生成與模擬電壓的平方根成反比的脈衝寬度
發布時間:2023-03-24 責任編輯:lina
【導讀】盡管單穩態僅需進行此修改即可發揮作用,但圖 1中IC 1、 IC 2和 IC 3的邏輯電路 增加了另一個功能。添加的邏輯可確保發生器忽略進入單穩態繁忙狀態的下一個觸發脈衝。
圖 1中的電路 是一種邊沿觸發單穩態電路,它基於先前設計的邊沿觸發拋物線脈衝發生器。該電路通過將級聯中個積分器的輸入端(包括 IC 3 和 S 2 (在原始設計中))與參考電壓源 V REF斷開,並將其連接到輸入電壓端子,對早期發生器進行了簡單但重要的修改在圖 1中。

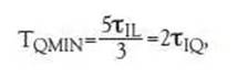
該電路中 outputQ 的輸出脈衝寬度為

在哪裏

τ IL 和 τ IQ分別是包含的 IC 2D和 IC 2C 的級聯中個和第二個積分器的時間常數。
盡管單穩態僅需進行此修改即可發揮作用,但圖 1中IC 1、 IC 2和 IC 3的邏輯電路 增加了另一個功能。添加的邏輯可確保發生器忽略進入單穩態繁忙狀態的下一個觸發脈衝。

這樣,發生器的積分電容器可以放電接近 0V,誤差不超過 0.4%,即使在相對較高的觸發頻率下,超過 1/[T Q (V IN )] 的值。因此,給定輸入的輸出脈衝電壓具有恒定寬度,即使觸發周期接近或小於輸出脈衝的寬度。
由 IC 1 和 IC 2組成的子電路 產生一個 RST(複位)信號,其後沿決定單穩態一個工作周期的結束。該電路中的 RST 信號禁止在 Q 輸出的低到高轉換和 RST 信號的高到低轉換的間隔內重新觸發單穩態。為此,觸發信號的時鍾在 IC 3 中與 RST信號 (圖2 ).
因此,緊接在 RST 脈衝的後沿之後啟用下一個有效觸發。RST 脈衝的前沿大致發生在二次拋物線電壓 V OQ達到其峰值電壓 V PEAK的一半時。RST 脈衝的後沿相對於 V OQ降至 V PEAK /2以下的瞬間延遲. IC 1A 輸入端的R S /C D /R D網絡的輔助時間常數 (R D +R S )C D定義了此延遲。
實驗評估表明,輸出脈衝寬度的相對誤差,

是負的,對於大約 200 到 3000 mV 的輸入電壓不超過 ?8×10 ?4,參考電壓為 3000 mV,的 sIC 1 設置。
然後誤差幅度上升,在輸入電壓為 99.925 mV 時達到值 δ TQ =?2.337×10 -3 。通過進一步降低輸入電壓,負誤差幅度減小並且 在輸入電壓為 9.915 mV 時為 δ TQ = ?1.113×10 -3 。輸入電壓為3.08 mV時,相對誤差為正,δ TQ ≈2.9×10 -3。進一步降低輸入電壓會導致正誤差迅速上升,在輸入電壓為 1.065 mV 時達到 3%。但是請注意,輸入電壓跨度幾乎是 3000:1。觸發頻率為 2 或 200 Hz。
在 2kHz、200kHz 和 2MHz 的觸發頻率下,您可以獲得幾乎相同的脈衝寬度。由於觸發頻率變化引起的脈衝寬度的相對變化與 δ TQ 值相當或更低。輸入電壓等於參考電壓的滿量程輸入實現了 445.44 微秒的測量脈衝寬度。
借助 V OQ 輸出,您還可以將該電路用作精密二次拋物線時基發生器;輸入電壓控製發生器的速度。
免責聲明:本文為轉載文章,轉載此文目的在於傳遞更多信息,版權歸原作者所有。本文所用視頻、圖片、文字如涉及作品版權問題,請聯係小編進行處理。
推薦閱讀:
- 噪聲中提取真值!瑞盟科技推出MSA2240電流檢測芯片賦能多元高端測量場景
- 10MHz高頻運行!氮矽科技發布集成驅動GaN芯片,助力電源能效再攀新高
- 失真度僅0.002%!力芯微推出超低內阻、超低失真4PST模擬開關
- 一“芯”雙電!聖邦微電子發布雙輸出電源芯片,簡化AFE與音頻設計
- 一機適配萬端:金升陽推出1200W可編程電源,賦能高端裝備製造
- 築基AI4S:摩爾線程全功能GPU加速中國生命科學自主生態
- 一秒檢測,成本降至萬分之一,光引科技把幾十萬的台式光譜儀“搬”到了手腕上
- AI服務器電源機櫃Power Rack HVDC MW級測試方案
- 突破工藝邊界,奎芯科技LPDDR5X IP矽驗證通過,速率達9600Mbps
- 通過直接、準確、自動測量超低範圍的氯殘留來推動反滲透膜保護
- 車規與基於V2X的車輛協同主動避撞技術展望
- 數字隔離助力新能源汽車安全隔離的新挑戰
- 汽車模塊拋負載的解決方案
- 車用連接器的安全創新應用
- Melexis Actuators Business Unit
- Position / Current Sensors - Triaxis Hall





