen)題(ti),並(bing)且(qie)在(zai)具(ju)有(you)高(gao)開(kai)關(guan)頻(pin)率(lv)的(de)穩(wen)壓(ya)器(qi)的(de)情(qing)況(kuang)下(xia),可(ke)以(yi)選(xuan)擇(ze)附(fu)近(jin)使(shi)用(yong)的(de)電(dian)感(gan)器(qi)和(he)電(dian)容(rong)器(qi)等(deng)小(xiao)元(yuan)件(jian)。
圖7 輸出電壓波形圖
但是需要檢查如下圖 (圖8) 所suo示shi的de各ge種zhong電dian流liu波bo形xing,藍lan色se電dian感gan電dian流liu具ju有you低di壓ya擺bai率lv的de特te點dian,易yi於yu利li用yong輸shu入ru電dian容rong進jin行xing濾lv波bo。可ke以yi看kan出chu流liu過guo紅hong色se開kai關guan的de電dian流liu和he流liu過guo綠lv色se輸shu出chu電dian容rong的de電dian流liu是shi具ju有you快kuai速su壓ya擺bai率lv的de PWM 電流波形,這種快速壓擺率電流的 PCB 布局必須是經過仔細設計的。此次出於仿真目的,我們對 2MHz 和 400KHz 使用相同的壓擺率進行仿真,但是在真實設備上,400MHz 的壓擺率可能會比 2KHz 時更快。
圖8 各種電流波形
PART.05 總結
本(ben)文(wen)通(tong)過(guo)仿(fang)真(zhen)實(shi)驗(yan),說(shuo)明(ming)當(dang)處(chu)理(li)穩(wen)壓(ya)器(qi)開(kai)關(guan)頻(pin)率(lv)越(yue)高(gao),穩(wen)壓(ya)器(qi)中(zhong)使(shi)用(yong)的(de)相(xiang)互(hu)作(zuo)用(yong)器(qi)和(he)電(dian)容(rong)器(qi)的(de)尺(chi)寸(cun)就(jiu)越(yue)小(xiao)。然(ran)而(er)高(gao)開(kai)關(guan)頻(pin)率(lv)也(ye)伴(ban)隨(sui)著(zhe)挑(tiao)戰(zhan),例(li)如(ru)開(kai)關(guan)損(sun)耗(hao)增(zeng)加(jia)、高開關節點壓擺率和高電流壓擺率,也很難找到合適的 MOSFET。MOSFET 必須具有足夠低的導通電阻,以最大限度地降低導通損耗並實現快速開關。PCB 上元件的放置和布線應考慮 PCB 的寄生電感,敏感節點不應允許噪聲傳播。
免責聲明:本文為轉載文章,轉載此文目的在於傳遞更多信息,版權歸原作者所有。本文所用視頻、圖片、文字如涉及作品版權問題,請聯係小編進行處理。
推薦閱讀:
ST 幫助鬆下自行車科技公司將人工智能引入電動自行車,以低廉的成本提升安全性
瑞森半導體新品攻略—小功率、小體積、高效率!LED驅動模塊RSC6218A
- 噪聲中提取真值!瑞盟科技推出MSA2240電流檢測芯片賦能多元高端測量場景
- 10MHz高頻運行!氮矽科技發布集成驅動GaN芯片,助力電源能效再攀新高
- 失真度僅0.002%!力芯微推出超低內阻、超低失真4PST模擬開關
- 一“芯”雙電!聖邦微電子發布雙輸出電源芯片,簡化AFE與音頻設計
- 一機適配萬端:金升陽推出1200W可編程電源,賦能高端裝備製造
- 築基AI4S:摩爾線程全功能GPU加速中國生命科學自主生態
- 一秒檢測,成本降至萬分之一,光引科技把幾十萬的台式光譜儀“搬”到了手腕上
- AI服務器電源機櫃Power Rack HVDC MW級測試方案
- 突破工藝邊界,奎芯科技LPDDR5X IP矽驗證通過,速率達9600Mbps
- 通過直接、準確、自動測量超低範圍的氯殘留來推動反滲透膜保護
- 車規與基於V2X的車輛協同主動避撞技術展望
- 數字隔離助力新能源汽車安全隔離的新挑戰
- 汽車模塊拋負載的解決方案
- 車用連接器的安全創新應用
- Melexis Actuators Business Unit
- Position / Current Sensors - Triaxis Hall





