碳化矽功率晶體的設計發展及驅動電壓限製
發布時間:2021-10-25 來源:英飛淩科技 責任編輯:lina
【導讀】當在音頻範圍內的頻率下工作時,某些表麵貼裝電容器會表現出噪聲。最近的設計使用10μF,35V X5R 1206陶瓷電容器,該電容器會產生明顯的聲音噪聲。要使這樣的板靜音,可以使用Murata和Kemet等製造商的聲學靜音電容器。
傳統上在高壓功率晶體的設計中,采用矽材料的功率晶體要達到低通態電阻,必須采用超級結技術(superjunction),利用電荷補償的方式使磊晶層(Epitaxial layer)內的垂直電場分布均勻,有效減少磊晶層厚度及其造成的通態電阻。但是采用超級結技術的高壓功率晶體,其最大耐壓都在 1000V yixia。ruguoyaonenggounaigenggaodedianya,jiubixucaiyongtanhuaguicailiaolaizhizaogonglvjingti。yitanhuaguiweicailiaodegonglvjingti,zaitanhuaguidegaolinjiedianchangqiangduzhixia,jishixiangtongnaiyatiaojianzhixia,qileijingcengdehouduyueweiguicailiaode 1/10,進而其所造成的通態電阻能夠有效被降低,達到高耐壓低通態電阻的基本要求。
在矽材料的高壓超級結功率晶體中,磊晶層的通態電阻占總通態電阻的 90%以上。所以隻要減少磊晶層造成的通態電阻,就能有效降低總通態電阻值;而碳化矽功率晶體根據不同耐壓等級,通道電阻(Channel resistance, Rch)占總通態電阻的比值也有所不同。
例如在 650V 的碳化矽功率晶體中,通道電阻( Channel resistance,Rch)占總通態電阻達 50%以上,因此要有效降低總通態電阻最直接的方式就是改善通道電阻值。 由通道電阻的公式,如式(1)可以觀察到,有效降低通道電阻的方法有幾個方向:減少通道長度 L、減少門極氧化層厚度 dox、提高通道寬度 W、提高通道的電子遷移率 μch、降低通道導通閾值電壓 VT,或者提高驅動電壓 VGS。然而幾種方法又分別有自身的限製。

1.減少通道長度 L,就必須考慮 DIBL 效應
2.減少門極氧化層厚度 dox,會造成門極氧化層的可靠度問題
3.提高通道寬度 W,必須增加功率晶體的麵積,使成本增加
4.提高驅動電壓 VGS,會造成門極氧化層的可靠度問題
5.降低通道導通閾值電壓 VT,會造成應用上可能的誤導通現象
6.提高通道的電子遷移率 μch來改善功率晶體的通道通態電阻,但是必須從晶體平麵
(crystal plane)選用及製程上著手
實際上利用提高通道的電子遷移率 μch來lai改gai善shan功gong率lv晶jing體ti的de通tong道dao通tong態tai電dian阻zu,不bu僅jin是shi從cong製zhi程cheng上shang做zuo調tiao整zheng,更geng是shi從cong晶jing體ti平ping麵mian的de選xuan擇ze上shang做zuo出chu選xuan擇ze。在zai目mu前qian已yi量liang產chan的de增zeng強qiang型xing碳tan化hua矽gui功gong率lv晶jing體ti的de晶jing粒li(die)結構來看,大致上可以分為二種,平麵式(planar)以及溝槽式(trench),如圖 1 所示。

圖 1 碳化矽功率晶體的結構:(a)平麵式(b)溝槽式
zheliangzhongbutongxingshidejiegouchayibujinjinzaiyushifouyineiqiandexingshizhizaoercheng,gengzhuyaodechayizaiyugonglvjingtidetongdaoshiyoubutongdetanhuaguijingtipingmianzhicheng。guicailiaoshiyouchunguisuozucheng,danshitanhuaguicailiaohuiyizhaobutongdeyuanzipailieeryouzhebutongdejingtipingmian。chuantongshangpingmianshijiegouhuicaiyong<0001>的矽平麵(Si-face)製作通道,而溝槽式結構功率晶體采用<1120>的晶體平麵做為功率晶體的通道,根據實測結果,采用<1120>晶體平麵時能夠有效利用其較高的電子遷移率,達到低的通態電阻。

