高速SerDes均衡之FFE
發布時間:2021-09-07 來源:不忘初心的模擬小牛牛 責任編輯:wenwei
【導讀】高速接口SerDes為(wei)實(shi)現(xian)芯(xin)片(pian)間(jian)信(xin)號(hao)的(de)有(you)線(xian)傳(chuan)輸(shu),需(xu)要(yao)完(wan)成(cheng)數(shu)字(zi)到(dao)模(mo)擬(ni)的(de)轉(zhuan)化(hua),經(jing)過(guo)通(tong)道(dao)傳(chuan)輸(shu)後(hou),再(zai)將(jiang)模(mo)擬(ni)信(xin)號(hao)轉(zhuan)回(hui)數(shu)字(zi)信(xin)號(hao)。並(bing)保(bao)證(zheng)傳(chuan)輸(shu)過(guo)程(cheng)保(bao)持(chi)比(bi)較(jiao)低(di)的(de)誤(wu)碼(ma)率(lv)。本(ben)期(qi),結(jie)合(he)信(xin)道(dao)的(de)特(te)性(xing),我(wo)們(men)來(lai)了(le)解(jie)一(yi)下(xia)SerDes的發送端TX的均衡原理。
SerDes的整個模型可以簡單表示為圖1所示。其中經過串化後的數字信號流,經過TX Driver轉化為NRZ編碼的波形發送到TX輸出端,經過信道傳輸,被RX前端采樣和比較,解碼得到正確的數據。模型上就是從{dk}到y(t)的過程。

圖1
其中數字信號表示為{dk},這裏為方便敘述,dk取值歸一化為±1,分別代表邏輯“1”和“0”。其轉化關係為是線性的。同樣將TX輸出y(t)歸一化為±1的波形如圖2。可以將TX的單位衝激響應Φ(t)看做是一個窗函數rect,也就是一個零階保持器(Zero-order Hold,ZOH)。Tx Driver就通過ZOH完成了離散信號到連續信號的轉換。
如圖2,經過ZOH連續化的NRZ編碼信號,可以分解為1UI寬度的幅度為±1的脈衝信號了。

圖2
從信號與係統中,我們知道,滿足采樣定理的原始信號經過采樣後,為了重建(reconstruction)原始信號,需要對采樣信號在頻域加理想窗函數rect。
如圖3,rect和sinc函數是一對傅裏葉變換對。頻域窗函數rect其時域則是sinc函數。這種理想信號重建方式,實際上,比較難以實現。
ZOH作為最簡單的離散信號連續化手段,其對應的頻域是個sinc函數。可以看到,頻域sinc函數衰減了高頻成分,雖然無法完全消除。但因其時域的實現方式簡單容易,而廣泛應用。

圖3
在TX的信號轉化模型中,我們可以看到,將離散非周期信號{dk}轉化為連續非周期信號y(t),采用的是ZOH的零階保持。對應的頻譜從連續周期變化為連續非周期。這是因為表示ZOH的矩形窗函數rect在頻域是連續非周期的sinc函數。過程如圖4,也就是頻域經過sinc函數整形。

圖4
小結
總結一下,就是TX發送端完成了離散數字信號的連續化。
對於一定的信道,隨著SerDes的de數shu據ju速su率lv越yue來lai越yue高gao,數shu據ju傳chuan輸shu到dao接jie收shou端duan時shi,已yi經jing比bi較jiao難nan以yi分fen辨bian了le,接jie收shou端duan會hui得de到dao大da量liang的de錯cuo誤wu數shu據ju。至zhi於yu信xin道dao模mo型xing,基ji本ben都dou是shi等deng效xiao為wei我wo們men先xian前qian聊liao過guo的de傳chuan輸shu線xian。圖tu5給出幾個不同長度FR4板材的傳輸線特性,主要是插入損耗S21隨頻率的變化曲線。

