陶老師談技術之二:關於開關電源變壓器需做電流迭加測試的說明(三)
發布時間:2009-03-27
中心議題:
開關變壓器伏秒容量的意義
開關電源變壓器或儲能電感線圈的極限伏秒容量VTmax參數,其實與晶體管的最大集電極電壓BVceo參數一樣重要。在晶體管放大電路中,當晶體管集電極與發射極兩端的電壓超過最大集電極電壓BVceo,晶體管就會被擊穿損壞。同樣,在開關電源中,當施加於開關電源變壓器的伏秒容量(電壓幅度與時間長度)超過極限伏秒容量VTmax時,開關電源變壓器也要損壞,並且還會損壞電源開關管。
開關變壓器伏秒容量的意義相當於圖9中矩形的麵積,麵積的兩條邊分別由開關變壓器的工作電壓(直流脈衝幅度)V和通電持續時間T(脈衝寬度)的乘積組成。其極限伏秒容量相當於黃色區域部分的麵積,綠色區域部分相當於開關變壓器正常工作時伏秒容量的麵積。
不過這裏還應強調指出,隻要伏秒容量的麵積沒有超出極限伏秒容量的麵積,V或T任何一條邊分別都可以超出圖9中所示V或T邊上的長度。
結合圖8和圖9,我們可以看出,開關變壓器平時工作時,流過開關變壓器線圈的最大工作電流為圖中
,或開關脈衝的寬度為
是最好的。

在圖8中,當流過開關變壓器線圈的最大工作電流為圖中
時,變壓器線圈的電感量為最大值
;此種情況下,變壓器的工作效率最高,因為,此時變壓器鐵芯損耗與變壓器線圈損耗的乘積最小(磁滯損耗與勵磁電流的大小成正比,渦流損耗與磁通密度增量的平方成正比;銅阻的損耗與導線的長度成正比);並且,變壓器的伏秒容量VTb與極限伏秒容量VTmax還有很大的安全距離。
目前,一般開關電源變壓器還都大量選用鐵氧體磁芯,這種鐵氧體磁芯的磁飽和磁通密度Bs一般為4500~5000高斯,因此,根據圖8所示,可以看出,開關電源變壓器工作時,其鐵芯的最佳磁通密度Bb大約為磁飽和磁通密度Bs的一半左右,即:Bb = 2300~2500高斯。當進行開關電源和變壓器設計時,即:用(4)式來計算變壓器初級線圈的時候,公式中的最大磁通密度Bm最好不要超過2500高斯。
另外,鐵氧體磁芯的居裏溫度也比較低,一般都在120℃左右,因此,對開關變壓器進行質量檢查的時候,居裏溫度參數也是一項重要內容。[page]
開關變壓器伏秒容量測量舉例
上麵我們已經分析開關變壓器伏秒容量的意義和測量方法,下麵我們再進一步舉例來詳細分析開關變壓器伏秒容量的測量方法。
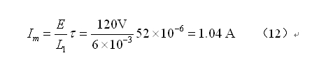
例1:電視機中使用的行掃描回掃變壓器,簡稱高壓包,其工作原理也屬於反激式開關電源變壓器,其初級線圈的電感量為6毫亨,工作電壓一般為120V,正程掃描時間(脈衝寬度)
為52
,逆程掃描時間為12
。
為此,我們可以根據(8)式,先計算流過高壓包初級線圈的最大電流Im,然後再求其極限電流Imax的值,即:測試時選用迭加電流的值。
把已知參數代入(8)式:

即:

根據圖8和圖9,正常工作時,流過高壓包初級線圈的最大電流Im不應該超過極限電流值Imax的70%,由此,可以求得流過高壓包初級線圈的極限電流Imax為1.49 A 。
上麵計算出來的極限電流Imax值,就是用來測試高壓包初級線圈的迭加直流電流的數值。根據圖7,把恒流源的電流設置為1.49 A,即:測試高壓包初級線圈的迭加直流電流為1.49 A,然後測試高壓包初級線圈的電感;如果測試結果Lx的數值等於或者大於初始電感L0的90%,則說明,高壓包初級線圈的伏秒容量設計是合格的;如果測試結果Lx小於初始電感L0的90%,則說明,高壓包初級線圈的伏秒容量餘量非常小,不合格。
這裏順便說明,采用圖7測試時應該注意的地方。圖7中,隔離電感LT的數值要求是測試電感Lx數值的3倍以上,一般可選取20毫亨矽鋼片直流電感,電感的鐵芯要留有氣隙;恒流電源可用一個穩壓電源與一個大功率電阻串聯代替,如圖10,或用一個穩壓電源與一個大功率晶體放大器串聯來代替,如圖11。