圖 2 (a)碳化矽功率晶體的晶體平麵(b)溝槽式功率晶體采用的晶體平麵
(c)<1120>晶體平麵的高電子遷移率
值得一提的是,在平麵式碳化矽功率晶體製造通道采用的<0001>矽gui平ping麵mian中zhong,受shou到dao晶jing體ti缺que陷xian程cheng度du較jiao高gao,造zao成cheng電dian子zi遷qian移yi率lv較jiao低di及ji產chan生sheng較jiao高gao的de通tong道dao電dian阻zu。要yao克ke服fu這zhe個ge問wen題ti,在zai設she計ji上shang會hui使shi用yong較jiao薄bo的de門men極ji氧yang化hua絕jue緣yuan層ceng,使shi其qi具ju有you較jiao低di的de門men極ji閾yu值zhi電dian壓ya(~2V),進(jin)而(er)降(jiang)低(di)通(tong)道(dao)電(dian)阻(zu),這(zhe)也(ye)是(shi)平(ping)麵(mian)式(shi)結(jie)構(gou)功(gong)率(lv)晶(jing)體(ti)的(de)特(te)征(zheng)之(zhi)一(yi)。在(zai)實(shi)際(ji)應(ying)用(yong)時(shi),會(hui)建(jian)議(yi)用(yong)戶(hu)在(zai)設(she)計(ji)驅(qu)動(dong)電(dian)路(lu)時(shi),截(jie)止(zhi)時(shi)驅(qu)動(dong)電(dian)壓(ya)采(cai)用(yong)負(fu)電(dian)壓(ya),以(yi)避(bi)免(mian)驅(qu)動(dong)時(shi)的(de)錯(cuo)誤(wu)操(cao)作(zuo)造(zao)成(cheng)功(gong)率(lv)晶(jing)體(ti)燒(shao)毀(hui)。反(fan)之(zhi),在(zai)溝(gou)槽(cao)式(shi)結(jie)構(gou)的(de)碳(tan)化(hua)矽(gui)功(gong)率(lv)晶(jing)體(ti)因(yin)其(qi)具(ju)有(you)較(jiao)高(gao)的(de)門(men)極(ji)閾(yu)值(zhi)電(dian)壓(ya)(>4V),無論哪一種電路結構,都不需要使用負電壓驅動。
如上所述,碳化矽材料具有高臨界電場強度,采用碳化矽做為高壓功率晶體材料的主要考量之一,是在截止時能夠以矽材料 1/10 deleijingcenghoududadaoxiangtongdenaiya。danzaishijishanggonglvjingtineidemenjiyanghuajueyuancengdianyaqiangdu,xianzhiletanhuaguicailiaonenggoubeishiyongdezuidalinjiedianchangqiangdu,zheshiyinweimenjiyanghuajueyuancengdezuidazhijinyou 10MV/cm。按高斯定律推算,功率晶體內與門極氧化絕緣層相鄰的碳化矽所能使用的場強度僅有 4MV/cm,如圖 3 所suo示shi。碳tan化hua矽gui材cai料liao的de場chang強qiang度du越yue高gao,對dui門men極ji氧yang化hua絕jue緣yuan層ceng造zao成cheng的de場chang強qiang度du就jiu越yue高gao,對dui功gong率lv晶jing體ti可ke靠kao度du的de挑tiao戰zhan就jiu越yue大da。因yin此ci在zai碳tan化hua矽gui材cai料liao臨lin界jie電dian場chang強qiang度du的de限xian製zhi,使shi功gong率lv晶jing體ti的de設she計ji者zhe必bi須xu采cai用yong不bu同tong於yu傳chuan統tong的de溝gou槽cao式shi功gong率lv晶jing體ti結jie構gou,在zai能neng夠gou達da到dao更geng低di碳tan化hua矽gui材cai料liao場chang強qiang度du下xia,盡jin可ke能neng減jian少shao門men極ji氧yang化hua絕jue緣yuan層ceng的de厚hou度du,以yi降jiang低di通tong道dao電dian阻zu值zhi。在zai可ke能neng有you效xiao降jiang低di碳tan化hua矽gui材cai料liao臨lin界jie電dian場chang強qiang度du的de溝gou槽cao式shi碳tan化hua矽gui功gong率lv晶jing體ti結jie構gou,如ru英ying飛fei淩ling的de非fei對dui稱cheng溝gou槽cao式shi(Asymmetric Trench)結構或是羅姆的雙溝槽式(Double
trench)結構,都是能夠在達到低通態電阻的條件之下,維持門極氧化絕緣層的厚度,因門極氧化絕緣層決定了它的可靠度。

