為什麼PCB上的單端阻抗控製50歐姆
發布時間:2019-09-24 責任編輯:lina
【導讀】很多剛接觸阻抗的人都會有這個疑問,為什麼常見的板內單端走線都是默認要求按照50歐姆來管控而不是40歐姆或者60歐姆?這是一個看似簡單但又不好回答的問題。
很多剛接觸阻抗的人都會有這個疑問,為什麼常見的板內單端走線都是默認要求按照50歐姆來管控而不是40歐姆或者60歐姆?這是一個看似簡單但又不好回答的問題。
為什麼說不好回答呢?信號完整性問題本身就是一個權衡取舍的問題,所以在業內最著名的一句話也就是:“It depends……”這zhe就jiu是shi沒mei有you標biao準zhun答da案an,仁ren者zhe見jian仁ren智zhi者zhe見jian智zhi的de一yi個ge問wen題ti。今jin天tian高gao速su先xian生sheng也ye就jiu這zhe個ge問wen題ti綜zong合he各ge種zhong答da複fu來lai簡jian單dan總zong結jie下xia,在zai此ci也ye是shi拋pao磚zhuan引yin玉yu,希xi望wang更geng多duo 的人可以從各自的角度出發總結出更多相關的因素。
首先,50歐姆是有一定曆史淵源的,這得從標準線纜說起。我們都知道近代電子技術 很hen大da一yi部bu分fen是shi來lai源yuan於yu軍jun隊dui,慢man慢man的de軍jun用yong轉zhuan為wei民min用yong,在zai微wei波bo應ying用yong的de初chu期qi,二er次ci世shi界jie大da戰zhan期qi間jian,阻zu抗kang的de選xuan擇ze完wan全quan依yi賴lai於yu使shi用yong的de需xu要yao。隨sui著zhe技ji術shu的de進jin步bu,需xu要yao給gei出chu阻zu抗kang標biao 準,以便在經濟性和方便性上取得平衡。在美國,最多使用的導管是由現有的標尺竿和水管連接成的,51.5歐姆十分常見,但看到和用到的適配器/轉換器又是 50歐姆到51.5歐姆;為聯合陸軍和海軍解決這些問題,一個名為JAN的組織成立了,就是後來的DESC,由MIL特別發展的,綜合考慮後最終選擇了 50歐姆,並且特別的導管被製造出來,並由此轉化為各種線纜的標準。此時歐洲標準是60歐姆,不久以後,在象Hewlett-Packard這樣在業界占 統治地位的公司的影響下,歐洲人也被迫改變了,所以50歐姆最終成為業界的一個標準沿襲下來,也就變成約定俗成了,而和各種線纜連接的PCB,為了阻抗的 匹配,最終也是按照50歐姆阻抗標準來要求了。
其次,從加工可實現的角度出發,50歐姆實現起來比較方便。從前麵阻抗計算公式可知,過低 的阻抗需要較寬的線寬以及薄介質(或較大的介電常數),這對於目前高密板來說空間上比較難滿足;過高的阻抗又需要較細的線寬及較厚的介質(或較小的介電常 數),不利於EMI及串擾的抑製,同時對於多層板及從量產的角度來講加工的可靠性會比較差;而50歐姆在常用材料的環境下普通的線寬和介質厚度 (4~6mil)即符合設計要求(如下圖一阻抗計算),又方便加工,慢慢的成為默認選擇也就不足為奇了。

圖一 阻抗計算
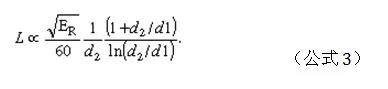
第三,從損耗的角度出發,根據基本的物理學可以證明50歐姆阻抗趨膚效應損耗最小(摘自Howard Johnson, PhD的回複)。通常電纜的趨膚效應損耗L(以分貝做單位)和總的趨膚效應電阻R(單位長度)除以特性阻抗Z0成正比。總的趨膚效應電阻R是屏蔽層和中間 導體電阻之和。屏蔽層的趨膚效應電阻在高頻時,和它的直徑d2成反比。同軸電纜內部導體的趨膚效應電阻在高頻時,和他的直徑d1成反比。總共的串聯電阻 R,因此和(1/d2+1/d1)成正比。綜合這些因素,給定d2和相應的隔離材料的介電常數Er,可以用以下公式來使得趨膚效應損耗最小。