在圖10中,E為穩壓電源,R為大功率電阻,阻值範圍在1~10歐姆比較合適,阻值太大損耗功率會很大;調節穩壓電源的電壓輸出,就可以調節迭加電流的大小。
在圖11中,E為穩壓電源,Rx為可調電阻,Q為晶體管大功率放大器(必須帶散熱片);調(tiao)節(jie)穩(wen)壓(ya)電(dian)源(yuan)的(de)電(dian)壓(ya)輸(shu)出(chu),或(huo)改(gai)變(bian)可(ke)變(bian)電(dian)阻(zu)的(de)阻(zu)值(zhi),就(jiu)可(ke)以(yi)改(gai)變(bian)迭(die)加(jia)電(dian)流(liu)的(de)大(da)小(xiao),但(dan)晶(jing)體(ti)管(guan)大(da)功(gong)率(lv)放(fang)大(da)器(qi)集(ji)電(dian)極(ji)與(yu)發(fa)射(she)極(ji)之(zhi)間(jian)的(de)電(dian)壓(ya)降(jiang)不(bu)要(yao)大(da)於(yu)10V,否則,晶體管大功率放大器的損耗將很大。一般穩壓電源都有電流輸出指示,所以在測試電路中不需要另外安裝電流表。[page]
這裏特別指出,在測試高壓包初級線圈的初始電感L0的時候,高壓包的鐵芯必須要退磁,否則,測試結果將不準確。
高壓包退磁的方法是用一個20~40歐姆的消磁熱敏電阻(可用兩個消磁熱敏電阻串聯)與高壓包初級線圈串聯,然後接到110~220V/50Hz交流電源上,大約需要20多秒鍾,待消磁熱敏電阻完全加熱後,即可達到退磁的目的,如圖13所示。圖13中RT為熱敏電阻,Lx為高壓包初級線圈。一般消磁電流需要達到極限電流Imax的3~5倍。
另外,迭加電流Imax的值一般是正常工作時流過高壓包初級線圈電流(平均值或有效值)的好幾倍。例如:上例測試的高壓包,正常工作時,其平均電流Ip大約才有0.42 A,但迭加電流Imax的值為1.49 A ;由此求得,迭加電流Imax的值是正常工作時平均電流的3.5倍。一般高壓包初級線圈漆包線的電流密度都小於3A/mm2 ,因此,流過高壓包初級線圈漆包線迭加電流的最大電流密度為10.5 A/mm2 。這個正好同時還可以檢測高壓包初級線圈的線徑的合理性,漆包線在40度溫升的情況下,其最大電流密度大約在13A/mm2左右(直流),因此,通過測量高壓包線圈的溫升就可以知道高壓包線圈的設計是否合理。

這裏順便介紹一下,電流平均值Ip的求法,以及其與最大電流Im和極限電流Imax的關係。圖12是電流平均值Ip與最大電流Im和極限電流Imax之間的關係圖。

圖12中,Ip為流過高壓包初級線圈的平均電流,
為正程掃描期間,流過高壓包初級線圈的平均電流;
為正程掃描期間,流過高壓包初級線圈的最大電流;
為正程掃描期間,流過高壓包初級線圈的極限電流;
為正程掃描時間(52 ),
為逆程掃描時間(12 ),
為極限正程掃描時間。
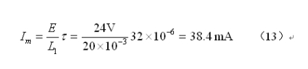
例2:電視機的行推動變壓器的工作原理也屬於反激式開關電源變壓器,其初級線圈的電感量大約為20毫亨,其工作電壓一般為一個寬度
= 32
,幅度為24V的電壓脈衝,即占空比D = 0.5。[page]
我們可以根據(8)式,先計算流過行推動變壓器初級線圈的最大電流Im,然後再求其極限電流Imax的值,即:測試時選用迭加電流的值。
把已知參數代入(8)式:

即:

