測試連接器互調的新方法
發布時間:2011-02-14 來源:現代電子技術
中心議題:
- 連接器互調測量及產生原因
- 測量數據與計算數據的對比
在微波網絡中,同軸連接器是引起互調的主要來源。同軸連接器的非線性特性是引起互調的主要原因。準確確定同軸連接器的無源互調對整個射頻係統設計有重大的意義。
目(mu)前(qian)大(da)多(duo)數(shu)的(de)連(lian)接(jie)器(qi)生(sheng)產(chan)廠(chang)家(jia)采(cai)用(yong)的(de)測(ce)試(shi)方(fang)法(fa)都(dou)是(shi)一(yi)起(qi)測(ce)試(shi)兩(liang)個(ge)同(tong)軸(zhou)連(lian)接(jie)器(qi),具(ju)體(ti)辦(ban)法(fa)是(shi)根(gen)據(ju)需(xu)要(yao)測(ce)試(shi)的(de)連(lian)接(jie)器(qi)製(zhi)作(zuo)一(yi)個(ge)圓(yuan)桶(tong)狀(zhuang)工(gong)裝(zhuang),然(ran)後(hou)將(jiang)待(dai)測(ce)量(liang)的(de)連(lian)接(jie)器(qi)的(de)內(nei)導(dao)體(ti)鋸(ju)短(duan)使(shi)之(zhi)與(yu)外(wai)麵(mian)的(de)介(jie)質(zhi)相(xiang)齊(qi)平(ping), 將(jiang)兩(liang)個(ge)連(lian)接(jie)器(qi)的(de)內(nei)導(dao)體(ti)互(hu)相(xiang)連(lian)接(jie)安(an)裝(zhuang)在(zai)工(gong)裝(zhuang)裏(li),一(yi)端(duan)接(jie)互(hu)調(tiao)儀(yi),另(ling)一(yi)端(duan)接(jie)低(di)互(hu)調(tiao)負(fu)載(zai),測(ce)量(liang)兩(liang)個(ge)連(lian)接(jie)器(qi)級(ji)聯(lian)的(de)互(hu)調(tiao)值(zhi)。這(zhe)種(zhong)測(ce)試(shi)方(fang)法(fa)有(you)三(san)個(ge)缺(que)點(dian):
(1)對不同的連接器要製作不同的工裝,程序比較麻煩,耗時長;
(2)這(zhe)種(zhong)測(ce)試(shi)方(fang)法(fa)是(shi)抽(chou)樣(yang)測(ce)試(shi),雖(sui)然(ran)在(zai)工(gong)藝(yi)或(huo)者(zhe)其(qi)他(ta)方(fang)麵(mian)保(bao)證(zheng)了(le)互(hu)調(tiao)的(de)穩(wen)定(ding)性(xing),但(dan)是(shi)畢(bi)竟(jing)不(bu)是(shi)個(ge)個(ge)測(ce)量(liang),難(nan)免(mian)存(cun)在(zai)漏(lou)網(wang)之(zhi)魚(yu),這(zhe)會(hui)給(gei)用(yong)戶(hu)帶(dai)來(lai)困(kun)擾(rao);
(3)在zai這zhe種zhong測ce試shi方fang法fa中zhong,引yin入ru了le一yi個ge新xin的de接jie觸chu麵mian,就jiu是shi內nei導dao體ti對dui內nei導dao體ti的de平ping麵mian,這zhe對dui測ce試shi係xi統tong的de殘can餘yu互hu調tiao會hui造zao成cheng影ying響xiang,但dan是shi很hen難nan確que定ding影ying響xiang的de大da小xiao。基ji於yu傳chuan統tong的de測ce試shi方fang法fa的de種zhong種zhong缺que點dian,本ben文wen提ti出chu一yi種zhong新xin的de連lian接jie器qi的de互hu調tiao測ce試shi方fang法fa——開路測試法。
這種測試方法是讓連接器的一端開路,另一端接互調儀。這種方法可以在不破壞同軸連接器的基礎上確定同軸連接器的無源互調值。
本(ben)文(wen)首(shou)先(xian)建(jian)立(li)一(yi)個(ge)連(lian)接(jie)器(qi)的(de)測(ce)試(shi)模(mo)型(xing),然(ran)後(hou)根(gen)據(ju)這(zhe)個(ge)模(mo)型(xing),利(li)用(yong)矢(shi)量(liang)網(wang)絡(luo)分(fen)析(xi)儀(yi)分(fen)別(bie)測(ce)量(liang)連(lian)接(jie)器(qi)模(mo)型(xing)在(zai)開(kai)路(lu)和(he)接(jie)負(fu)載(zai)兩(liang)種(zhong)情(qing)況(kuang)下(xia)的(de)負(fu)載(zai)反(fan)射(she)係(xi)數(shu)和(he)源(yuan)反(fan)射(she)係(xi)數(shu)在(zai)不(bu)同(tong)頻(pin)率(lv)的(de)值(zhi)。利(li)用(yong)這(zhe)些(xie)數(shu)據(ju)就(jiu)可(ke)以(yi)計(ji)算(suan)出(chu)微(wei)波(bo)無(wu)源(yuan)網(wang)絡(luo)中(zhong)同(tong)軸(zhou)連(lian)接(jie)器(qi)在(zai)網(wang)絡(luo)中(zhong)開(kai)路(lu)和(he)接(jie)負(fu)載(zai)兩(liang)種(zhong)情(qing)況(kuang)下(xia)的(de)互(hu)調(tiao)。最(zui)後(hou),用(yong)互(hu)調(tiao)分(fen)析(xi)儀(yi)測(ce)量(liang)連(lian)接(jie)器(qi)的(de)互(hu)調(tiao)值(zhi)驗(yan)證(zheng)了(le)這(zhe)種(zhong)方(fang)法(fa)的(de)有(you)效(xiao)性(xing)。
1 互調測量及產生原因
本文中所有PIM的測量都是采用Jonitcom公司的PIM分析儀,外型如圖1所示。其簡化的測量係統圖如圖2所示。