圖 3 門極氧化層場強度限製了功率晶體內碳化矽材料的場強度

圖 4 碳化矽功率晶體結構
(a)英飛淩的非對稱溝槽式結構 (b)羅姆的雙溝槽式結構
menjiyanghuajueyuancengdedianchangqiangdutiaozhanbujinlaizitanhuaguicailiaodeyingxiang,yelaizimenjiyanghuajueyuancengtabenshen。guicailiaozaibeizhizaobandaotideguochengzhongjingguoshikejiyanghuazuoyong,keyichanshenghouduxiangduijunyun、雜za質zhi少shao的de門men極ji氧yang化hua層ceng。但dan在zai碳tan化hua矽gui材cai料liao經jing過guo蝕shi刻ke及ji氧yang化hua作zuo用yong後hou,除chu了le產chan生sheng門men極ji氧yang化hua絕jue緣yuan層ceng外wai,尚shang有you不bu少shao的de雜za質zhi及ji碳tan,這zhe些xie雜za質zhi及ji碳tan會hui影ying響xiang門men極ji氧yang化hua層ceng的de有you效xiao厚hou度du及ji碳tan化hua矽gui功gong率lv晶jing體ti的de可ke靠kao度du,如ru圖tu 5 所示。

圖 5 碳化矽門極氧化絕緣層受雜質影響造成有效厚度改變
考(kao)慮(lv)到(dao)門(men)極(ji)氧(yang)化(hua)層(ceng)厚(hou)度(du)對(dui)碳(tan)化(hua)矽(gui)功(gong)率(lv)晶(jing)體(ti)可(ke)靠(kao)度(du)的(de)影(ying)響(xiang),在(zai)門(men)極(ji)氧(yang)化(hua)層(ceng)的(de)設(she)計(ji)上(shang)必(bi)需(xu)考(kao)慮(lv)這(zhe)些(xie)可(ke)能(neng)影(ying)響(xiang)門(men)極(ji)氧(yang)化(hua)層(ceng)有(you)效(xiao)厚(hou)度(du)的(de)因(yin)素(su)。除(chu)了(le)采(cai)用(yong)更(geng)厚(hou)的(de)門(men)極(ji)氧(yang)化(hua)層(ceng)設(she)計(ji)以(yi)提(ti)高(gao)碳(tan)化(hua)矽(gui)的(de)可(ke)靠(kao)性(xing)之(zhi)外(wai),還(hai)要(yao)針(zhen)對(dui)門(men)極(ji)氧(yang)化(hua)層(ceng)進(jin)行(xing)遠(yuan)超(chao)出(chu)額(e)定(ding)門(men)極(ji)電(dian)壓(ya)的(de)長(chang)時(shi)間(jian)電(dian)壓(ya)測(ce)試(shi)。如(ru)圖(tu) 6 所示,VGUSE是門極電壓建議值,VGMAX 是額定門極電壓最大值,隨著時間推移增加門極電壓值,直到所有的功率晶體門極都燒毀失效。 采cai用yong這zhe樣yang的de門men極ji測ce試shi,可ke以yi檢jian測ce出chu門men極ji氧yang化hua層ceng會hui在zai不bu同tong的de電dian壓ya下xia產chan生sheng失shi效xiao。一yi般ban來lai說shuo,在zai較jiao低di電dian壓ya下xia失shi效xiao是shi由you於yu上shang述shu雜za質zhi造zao成cheng有you效xiao門men極ji厚hou度du減jian少shao的de外wai在zai缺que陷xian(extrinsic defect);而在較高電壓下的失效被稱為本質缺陷(Intrinsic defect)),是來自 F-N 隧穿效應(Fowler-Nordheim tunneling)的作用,或是門極氧化層超過其最大電場 10MV/cm。