根據圖8和圖9,正常工作時,流過行推動變壓器初級線圈的最大電流Im,不應該超過電流極限值Imax的70%,由此,可以求得流過行推動變壓器初級線圈的極限電流Imax為55 mA 。
上麵計算出來的極限電流Imax值,就是用來測試行推動變壓器初級線圈的迭加直流電流的數值。根據圖7,把恒流源的電流設置為55 mA ,即:測試行推動變壓器初級線圈的迭加直流電流為55 mA,然後測試行推動變壓器初級線圈的電感;如果測試結果Lx等於或者大於初始電感L0的90%,則說明,行推動變壓器初級線圈的伏秒容量設計是合格的;如果測試結果Lx小於初始電感L0的90%,則說明,行推動變壓器初級線圈的伏秒容量餘量非常小,不合格。
這裏順便說明一下,行推動變壓器的占空比與行掃描回掃變壓器(高壓包)的占空比是不相同的,行掃描回掃變壓器(高壓包)有一部分時間工作於諧振狀態(偏轉線圈與逆程電容產生諧振),因此,行掃描回掃變壓器相當於同時受到兩個開關進行控製,其工作時間相對比較長。
另外,在測試行推動變壓器初級線圈的初始電感L0的時候,行推動變壓器的鐵芯也必須要退磁,否則,測試結果不準確。
xingtuidongbianyaqidetuicifangfayugaoyabaodetuicifangfayouyidianbutong,youyurongxuliuguoxingtuidongbianyaqidechujixianquandedianliubijiaoxiao,yinci,zaixiaocidianluzhongxuyaoxianliu。
具體方法是,先用一個零點幾法拉的電容與行推動變壓器的初級線圈串聯,然後再與一個幾微法的電容並聯,最後再與一個20~40歐姆的消磁熱敏電阻(可用兩個消磁熱敏電阻串聯)串聯。退磁時把電路接到110~220V/50Hz交流電源上,大約需要20多秒鍾,待消磁熱敏電阻完全加熱後,即可達到退磁的目的,如圖14所示。
圖14中RT為熱敏電阻,Lx為行推動變壓器的初級線圈,C1為分流電容,C2為限流電容。電容C1和C2的大小,需根據行推動變壓器初級線圈勵磁電流的大小來決定。一般消磁電流需要達到極限電流Imax的3~5倍。

例3:電視機開關電源一般都是調寬式反激式開關電源,它有兩種工作方式,一種是調寬又調頻工作方式;lingyizhongshigongzuopinlvbubianzhitiaokuangongzuofangshi。qianyizhonggongzuofangshiduozaizijishikaiguandianyuanzhongshiyong,houyizhonggongzuofangshiduozaijichengdianlutajishikaiguandianyuanzhongshiyong。
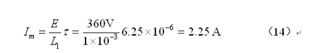
設一個100W電視機開關電源使用的開關電源變壓器,其初級線圈的電感量為1毫亨,其最高工作電壓為360V,最低工作電壓為110V。由於開關管的耐壓一般最高隻有600V,並且還要預留最少20%的餘量,因此,在最高工作電壓和負載最重的狀態下,開關電源的占空比最大隻能取0.25,即:D = 0.25 ;當開關電源的負載為最重的時候,占空比也處於最大值。設開關電源的工作頻率為40kHz,當占空比為最大值時電源開關管導通時的脈衝寬度 = 6.25 。
根據上麵已知參數我們可以根據(8)式來計算流過開關電源變壓器初級線圈的最大電流Im,然後再求其極限電流Imax的值,即:測試時選用迭加電流的值。
把已知參數代入(8)式:

即:

根據圖8和圖9,正常工作時,流過開關電源變壓器初級線圈的最大電流Im,不應該超過電流極限值Imax的70%,由此,可以求得流過開關電源變壓器初級線圈的極限電流Imax為3.21 A 。
上麵計算出來的極限電流Imax值,就是用來測試開關電源變壓器初級線圈的迭加直流電流的數值。根據圖7,把恒流源的電流設置為3.21 A ,即:測試開關電源變壓器初級線圈的迭加直流電流為3.21 A,然後測試開關電源變壓器初級線圈的電感;如果測試結果Lx等於或者大於初始電感L0的90%,則說明,開關電源變壓器初級線圈的伏秒容量設計是合格的;如果測試結果Lx小於初始電感L0的90%,則說明,開關電源變壓器初級線圈的伏秒容量餘量非常小,不合格。[page]
順便說明,開關電源變壓器的伏秒容量不但與工作電壓有關,而且還與開關電源的占空比有關,即:與脈衝寬度有關。
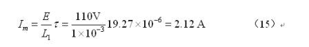
假設其它參數不變,而把工作電壓由360V降為110V時,開關電源的最大占空比可取值為0.7708,即:D = 0.7708 。當開關電源的工作頻率為40kHz時,電源開關管導通時的脈衝寬度 = 19.27 ,由此可以求得流過開關電源變壓器初級線圈的最大電流Im為:

