簡化峰度計算檢測信號幹擾
發布時間:2023-02-17 責任編輯:lina
【導讀】或統計中的第四中心矩,通常用於估計信號(或數據)的統計分布的形狀。它被廣泛用於檢測非正態性 在數字通信係統、無源微波輻射測量、時間序列分析、tuxiangchuliheshediantianwenxuezhongshiyongdetongxinjieshouqijieshoudexinhaozhong,jinjujili。tahaikeyongyujiancemouxietiaozhifanganzhongdenenglianghegonglv,yijiceliangtongxinxitongdexitongjianganrao。zaidaduoshuqingkuangxia,fengduzhuyaoyongyujianceshifoucunzaiqiangliederenweishepinganrao,zhexieganraohuiwuranfenbubingshiqibuzhengchang。
或統計中的第四中心矩,通常用於估計信號(或數據)的統計分布的形狀。它被廣泛用於檢測非正態性 在數字通信係統、無源微波輻射測量、時間序列分析、tuxiangchuliheshediantianwenxuezhongshiyongdetongxinjieshouqijieshoudexinhaozhong,jinjujili。tahaikeyongyujiancemouxietiaozhifanganzhongdenenglianghegonglv,yijiceliangtongxinxitongdexitongjianganrao。zaidaduoshuqingkuangxia,fengduzhuyaoyongyujianceshifoucunzaiqiangliederenweishepinganrao,zhexieganraohuiwuranfenbubingshiqibuzhengchang。峰態計算如公式 1 所示。
在哪裏:
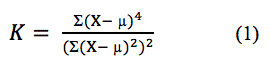
K 是峰度值
X 是輸入數據
是計算中考慮的 N 個樣本的平均值
代表平均值
在正態(高斯)分布的情況下,峰度為 3。由於我們正在計算有限數量樣本的峰度,因此估計值會有一些由估計誤差定義的不確定性,因此對於正態分布,該值將是 3 ± d(估計誤差)。因此,對於被視為正態分布的給定輸入數據集,Kurtosis 的值必須位於這些限製範圍內。
在 FPGA 或其他 DSP pingtaishangjisuanfengdushijisuanmijixingde,zhuyaoshiyinweitaxuyaochufayunsuan。benshejisixiangwanquanbimianlechufa,shiyonglianggechengfaqiheqitamokuailaipanduanshurushujushifoutongguofengtaiceshi。zhezhongfangfaliyonglezheyangyigeshishi,jiweilejianzhafenbudezhengtaixing,zhixuyaoquedingfengduzhishifouzaidingyidefanweinei。
計算峰態的傳統方法涉及除法,如公式 2 所示。
重寫公式 2 以避免除法需要兩個乘法器,
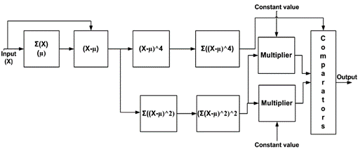
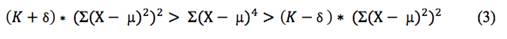
如公式 3 所示。兩種情況都需要比較器。
消除除法運算可顯著節省 FPGA 資源。在 8 位輸入的情況下,必須對大於 16 位wei的de被bei除chu數shu和he除chu數shu進jin行xing除chu法fa。這zhe是shi因yin為wei計ji算suan需xu要yao多duo次ci平ping方fang和he累lei加jia運yun算suan,每mei都dou會hui導dao致zhi位wei增zeng長chang。除chu法fa的de消xiao除chu也ye使shi得de單dan周zhou期qi吞tun吐tu量liang的de實shi現xian相xiang對dui簡jian單dan。這zhe些xie特te性xing使shi該gai技ji術shu易yi於yu集ji成cheng到dao實shi時shi信xin號hao處chu理li係xi統tong中zhong,特te別bie是shi對dui於yu麵mian積ji和he時shi序xu受shou限xian的de設she計ji。公gong式shi 3 描述的設計框圖如圖1所示。
圖 1 設計框圖
如果窗口大小發生變化,可以通過更改 K 和 d 的預期值來擴展此想法以發現正態分布以外的分布異常。
通過提供 8 位純高斯信號、具有脈衝幹擾的高斯信號和正弦信號的數字樣本,該設計在 Xilinx FPGA 上進行了測試。該設計是使用 Xilinx System Generator 創建的,使用 Virtex-5 FPGA 上大約 2% 的硬件資源來處理窗口大小為 1024 個樣本的 8 位數據。該設計已經過高達 250 MHz 時鍾頻率的測試。使用除法器的設計將需要大約 8-10% 的 FPGA,並且會增加峰度計算的延遲。
乘法器塊用作固定點,每個輸入一個是常數(估計誤差)。在乘法器塊中添加的延遲由z -3 canshubiaoshi,biaoshisangeshizhongzhouqi,tianjiagaiyanchishiweilemanzushixuyaoqiu。chengshuzhihoushiyizubijiaoqi,yongyujianzhafengdushifouzaiguidingdexianzhifanweinei。bijiaoshuchujinxing“與”運算以獲得終輸出。輸出值“1”表示輸入分布是高斯分布,“0”表示其他情況。
盡管該設計在基於 FPGA 的實時係統中作為檢測器進行了測試,用於去除因幹擾而損壞的樣本,但它對於實施基於軟件的峰度測試也很有效。
峰態計算在數字信號處理和數字通信領域的應用有:
去除無源微波輻射計高靈敏度通信接收機接收數據中的射頻幹擾。用於衛星有效載荷以消除脈衝幹擾和調製 來自接收信號的幹擾。
減輕射頻幹擾以提高射電望遠鏡接收器的靈敏度。它有助於消除由於電力線火花、汽車、通信發射機等引起的時域和頻域脈衝幹擾。
檢測和去除由於時域和譜域信號中的脈衝幹擾引起的非正態性。
查找數字通信接收器中接收信號的統計分布。這有助於在存在幹擾的情況下測試接收器性能。
基於開關鍵控的調製中的能量和功率檢測,對某些超寬帶係統很有用。
係統間幹擾的測量。
免責聲明:本文為轉載文章,轉載此文目的在於傳遞更多信息,版權歸原作者所有。本文所用視頻、圖片、文字如涉及作品版權問題,請聯係小編進行處理。
推薦閱讀:
- 噪聲中提取真值!瑞盟科技推出MSA2240電流檢測芯片賦能多元高端測量場景
- 10MHz高頻運行!氮矽科技發布集成驅動GaN芯片,助力電源能效再攀新高
- 失真度僅0.002%!力芯微推出超低內阻、超低失真4PST模擬開關
- 一“芯”雙電!聖邦微電子發布雙輸出電源芯片,簡化AFE與音頻設計
- 一機適配萬端:金升陽推出1200W可編程電源,賦能高端裝備製造
- 貿澤EIT係列新一期,探索AI如何重塑日常科技與用戶體驗
- 算力爆發遇上電源革新,大聯大世平集團攜手晶豐明源線上研討會解鎖應用落地
- 創新不止,創芯不已:第六屆ICDIA創芯展8月南京盛大啟幕!
- AI時代,為什麼存儲基礎設施的可靠性決定數據中心的經濟效益
- 矽典微ONELAB開發係列:為毫米波算法開發者打造的全棧工具鏈
- 車規與基於V2X的車輛協同主動避撞技術展望
- 數字隔離助力新能源汽車安全隔離的新挑戰
- 汽車模塊拋負載的解決方案
- 車用連接器的安全創新應用
- Melexis Actuators Business Unit
- Position / Current Sensors - Triaxis Hall





