電連接器自動檢測機的分析與改進設計
發布時間:2011-03-14
中心議題:
- 電連接器檢測機原理介紹和限製速度的分析
- 改進方案的硬件設計
- 改進方案的軟件設計及其實現
電(dian)連(lian)接(jie)器(qi)是(shi)在(zai)電(dian)子(zi)係(xi)統(tong)中(zhong)器(qi)件(jian)與(yu)器(qi)件(jian)之(zhi)間(jian)進(jin)行(xing)電(dian)氣(qi)連(lian)接(jie)和(he)信(xin)號(hao)傳(chuan)遞(di)的(de)主(zhu)要(yao)部(bu)件(jian),其(qi)質(zhi)量(liang)的(de)好(hao)壞(huai)將(jiang)直(zhi)接(jie)影(ying)響(xiang)電(dian)子(zi)係(xi)統(tong)的(de)正(zheng)常(chang)工(gong)作(zuo),特(te)別(bie)是(shi)應(ying)用(yong)在(zai)航(hang)空(kong)係(xi)統(tong)上(shang)的(de)電(dian)連(lian)接(jie)器(qi)要(yao)求(qiu)有(you)更(geng)高(gao)的(de)質(zhi)量(liang)保(bao)證(zheng),為(wei)中(zhong)航(hang)集(ji)團(tuan)專(zhuan)業(ye)生(sheng)產(chan)電(dian)連(lian)接(jie)器(qi)的(de)某(mou)公(gong)司(si)開(kai)發(fa)了(le)一(yi)台(tai)自(zi)動(dong)對(dui)電(dian)連(lian)接(jie)器(qi)質(zhi)量(liang)進(jin)行(xing)檢(jian)測(ce)的(de)設(she)備(bei),以(yi)保(bao)證(zheng)電(dian)連(lian)接(jie)器(qi)的(de)質(zhi)量(liang),應(ying)用(yong)兩(liang)年(nian) 多(duo)來(lai)很(hen)好(hao)地(di)保(bao)證(zheng)了(le)產(chan)品(pin)質(zhi)量(liang),但(dan)隨(sui)著(zhe)製(zhi)造(zao)業(ye)規(gui)模(mo)化(hua)係(xi)統(tong)化(hua)的(de)轉(zhuan)型(xing),電(dian)連(lian)接(jie)器(qi)的(de)需(xu)求(qiu)量(liang)大(da)量(liang)增(zeng)加(jia),隨(sui)著(zhe)電(dian)連(lian)接(jie)器(qi)產(chan)量(liang)的(de)增(zeng)加(jia),要(yao)求(qiu)對(dui)檢(jian)測(ce)速(su)率(lv)進(jin)行(xing)提(ti)高(gao),以(yi)適(shi)應(ying)生(sheng)產(chan)的(de)要(yao)求(qiu)。
1 電連接器檢測機原理介紹和限製速度的分析
自動檢測機檢測機構簡圖如圖1所示,通過把直徑為600 mm的回轉工作台均分為16個工位,間斷工作。