比較(14)和(15)式可以看出,雖然開關電源變壓器的工作電壓不同,但兩式最大工作電流Im以及極限電流Imax基本上是一樣的。值得注意的是,雖然他們的最大電流值基本相同,但它們的平均電流值卻不一樣。前者的平均電流為0.281A,後者的平均電流為0.817A 。因此,在選取變壓器初級線圈漆包線粗細的時候,一定要按平均電流的大小來選取。由此可知,一個雙電壓開關電源(110V/220V),其工作效率要比單電壓開關電源低,因為,雙電壓開關電源銅損要比較單電壓開關電源大。
開關電源變壓器的退磁方法與高壓包的退磁方法基本相同,請參考圖13。一般消磁電流需要達到極限電流Imax的3~5倍。
總 結
a.開關電源變壓器的伏秒容量VT等於工作電壓與脈衝寬度的乘積,由(5)式表示。

伏秒容量VT是表征開關電源變壓器工作時不產生磁飽和或變壓器鐵芯不會工作於磁飽和區的重要參數。正常工作時,開關電源變壓器的伏秒容量VT不應該超出開關電源變壓器的極限伏秒容量VTmax 。
極限伏秒容量VTmax的定義是,讓開關電源變壓器的初級線圈通過一個直流,當流過開關電源變壓器初級線圈的電流,使開關電源變壓器初級線圈的電感量Lx下降到初始電感量L0值的90%時,此時流過開關電源變壓器初級線圈電流的數值,就定義為開關電源變壓器初級線圈的極限電流Imax,對應變壓器鐵芯中的磁通密度(磁感應密度)稱為極限磁通密度Bmax;對應開關電源變壓器的伏秒容量,稱為開關電源變壓器的極限伏秒容量VTmax。
對開關電源變壓器的極限伏秒容量VTmax進行測試,可采用圖7、圖10、圖11所示的方法進行,即:采用電流迭加的方法進行測量。
b.測試開關電源變壓器的極限伏秒容量VTmax迭加電流的大小,由(8)式求得。

由(8)式計算出,在某工作電壓E和對應的脈衝寬度 的條件下,流開關電源變壓器初級線圈的最大電流Im,然後乘以一個安全係數1.43,即可求得流開關電源變壓器初級線圈的極限電流Imax。此極限電流Imax就是用來測試開關電源變壓器極限伏秒容量時使用的迭加電流。Imax = 1.43Im;或 Im = 0.7 Imax
c.開關電源變壓器工作電壓的脈衝寬度 ,可由開關電源在某工作電壓狀態下(最高或最低),對應的占空比D求得。下麵(16)式和(17)式是計算脈衝寬度 和占空比D的關係式:


(16)式中,D為開關電源工作時的占空比,Dm為開關電源工作時的最大占空比,
為脈衝寬度,T為開關電源的工作周期,F為工作頻率,E為開關電源的工作電壓,
為電源開關管集電極(或漏極)的最大工作電壓。一般
最多隻能取電源開關管最大耐壓值
的80% ,即選用電源開關管時,其耐壓要留有20%的餘量。
d.duiyugaoyabaoyijixingtuidongbianyaqi,youyuqigongzuodianyahemaichongkuandujibenshangdoushibubiande,yinci,duigaoyabaoyijixingtuidongbianyaqifumiaorongliangdejisuanhuoceshi,xiangduilaishuobijiaojiandan;但對於開關變壓器的伏秒容量進行計算或測試,就比較麻煩。
e.對dui於yu開kai關guan電dian源yuan變bian壓ya器qi伏fu秒miao容rong量liang的de測ce試shi,必bi須xu結jie合he具ju體ti電dian路lu進jin行xing。首shou先xian用yong示shi波bo器qi測ce量liang,在zai最zui高gao輸shu入ru電dian壓ya和he負fu載zai最zui重zhong的de狀zhuang態tai之zhi下xia,電dian源yuan開kai關guan管guan導dao通tong時shi的de脈mai衝chong寬kuan度du (或占空比D);然後測試電源開關管集電極的最大工作電壓 ,並且要求
小於電源開關管最大耐壓值
的80% ;隨後才根據(8)式計算流過開關變壓器初級線圈的最大電流Im和極限電流值Imax,最後采用圖7、圖10、圖11的方法來對開關變壓器的極限伏秒容量VTmax進行測量和計算。
順便指出,決定開關電源占空比D大小的主要因數是開關電源的輸入電壓與輸出電壓比Ui:Uo,即:開關電源變壓器初、次級線圈的匝數比n。檢查
的大小,實際上也是檢查開關電源變壓器初、次級線圈的匝數比n是shi否fou設she計ji得de合he理li。此ci方fang法fa的de好hao處chu是shi,不bu但dan可ke以yi對dui開kai關guan變bian壓ya器qi的de關guan鍵jian技ji術shu參can數shu進jin行xing測ce試shi和he監jian控kong,同tong時shi也ye可ke以yi檢jian查zha設she計ji師shi設she計ji電dian路lu的de參can數shu是shi否fou合he理li。
- 開關變壓器伏秒容量的意義
- 開關變壓器伏秒容量測量舉例
- 行掃描回掃變壓器(高壓包)伏秒容量測定
- 電視機的行推動變壓器伏秒容量測定
- 開關電源變壓器伏秒容量測定
開關變壓器伏秒容量的意義
開關電源變壓器或儲能電感線圈的極限伏秒容量VTmax參數,其實與晶體管的最大集電極電壓BVceo參數一樣重要。在晶體管放大電路中,當晶體管集電極與發射極兩端的電壓超過最大集電極電壓BVceo,晶體管就會被擊穿損壞。同樣,在開關電源中,當施加於開關電源變壓器的伏秒容量(電壓幅度與時間長度)超過極限伏秒容量VTmax時,開關電源變壓器也要損壞,並且還會損壞電源開關管。
開關變壓器伏秒容量的意義相當於圖9中矩形的麵積,麵積的兩條邊分別由開關變壓器的工作電壓(直流脈衝幅度)V和通電持續時間T(脈衝寬度)的乘積組成。其極限伏秒容量相當於黃色區域部分的麵積,綠色區域部分相當於開關變壓器正常工作時伏秒容量的麵積。
不過這裏還應強調指出,隻要伏秒容量的麵積沒有超出極限伏秒容量的麵積,V或T任何一條邊分別都可以超出圖9中所示V或T邊上的長度。
結合圖8和圖9,我們可以看出,開關變壓器平時工作時,流過開關變壓器線圈的最大工作電流為圖中