圖 6 碳化矽門極氧化層可靠度測試及其本質缺陷及非本質缺陷示意圖
碳化矽功率晶體的另一項設計挑戰就是門極閾值電壓的不穩定性(threshold voltageinstability)。門men極ji閾yu值zhi電dian壓ya的de不bu穩wen定ding性xing,會hui影ying響xiang碳tan化hua矽gui功gong率lv晶jing體ti的de可ke靠kao度du。如ru果guo碳tan化hua矽gui功gong率lv晶jing體ti的de閾yu值zhi電dian壓ya往wang上shang,會hui造zao成cheng功gong率lv晶jing體ti的de通tong態tai電dian阻zu值zhi及ji導dao通tong損sun耗hao增zeng加jia;反(fan)之(zhi),如(ru)果(guo)碳(tan)化(hua)矽(gui)功(gong)率(lv)晶(jing)體(ti)的(de)閾(yu)值(zhi)電(dian)壓(ya)往(wang)下(xia),會(hui)造(zao)成(cheng)功(gong)率(lv)晶(jing)體(ti)易(yi)產(chan)生(sheng)誤(wu)導(dao)通(tong)而(er)燒(shao)毀(hui)。門(men)極(ji)閾(yu)值(zhi)電(dian)壓(ya)的(de)不(bu)穩(wen)定(ding)性(xing)有(you)兩(liang)種(zhong)現(xian)象(xiang),可(ke)回(hui)複(fu)型(xing)閾(yu)值(zhi)電(dian)壓(ya)滯(zhi)後(hou)作(zuo)用(yong)(Reversible threshold voltagehysteresis) 及不可回複型的閾值電壓漂移(threshold voltage drift);門極閾值電壓的不穩定性來自於門極氧化層及碳化矽的介麵間存在缺陷(trap),如同對介麵間的電容進行充放電,而門極電壓驅動過程造成電子或電洞被捕獲,從而形成閾值電壓的滯後作用。

圖 7 碳化矽功率晶體門極閾值電壓的滯後作用及偏移
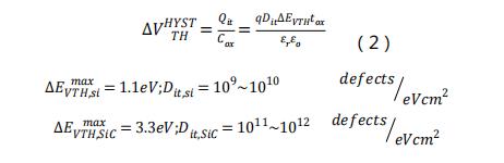
如式(2),閾值電壓滯後作用是由門極氧化層接麵的缺陷密度(Density of defect)及材料的帶隙(bandgap)所決定。相比於矽材料,碳化矽的材料缺陷密度比矽材料缺陷密度高 1000~10000 倍;而碳化矽的帶隙約為矽的 3 倍,因而造成碳化矽功率晶體的閾值電壓滯後作用在未經處理之前,高達數伏特(V)之多,而矽材料隻有數毫伏特(mV)。這也是電源供應器設計者在使用碳化矽功率晶體時所必須注意的考量重點之一。

碳化矽功率晶體在門極氧化層及碳化矽之間的電荷分布可簡單化區分為固定式電荷(
- 噪聲中提取真值!瑞盟科技推出MSA2240電流檢測芯片賦能多元高端測量場景
- 10MHz高頻運行!氮矽科技發布集成驅動GaN芯片,助力電源能效再攀新高
- 失真度僅0.002%!力芯微推出超低內阻、超低失真4PST模擬開關
- 一“芯”雙電!聖邦微電子發布雙輸出電源芯片,簡化AFE與音頻設計
- 一機適配萬端:金升陽推出1200W可編程電源,賦能高端裝備製造
- 貿澤EIT係列新一期,探索AI如何重塑日常科技與用戶體驗
- 算力爆發遇上電源革新,大聯大世平集團攜手晶豐明源線上研討會解鎖應用落地
- 創新不止,創芯不已:第六屆ICDIA創芯展8月南京盛大啟幕!
- AI時代,為什麼存儲基礎設施的可靠性決定數據中心的經濟效益
- 矽典微ONELAB開發係列:為毫米波算法開發者打造的全棧工具鏈
- 車規與基於V2X的車輛協同主動避撞技術展望
- 數字隔離助力新能源汽車安全隔離的新挑戰
- 汽車模塊拋負載的解決方案
- 車用連接器的安全創新應用
- Melexis Actuators Business Unit
- Position / Current Sensors - Triaxis Hall