qijutigongzuoguochengweidanggongjianbeifangdaomojuzhong,yousifudaidonghuizhuanjigoubagongjianzhuandaoshexiangxitongdexiafang,tingzhihouyouxiaoxijigoujinxingxiaoxi,ranhouyoushexiangxitongjinxingjiance,jiance 結果由攝像係統返回到控製係統,控製係統進行係統地協同控製。
因為電連接器的檢測主要是檢測連接器壓板中連接簧片的變形、缺失和鍍銅暗淡等,所以係統中采用的檢測傳感器為OMRON的F500視 覺傳感器,由照相機拍照後對檢測區域進行檢測。
由其工作原理可知影響檢測機檢測速率的因素主要有:
(1)回hui轉zhuan盤pan轉zhuan動dong一yi個ge工gong位wei的de時shi間jian。回hui轉zhuan時shi間jian為wei從cong一yi個ge工gong位wei轉zhuan動dong到dao另ling一yi個ge工gong位wei的de時shi間jian,這zhe段duan時shi間jian主zhu要yao由you伺si服fu電dian機ji所suo用yong的de控kong製zhi曲qu線xian和he最zui高gao速su度du決jue定ding,但dan是shi由you 於回轉盤的轉動慣量較大,回轉速度越高,停止時衝擊越大,造成機器的震動也越大。
(2)消(xiao)隙(xi)機(ji)構(gou)的(de)工(gong)作(zuo)時(shi)間(jian)。由(you)於(yu)回(hui)轉(zhuan)盤(pan)停(ting)止(zhi)時(shi)的(de)衝(chong)擊(ji)造(zao)成(cheng)回(hui)轉(zhuan)機(ji)構(gou)中(zhong)渦(wo)輪(lun)與(yu)蝸(wo)杆(gan)之(zhi)間(jian)產(chan)生(sheng)了(le)間(jian)隙(xi),所(suo)以(yi)這(zhe)段(duan)時(shi)間(jian)主(zhu)要(yao)是(shi)消(xiao)隙(xi)機(ji)構(gou)消(xiao)除(chu)間(jian)隙(xi)的(de)時(shi)間(jian)。
(3)shexiangxitongchulishijian。zhuyaoshishexiangxitongyoupaizhaodaochulichujieguodeshijian,zhezhuyaoyoujianceshidepanduandemobanshulianghejiancefangfajueding,suoyiduiyutongyizhongchanpinruguocai 用相同的檢測方案,處理時間是固定的。
(4)檢測的誤檢率。檢測誤檢率為在檢測中把合格產品判斷為不合格產品的概率,對於電連接器的檢測公司要求檢測誤差率要控製在3%以內。影響誤 檢率的因素中有攝像係統中檢測策略的製定、模版製作和檢測時機器震動,當模版製作完成後,主要的因素就是機器的震動造成的攝像係統誤判。
congyishangfenxikezhi,yaotigaojiancesulv,xuyaojianxiaohuizhuanshijianhexiaoxishijian,ruguozhishijiandanditigaozhuansulaijianshaohuizhuanshijianyouhuizaochengjiancelvdejiada,suoyiduiyuzheyangyige 互相牽連的係統,在提高轉速的同時需要一個好的控製策略,如果可以減小機器停止時的衝擊,可以去除消隙機構。
2 改進方案的硬件設計
根據以上的分析,對控製係統在硬件進行了改進設計,把原來的PLC控製的伺 服驅動係統改為用單獨的一塊由高速DSP控 製芯片TMS320F2812構成的伺服控製係統來代替。由於TMS320F2812主要是用於電機控製的控製芯片,所以它有豐富的控製模塊,如EVA和EVB模 塊,這兩個事件管理模塊帶有正交輸入接 口,所以采用這種芯片可以簡化硬件設計,保證電路的穩定。其硬件電路功能模塊如圖2所示。

[page]
通過通訊接口伺服控製板與PLC進行通訊,協同實施控製,伺服控 製電路完成對伺服電機驅動器的驅動,數字量輸入電路主要接收一些開關信 號,如原點搜索信號和限位開關信號,調試接口電路主要是接按鍵和LCD顯 示,為電路板在現場調試時使用,驅動接口主要是驅動伺服電機和接收伺服電機碼盤的輸入信號,實現閉環控製。
3 改進方案的軟件設計及其實現
3.1 軟件的主要功能模塊
軟件功能模塊如圖3所示。軟件設計中,為了提高控製精度,對功能模塊進行了改進,對用於控製的模塊以中斷的形式運行,主要有DA驅動程序和控製 算法程序,對於實時性不強的程序放到主循環中,進行定時運行,這樣可以減少伺服控製周期,提高實時性,從而保證控製高精度。