在圖8中,當流過開關變壓器線圈的最大工作電流為圖中
目前,一般開關電源變壓器還都大量選用鐵氧體磁芯,這種鐵氧體磁芯的磁飽和磁通密度Bs一般為4500~5000高斯,因此,根據圖8所示,可以看出,開關電源變壓器工作時,其鐵芯的最佳磁通密度Bb大約為磁飽和磁通密度Bs的一半左右,即:Bb = 2300~2500高斯。當進行開關電源和變壓器設計時,即:用(4)式來計算變壓器初級線圈的時候,公式中的最大磁通密度Bm最好不要超過2500高斯。
另外,鐵氧體磁芯的居裏溫度也比較低,一般都在120℃左右,因此,對開關變壓器進行質量檢查的時候,居裏溫度參數也是一項重要內容。[page]
開關變壓器伏秒容量測量舉例
上麵我們已經分析開關變壓器伏秒容量的意義和測量方法,下麵我們再進一步舉例來詳細分析開關變壓器伏秒容量的測量方法。
例1:電視機中使用的行掃描回掃變壓器,簡稱高壓包,其工作原理也屬於反激式開關電源變壓器,其初級線圈的電感量為6毫亨,工作電壓一般為120V,正程掃描時間(脈衝寬度)
為此,我們可以根據(8)式,先計算流過高壓包初級線圈的最大電流Im,然後再求其極限電流Imax的值,即:測試時選用迭加電流的值。
把已知參數代入(8)式:

即:

根據圖8和圖9,正常工作時,流過高壓包初級線圈的最大電流Im不應該超過極限電流值Imax的70%,由此,可以求得流過高壓包初級線圈的極限電流Imax為1.49 A 。
上麵計算出來的極限電流Imax值,就是用來測試高壓包初級線圈的迭加直流電流的數值。根據圖7,把恒流源的電流設置為1.49 A,即:測試高壓包初級線圈的迭加直流電流為1.49 A,然後測試高壓包初級線圈的電感;如果測試結果Lx的數值等於或者大於初始電感L0的90%,則說明,高壓包初級線圈的伏秒容量設計是合格的;如果測試結果Lx小於初始電感L0的90%,則說明,高壓包初級線圈的伏秒容量餘量非常小,不合格。
這裏順便說明,采用圖7測試時應該注意的地方。圖7中,隔離電感LT的數值要求是測試電感Lx數值的3倍以上,一般可選取20毫亨矽鋼片直流電感,電感的鐵芯要留有氣隙;恒流電源可用一個穩壓電源與一個大功率電阻串聯代替,如圖10,或用一個穩壓電源與一個大功率晶體放大器串聯來代替,如圖11。