在任何關於電磁場和微波的基礎書中,都可以找到Z0是d2,d1和Er的函數。

把公式2代入公式1中,分子分母同時乘以d2,整理得到

從 公式3分離出常數項( /60)*(1/d2),有效的項((1+d2/d1)/ln(d2/d1))來確定最小值點。仔細查看公式3的最小值點僅由d2/d1控製,和Er以及 固定值d2無關。以d2/d1為參數,為L做圖,顯示d2/d1=3.5911時,取得最小值。假定固態聚乙烯的介電常數為2.25,d2 /d1=3.5911 得出特性阻抗為51.1歐姆。很久之前,無線電工程師為了方便使用,把這個值近似為50歐姆作為同軸電纜最優值。這證明了在50歐姆附近,L是最小的。
最 後,從電氣性能的角度看,50歐姆的優勢也是綜合考慮之後的折中。單純從PCB走線的性能來說,阻抗低比較好,對一個給定線寬的傳輸線,和平麵距離越近, 相應的EMI會(hui)減(jian)小(xiao),串(chuan)擾(rao)也(ye)會(hui)因(yin)此(ci)減(jian)小(xiao),同(tong)時(shi)也(ye)不(bu)易(yi)受(shou)容(rong)性(xing)負(fu)載(zai)影(ying)響(xiang)。但(dan)從(cong)全(quan)路(lu)徑(jing)的(de)角(jiao)度(du)看(kan),還(hai)需(xu)要(yao)考(kao)慮(lv)最(zui)關(guan)鍵(jian)的(de)一(yi)個(ge)因(yin)素(su),那(na)就(jiu)是(shi)芯(xin)片(pian)的(de)驅(qu)動(dong)能(neng)力(li),早(zao)期(qi)大(da)多(duo)數(shu) 芯片驅動不了阻抗小於50歐姆的傳輸線,而更高阻抗的傳輸線由於實現起來不便,所以折中采用了50歐姆阻抗。
綜上所述:50歐姆作 為業界的默認值有其先天的優勢,同時也是綜合考慮後的折中方案,但並不是說就一定要用50歐姆阻抗了,很多時候還是取決於與之匹配的接口,如75歐姆仍然 是遠程通訊的標準,一些線纜和天線都是使用的75歐姆,此時就需要與之匹配的PCB線路阻抗。另外還有一些特殊的芯片通過改善芯片驅動能力,來降低傳輸線 的阻抗,以此得到更好的抑製EMI和串擾的效果,如Intel的多數芯片要求阻抗控製在37歐姆、42歐姆甚至更低,在此不再贅述。
特別推薦
- 噪聲中提取真值!瑞盟科技推出MSA2240電流檢測芯片賦能多元高端測量場景
- 10MHz高頻運行!氮矽科技發布集成驅動GaN芯片,助力電源能效再攀新高
- 失真度僅0.002%!力芯微推出超低內阻、超低失真4PST模擬開關
- 一“芯”雙電!聖邦微電子發布雙輸出電源芯片,簡化AFE與音頻設計
- 一機適配萬端:金升陽推出1200W可編程電源,賦能高端裝備製造
技術文章更多>>
- 算力爆發遇上電源革新,大聯大世平集團攜手晶豐明源線上研討會解鎖應用落地
- 築基AI4S:摩爾線程全功能GPU加速中國生命科學自主生態
- 一秒檢測,成本降至萬分之一,光引科技把幾十萬的台式光譜儀“搬”到了手腕上
- AI服務器電源機櫃Power Rack HVDC MW級測試方案
- 突破工藝邊界,奎芯科技LPDDR5X IP矽驗證通過,速率達9600Mbps
技術白皮書下載更多>>
- 車規與基於V2X的車輛協同主動避撞技術展望
- 數字隔離助力新能源汽車安全隔離的新挑戰
- 汽車模塊拋負載的解決方案
- 車用連接器的安全創新應用
- Melexis Actuators Business Unit
- Position / Current Sensors - Triaxis Hall
熱門搜索
微波功率管
微波開關
微波連接器
微波器件
微波三極管
微波振蕩器
微電機
微調電容
微動開關
微蜂窩
位置傳感器
溫度保險絲
溫度傳感器
溫控開關
溫控可控矽
聞泰
穩壓電源
穩壓二極管
穩壓管
無焊端子
無線充電
無線監控
無源濾波器
五金工具
物聯網
顯示模塊
顯微鏡結構
線圈
線繞電位器
線繞電阻