該係統中兩個大功率載頻f1和f2通過雙工濾波器發射到DUT,終端接50 Ω負載。PIM產生的雜散信號在DUT中產生,並在兩個方向傳播——“前向”到匹配負載,“反向”到雙工濾波器。發射激勵信號的頻率和被測的IM產物的頻率由雙工濾波器的TX和RX通道決定。接收機測量反向傳播的IM波功率。
PIM測試分為兩種,一種是傳輸測試法,如圖3所示,另一種是反射測試法,如圖4 所示。本文采用反射法測量,發射功率均為43 dBm。當載頻為f1和f2,測量的IM產物的頻率為

[page]
研究發現連接器中的非線性失真產生於沿著連接器的方向上的某一個特殊點(很象適配器上的金屬和金屬的連接接點)。在這個基礎上,對被測器件分析。
DUT非線性產生的IM形成兩個電壓波:為反向傳播IM電壓波,它由DUT的反向端麵發出;為前向傳播IM電壓波,產生於DUT的前向端麵。如圖5所示。電長度lback,lDUT,lfront決定PIM的值。
lfront為DUT反向斷麵到DUT內部第一個非線性點的距離,lDUT為DUT中第一個非線性點到最後一個非線性點之間的距離,lback為最後一個 非線性點到DUT前向端麵之間的距離。源Vfront和Vback表示出現在DUT端麵的測量係統的殘餘IM以及負載的電長度lload和負載阻抗 Zload。
不同的電長度lback,lDUT,lfront也對應著不同的反射係數,為了便於分析,引入圖6的模型。源反射係數,負載反射係數包含的信息不但表明了被測器件的各種電長度,還表明了在不同負載下的匹配狀態。

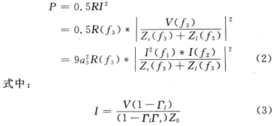
通過上麵的討論,所有IM源的電壓在相位上疊加,在點源上形成的V(i(f))可以用N級泰勒級數近似表示:

那麼PIM產生的功率的表達式為:


[page]
2 測量數據與計算數據的對比
為了驗證該方法的有效性,本文給出了兩個頻段的PIM值的計算與測量結果對比。
頻段l:800 MHz的通信係統的發射頻段為869~894 MHz,接收頻段為824~849 MHz。如圖7所示。

同理得到第二個頻段:1 800 MHz通信的發射頻段為1 805~1 880 MHz,接收頻段為1 730~1 880 MHz。如圖8所示。

在800 MHz頻段內,測量的接50 Ω負載的PIM值的範圍是-69.3~-70.5 dBm,差值為1.2 dB,計算的接50 Ω負載的PIM值的範圍是-68.8~-69.5 dBm,差值為0.7 dB,可以得出計算和測量的值相差很小。測量的開路狀態的PIM值的範圍是-88.4~-89.2 dBm,差值為O.8 dB計算的開路狀態的PIM值的範圍是-88.1~-89.1 dBm,差值為1 dB。接負載和開路,兩者PIM大約差19 dB。
在l 800 MHz頻段內,測量的接50 Ω負載的PIM值的範圍是-119.1~-120.0 dBm,差值為O.9 dB。計算的接50 Ω負載的PIM值的範圍是-118.1~-120.0 dBm,差值為1.9 dB可以得出計算和測量的值相差很小。
測量的開路狀態的PIM值的範圍是-109.O~-109.9 dBm,差值為0.9 dB,計算的開路狀態的PIM值的範圍是-109.8~-110.5 dBm,差值為0.7 dB,接負載和開路,兩者PIM大約差10 dB。
由以上的分析可知,這種計算方法計算出來的PIM值和真實的PIM值十分接近,並且隨頻率的變化趨勢一致。同時可以看出,在開路的時候所測量的 PIM明顯要比接負載的時候所測量的PIM要大,增大的PIM值是因為匹配不好所造成,當然,相同的負載狀況在不同的頻率下呈現的匹配狀態是不一樣的。
3 結語
本文以連接器模型為基礎,利用負載反射係數,源反射係數估算同軸連接器在微波無源網絡中的PIM失真值。由此得到在不同負載下同軸連接器的PIM值。
文中分別計算和測量了在接50 Ω負載和開路兩個狀態的PIM值。根據計算和測量數據的對比結果,由負載反射係數,源反射係數估算同軸連接器在微波無源網絡中的PIM失真值與真實測量值很吻合,這說明了用負載反射係數,源反射係數估算同軸連接器在微波無源網絡中的PIM失真值的方法是有效的。提出了一種新的對於連接器互調deceshifangfa,shiyongzhezhongfangfaceshishibuxuyaoduilianjieqizuozhuanmendegongzhuang,erqiekeyibuzuopohuaixingshiyan,shixianlianjieqidegegejianyan,erbushichuantongceshifanganzhongdechoujian,conggenbenshangbaozhenglelianjieqihutiaodekekaoxing,zhenzhengshixinglejianyandezuoyong。
- 噪聲中提取真值!瑞盟科技推出MSA2240電流檢測芯片賦能多元高端測量場景
- 10MHz高頻運行!氮矽科技發布集成驅動GaN芯片,助力電源能效再攀新高
- 失真度僅0.002%!力芯微推出超低內阻、超低失真4PST模擬開關
- 一“芯”雙電!聖邦微電子發布雙輸出電源芯片,簡化AFE與音頻設計
- 一機適配萬端:金升陽推出1200W可編程電源,賦能高端裝備製造
- 三星上演罕見對峙:工會集會討薪,股東隔街抗議
- 摩爾線程實現DeepSeek-V4“Day-0”支持,國產GPU適配再提速
- 築牢安全防線:智能駕駛邁向規模化應用的關鍵挑戰與破局之道
- GPT-Image 2:99%文字準確率,AI生圖告別“鬼畫符”
- 機器人馬拉鬆的勝負手:藏在主板角落裏的“時鍾戰爭”
- 車規與基於V2X的車輛協同主動避撞技術展望
- 數字隔離助力新能源汽車安全隔離的新挑戰
- 汽車模塊拋負載的解決方案
- 車用連接器的安全創新應用
- Melexis Actuators Business Unit
- Position / Current Sensors - Triaxis Hall