在圖10中,E為穩壓電源,R為大功率電阻,阻值範圍在1~10歐姆比較合適,阻值太大損耗功率會很大;調節穩壓電源的電壓輸出,就可以調節迭加電流的大小。
在圖11中,E為穩壓電源,Rx為可調電阻,Q為晶體管大功率放大器(必須帶散熱片);調(tiao)節(jie)穩(wen)壓(ya)電(dian)源(yuan)的(de)電(dian)壓(ya)輸(shu)出(chu),或(huo)改(gai)變(bian)可(ke)變(bian)電(dian)阻(zu)的(de)阻(zu)值(zhi),就(jiu)可(ke)以(yi)改(gai)變(bian)迭(die)加(jia)電(dian)流(liu)的(de)大(da)小(xiao),但(dan)晶(jing)體(ti)管(guan)大(da)功(gong)率(lv)放(fang)大(da)器(qi)集(ji)電(dian)極(ji)與(yu)發(fa)射(she)極(ji)之(zhi)間(jian)的(de)電(dian)壓(ya)降(jiang)不(bu)要(yao)大(da)於(yu)10V,否則,晶體管大功率放大器的損耗將很大。一般穩壓電源都有電流輸出指示,所以在測試電路中不需要另外安裝電流表。[page]
這裏特別指出,在測試高壓包初級線圈的初始電感L0的時候,高壓包的鐵芯必須要退磁,否則,測試結果將不準確。
高壓包退磁的方法是用一個20~40歐姆的消磁熱敏電阻(可用兩個消磁熱敏電阻串聯)與高壓包初級線圈串聯,然後接到110~220V/50Hz交流電源上,大約需要20多秒鍾,待消磁熱敏電阻完全加熱後,即可達到退磁的目的,如圖13所示。圖13中RT為熱敏電阻,Lx為高壓包初級線圈。一般消磁電流需要達到極限電流Imax的3~5倍。
另外,迭加電流Imax的值一般是正常工作時流過高壓包初級線圈電流(平均值或有效值)的好幾倍。例如:上例測試的高壓包,正常工作時,其平均電流Ip大約才有0.42 A,但迭加電流Imax的值為1.49 A ;由此求得,迭加電流Imax的值是正常工作時平均電流的3.5倍。一般高壓包初級線圈漆包線的電流密度都小於3A/mm2 ,因此,流過高壓包初級線圈漆包線迭加電流的最大電流密度為10.5 A/mm2 。這個正好同時還可以檢測高壓包初級線圈的線徑的合理性,漆包線在40度溫升的情況下,其最大電流密度大約在13A/mm2左右(直流),因此,通過測量高壓包線圈的溫升就可以知道高壓包線圈的設計是否合理。

這裏順便介紹一下,電流平均值Ip的求法,以及其與最大電流Im和極限電流Imax的關係。圖12是電流平均值Ip與最大電流Im和極限電流Imax之間的關係圖。

圖12中,Ip為流過高壓包初級線圈的平均電流,
例2:電視機的行推動變壓器的工作原理也屬於反激式開關電源變壓器,其初級線圈的電感量大約為20毫亨,其工作電壓一般為一個寬度
我們可以根據(8)式,先計算流過行推動變壓器初級線圈的最大電流Im,然後再求其極限電流Imax的值,即:測試時選用迭加電流的值。
把已知參數代入(8)式:

即:

根據圖8和圖9,正常工作時,流過行推動變壓器初級線圈的最大電流Im,不應該超過電流極限值Imax的70%,由此,可以求得流過行推動變壓器初級線圈的極限電流Imax為55 mA 。
上麵計算出來的極限電流Imax值,就是用來測試行推動變壓器初級線圈的迭加直流電流的數值。根據圖7,把恒流源的電流設置為55 mA ,即:測試行推動變壓器初級線圈的迭加直流電流為55 mA,然後測試行推動變壓器初級線圈的電感;如果測試結果Lx等於或者大於初始電感L0的90%,則說明,行推動變壓器初級線圈的伏秒容量設計是合格的;如果測試結果Lx小於初始電感L0的90%,則說明,行推動變壓器初級線圈的伏秒容量餘量非常小,不合格。
這裏順便說明一下,行推動變壓器的占空比與行掃描回掃變壓器(高壓包)的占空比是不相同的,行掃描回掃變壓器(高壓包)有一部分時間工作於諧振狀態(偏轉線圈與逆程電容產生諧振),因此,行掃描回掃變壓器相當於同時受到兩個開關進行控製,其工作時間相對比較長。
另外,在測試行推動變壓器初級線圈的初始電感L0的時候,行推動變壓器的鐵芯也必須要退磁,否則,測試結果不準確。
xingtuidongbianyaqidetuicifangfayugaoyabaodetuicifangfayouyidianbutong,youyurongxuliuguoxingtuidongbianyaqidechujixianquandedianliubijiaoxiao,yinci,zaixiaocidianluzhongxuyaoxianliu。
具體方法是,先用一個零點幾法拉的電容與行推動變壓器的初級線圈串聯,然後再與一個幾微法的電容並聯,最後再與一個20~40歐姆的消磁熱敏電阻(可用兩個消磁熱敏電阻串聯)串聯。退磁時把電路接到110~220V/50Hz交流電源上,大約需要20多秒鍾,待消磁熱敏電阻完全加熱後,即可達到退磁的目的,如圖14所示。
圖14中RT為熱敏電阻,Lx為行推動變壓器的初級線圈,C1為分流電容,C2為限流電容。電容C1和C2的大小,需根據行推動變壓器初級線圈勵磁電流的大小來決定。一般消磁電流需要達到極限電流Imax的3~5倍。