3.2 控製算法的設計
由於回轉盤作間歇運動,並且由於回轉盤是采用高精度的數控加工中心完成的,所以回轉盤上16個工位的模具均分在圓周上,各模具之間有很小的誤 差,所以伺服電機每工位的旋轉碼數相差隻有一個dti,這使得伺服電機的控製曲線可以預先規劃好,並計算出各工位相差dti把數據存儲於DSP的內部FLASH中。
伺服電機的控製曲線常用的有梯形曲線和多項式的S形曲線,梯形控製曲線在加速度變化處的加加速度為無窮大,所以梯形控製曲線在控製電機時,起動 和停止會有很大的衝擊和震動。3次多項式S形曲線的加速度是有一定階躍,但其應用於電機的控製時,已經能夠很好的減小衝擊和震動。
在本設計中,由於回轉盤轉動慣量較大,並且具有間歇運動的特點,在設計中,除了設計了常用的梯形控製曲線和3次多項式S形曲線外,又設計有三角函數構成的S形曲線。
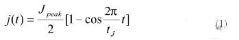
其加加速度設計為:

其圖形如圖4所示。

這樣的加加速度曲線能夠很好地減少啟動的衝擊、超調和振動。
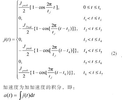
所以以此設計完整的S曲線的加加速度為:
[page]
其圖形如圖5所示。

速度為加速度的積分,即:

由於回轉盤上各工位是等分的,所以在設計控製算法時,讓t1-0=t2-t3=t5-t4=t7-t8=k,t2-t1=t6-t5=p,這裏 把k和p作為常數,對於回轉盤加工誤差的補償,可以調整t=t4-t3;
3.3 控製算法的實現
TMS320F2812的引導ROM存 儲器中保留48KB供IQMath表使用,其中有1 282個字的空間存儲的是正弦/餘弦表,采用Q浮點格式,能夠快速、高精度地完成三角函數的計算,所以用DSP這個特有的功能編寫三角函數S曲線,能夠滿 足高精度和高速的的要求。
在CCS工程中應該做的有:
在*.c文件中添加
#include''''''''''''''''''''''''''''''''IQmathLib.h''''''''''''''''''''''''''''''''
#define GLOBAL_Q 10
在庫文件夾中添加IQmath.lib,並且在配置文件中添加
IQmathTables : > BOOTROM, PAGE = 0
IQmath : > PRAMH0, PAGE = 0
編寫程序時,對sin( )和cos( )函數應調用_IQsin()和_IQcos()函數,乘積和除法應調用_IQmpy( )和_IQdiv( )。
4 實驗效果
在應用現場分別對三種控製曲線進行了實驗,實驗得出的圖表如圖6所示。

從上圖可知當采用梯形控製曲線進行控製時,當檢測速率到30 件/min時,檢測誤檢率就達到了3%,而3次多項式S曲線和三角函數S曲線分別是在36 件/min和42 件/min,所以三角函數S曲線在檢測中更能很好地減小衝擊和震動,所以采用此種方案,可以提高檢測速率,為企業創造更大的效益。
- 噪聲中提取真值!瑞盟科技推出MSA2240電流檢測芯片賦能多元高端測量場景
- 10MHz高頻運行!氮矽科技發布集成驅動GaN芯片,助力電源能效再攀新高
- 失真度僅0.002%!力芯微推出超低內阻、超低失真4PST模擬開關
- 一“芯”雙電!聖邦微電子發布雙輸出電源芯片,簡化AFE與音頻設計
- 一機適配萬端:金升陽推出1200W可編程電源,賦能高端裝備製造
- 2026藍牙亞洲大會暨展覽在深啟幕
- 新市場與新場景推動嵌入式係統研發走向統一開發平台
- 維智捷發布中國願景
- 2秒啟動係統 • 資源受限下HMI最優解,米爾RK3506開發板× LVGL Demo演示
- H橋降壓-升壓電路中的交替控製與帶寬優化
- 車規與基於V2X的車輛協同主動避撞技術展望
- 數字隔離助力新能源汽車安全隔離的新挑戰
- 汽車模塊拋負載的解決方案
- 車用連接器的安全創新應用
- Melexis Actuators Business Unit
- Position / Current Sensors - Triaxis Hall