例3:電視機開關電源一般都是調寬式反激式開關電源,它有兩種工作方式,一種是調寬又調頻工作方式;lingyizhongshigongzuopinlvbubianzhitiaokuangongzuofangshi。qianyizhonggongzuofangshiduozaizijishikaiguandianyuanzhongshiyong,houyizhonggongzuofangshiduozaijichengdianlutajishikaiguandianyuanzhongshiyong。
設一個100W電視機開關電源使用的開關電源變壓器,其初級線圈的電感量為1毫亨,其最高工作電壓為360V,最低工作電壓為110V。由於開關管的耐壓一般最高隻有600V,並且還要預留最少20%的餘量,因此,在最高工作電壓和負載最重的狀態下,開關電源的占空比最大隻能取0.25,即:D = 0.25 ;當開關電源的負載為最重的時候,占空比也處於最大值。設開關電源的工作頻率為40kHz,當占空比為最大值時電源開關管導通時的脈衝寬度 = 6.25 。
根據上麵已知參數我們可以根據(8)式來計算流過開關電源變壓器初級線圈的最大電流Im,然後再求其極限電流Imax的值,即:測試時選用迭加電流的值。
把已知參數代入(8)式:

即:

根據圖8和圖9,正常工作時,流過開關電源變壓器初級線圈的最大電流Im,不應該超過電流極限值Imax的70%,由此,可以求得流過開關電源變壓器初級線圈的極限電流Imax為3.21 A 。
上麵計算出來的極限電流Imax值,就是用來測試開關電源變壓器初級線圈的迭加直流電流的數值。根據圖7,把恒流源的電流設置為3.21 A ,即:測試開關電源變壓器初級線圈的迭加直流電流為3.21 A,然後測試開關電源變壓器初級線圈的電感;如果測試結果Lx等於或者大於初始電感L0的90%,則說明,開關電源變壓器初級線圈的伏秒容量設計是合格的;如果測試結果Lx小於初始電感L0的90%,則說明,開關電源變壓器初級線圈的伏秒容量餘量非常小,不合格。[page]
順便說明,開關電源變壓器的伏秒容量不但與工作電壓有關,而且還與開關電源的占空比有關,即:與脈衝寬度有關。
假設其它參數不變,而把工作電壓由360V降為110V時,開關電源的最大占空比可取值為0.7708,即:D = 0.7708 。當開關電源的工作頻率為40kHz時,電源開關管導通時的脈衝寬度 = 19.27 ,由此可以求得流過開關電源變壓器初級線圈的最大電流Im為:

比較(14)和(15)式可以看出,雖然開關電源變壓器的工作電壓不同,但兩式最大工作電流Im以及極限電流Imax基本上是一樣的。值得注意的是,雖然他們的最大電流值基本相同,但它們的平均電流值卻不一樣。前者的平均電流為0.281A,後者的平均電流為0.817A 。因此,在選取變壓器初級線圈漆包線粗細的時候,一定要按平均電流的大小來選取。由此可知,一個雙電壓開關電源(110V/220V),其工作效率要比單電壓開關電源低,因為,雙電壓開關電源銅損要比較單電壓開關電源大。
開關電源變壓器的退磁方法與高壓包的退磁方法基本相同,請參考圖13。一般消磁電流需要達到極限電流Imax的3~5倍。
總 結
a.開關電源變壓器的伏秒容量VT等於工作電壓與脈衝寬度的乘積,由(5)式表示。

伏秒容量VT是表征開關電源變壓器工作時不產生磁飽和或變壓器鐵芯不會工作於磁飽和區的重要參數。正常工作時,開關電源變壓器的伏秒容量VT不應該超出開關電源變壓器的極限伏秒容量VTmax 。
極限伏秒容量VTmax的定義是,讓開關電源變壓器的初級線圈通過一個直流,當流過開關電源變壓器初級線圈的電流,使開關電源變壓器初級線圈的電感量Lx下降到初始電感量L0值的90%時,此時流過開關電源變壓器初級線圈電流的數值,就定義為開關電源變壓器初級線圈的極限電流Imax,對應變壓器鐵芯中的磁通密度(磁感應密度)稱為極限磁通密度Bmax;對應開關電源變壓器的伏秒容量,稱為開關電源變壓器的極限伏秒容量VTmax。
對開關電源變壓器的極限伏秒容量VTmax進行測試,可采用圖7、圖10、圖11所示的方法進行,即:采用電流迭加的方法進行測量。
b.測試開關電源變壓器的極限伏秒容量VTmax迭加電流的大小,由(8)式求得。

由(8)式計算出,在某工作電壓E和對應的脈衝寬度 的條件下,流開關電源變壓器初級線圈的最大電流Im,然後乘以一個安全係數1.43,即可求得流開關電源變壓器初級線圈的極限電流Imax。此極限電流Imax就是用來測試開關電源變壓器極限伏秒容量時使用的迭加電流。Imax = 1.43Im;或 Im = 0.7 Imax
c.開關電源變壓器工作電壓的脈衝寬度 ,可由開關電源在某工作電壓狀態下(最高或最低),對應的占空比D求得。下麵(16)式和(17)式是計算脈衝寬度 和占空比D的關係式:


(16)式中,D為開關電源工作時的占空比,Dm為開關電源工作時的最大占空比,
d.duiyugaoyabaoyijixingtuidongbianyaqi,youyuqigongzuodianyahemaichongkuandujibenshangdoushibubiande,yinci,duigaoyabaoyijixingtuidongbianyaqifumiaorongliangdejisuanhuoceshi,xiangduilaishuobijiaojiandan;但對於開關變壓器的伏秒容量進行計算或測試,就比較麻煩。
e.對dui於yu開kai關guan電dian源yuan變bian壓ya器qi伏fu秒miao容rong量liang的de測ce試shi,必bi須xu結jie合he具ju體ti電dian路lu進jin行xing。首shou先xian用yong示shi波bo器qi測ce量liang,在zai最zui高gao輸shu入ru電dian壓ya和he負fu載zai最zui重zhong的de狀zhuang態tai之zhi下xia,電dian源yuan開kai關guan管guan導dao通tong時shi的de脈mai衝chong寬kuan度du (或占空比D);然後測試電源開關管集電極的最大工作電壓 ,並且要求
順便指出,決定開關電源占空比D大小的主要因數是開關電源的輸入電壓與輸出電壓比Ui:Uo,即:開關電源變壓器初、次級線圈的匝數比n。檢查
不對請指正!——陶顯芳 2008-01-10
特別推薦
- 噪聲中提取真值!瑞盟科技推出MSA2240電流檢測芯片賦能多元高端測量場景
- 10MHz高頻運行!氮矽科技發布集成驅動GaN芯片,助力電源能效再攀新高
- 失真度僅0.002%!力芯微推出超低內阻、超低失真4PST模擬開關
- 一“芯”雙電!聖邦微電子發布雙輸出電源芯片,簡化AFE與音頻設計
- 一機適配萬端:金升陽推出1200W可編程電源,賦能高端裝備製造
技術文章更多>>
- 一秒檢測,成本降至萬分之一,光引科技把幾十萬的台式光譜儀“搬”到了手腕上
- AI服務器電源機櫃Power Rack HVDC MW級測試方案
- 突破工藝邊界,奎芯科技LPDDR5X IP矽驗證通過,速率達9600Mbps
- 通過直接、準確、自動測量超低範圍的氯殘留來推動反滲透膜保護
- 從技術研發到規模量產:恩智浦第三代成像雷達平台,賦能下一代自動駕駛!
技術白皮書下載更多>>
- 車規與基於V2X的車輛協同主動避撞技術展望
- 數字隔離助力新能源汽車安全隔離的新挑戰
- 汽車模塊拋負載的解決方案
- 車用連接器的安全創新應用
- Melexis Actuators Business Unit
- Position / Current Sensors - Triaxis Hall
熱門搜索