圖5
可(ke)以(yi)看(kan)到(dao)在(zai)設(she)計(ji)的(de)比(bi)較(jiao)好(hao)的(de)信(xin)道(dao)時(shi),其(qi)損(sun)耗(hao)和(he)頻(pin)率(lv)的(de)關(guan)係(xi)相(xiang)對(dui)比(bi)較(jiao)線(xian)性(xing)。信(xin)道(dao)對(dui)不(bu)同(tong)頻(pin)率(lv)成(cheng)分(fen)的(de)衰(shuai)減(jian)量(liang)是(shi)不(bu)一(yi)致(zhi)的(de)。而(er)實(shi)際(ji)信(xin)號(hao)的(de)頻(pin)率(lv)會(hui)比(bi)較(jiao)豐(feng)富(fu)。這(zhe)會(hui)導(dao)致(zhi)信(xin)號(hao)有(you)比(bi)較(jiao)嚴(yan)重(zhong)的(de)碼(ma)間(jian)幹(gan)擾(rao)(後邊具體說明)。
因此需要在接收端RX,caiyongbutongdejunhengshouduan,laijiangdixindaodeditongpinlvtexingdeyingxiang,danweiyingduigengdadexindaoshuaijian,zaigenggaodeshujulvxia,yexuyaozaifasongduanjichengjunhengfangan。zhezhongjunhengfangshichangchengweiqiankuijunheng(Feed-Forward Equalization,FFE)。利用的是數字信號處理中最常見的有限長度衝激響應(Finite Impulse Response)濾波器。
那麼對於SerDes的發送端均衡,我們要考慮的FIR就必須具有高通特性,以此來提前補償一定程度的信道損耗。
至於具體的FIR實現上,需要分析FIR的補償量,階數。同時綜合考慮應用場景特性,發送端電路實現和用戶的易用性等因素。圖6給出了個簡單的2階3-tap結構的FIR例子。

圖6
其中3個tap的係數就是設計參數,盡管我們已經確定需要FIR的頻域特性是高通特性。但考慮到電路實現時(特別是功耗這一點上),就有兩種不同的FIR的兩均衡方式,分別稱之為預加重(Pre-emphasis)和去加重(De-emphasis)。其歸一化頻域特性和離散時域表達式如圖7所示。

圖7
看到預加重和去加重的典型區別是,在多檔可調均衡量設計中,是否具有恒定的最大輸出擺幅(也就是fixed peak swing)。比如說去加重就是典型的fixed Vpk。而預加重的最大輸出幅度和加重量相關。表現為圖7中歸一化奈奎斯特頻率是否恒定。
加重量的計算可以直觀從圖7表達式看到。DC頻率幅度和奈奎斯特頻率幅度比值取對數坐標即可。
可以這麼理解,去加重方式主要是降低中低頻分量,保持高頻分量恒定;而預加重主要是保持低頻恒定,增加中高頻分量。給定圖7所示係數C0=0.1,C2=0.2,一個典型的去加重和預加重波形如圖8所示。

圖8
如果說發送端在無均衡模式下,隻能看做1bit的D/A轉化器,那麼包含FFE均衡的發送端就是多bit的ADC了。在實際的實現過程中,無論是電壓型的SST結構和電流型的CML結構。都可以采用了多份疊加的實際思路,如圖9的示意圖。

圖9
那麼現在還剩下一個問題就是FIR的係數怎麼確定,為什麼c0和c2要取負值。回答這個問題前,我們先了解下信道的脈衝響應。
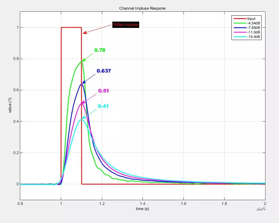
如圖10所示。10Gbps數據率下,對應圖5不同損耗的單位脈衝響應。可以看到隨著損耗的增加,響應信號最大幅度逐漸減小,並表現出了越來越嚴重(幅度和持續時間)的“拖尾”,這就是我們常說的碼間幹擾(ISI)。

圖10
可見在需要長距離傳輸時(通常損耗量和長度正相關),為保持信號盡可能的小的衰減,就需要使用更好材質的傳輸線,或更進一步使用光纖傳輸。
為了更形象的理解ISI的幹擾作用,圖11和圖12給出了更進一步的說明。
圖11是一個典型的信道輸入信號的脈衝分解。這裏脈衝初值給了0(對應實際的發送器輸出為idle態,也就是共模)。之後是“1111101”的脈衝。將該輸入送給圖10中具有-14.4dB@5GHz的信道。

圖11
圖12是輸出結果波形。信道通常是LTI係統,可以看到8個相隔為1UI=100ps的脈衝響應。還有一些疊加信號,黃色是僅前3個+脈衝的疊加結果,藍色為前6個+脈衝的疊加,紅色為前6個+脈衝加第7個-脈衝的疊加結果,黑色為全部8個脈衝的疊加結果。

圖12
從圖12比較明顯地觀察到,前6個+脈衝和第8個+脈衝的影響,導致第7個-脈衝的幅度裕量(和0電壓比較)很小了。如果再加上噪聲和其他幹擾,比較容易導致RX端判斷錯誤。下邊量化一下ISI的影響。
圖13給出-14.4dB@5GHz信道的脈衝響應,包括前標(pre_cursor)、主標(main_cursor)和後標(post_cursor)的具體量值。這些標量在計算經過信道後眼圖的“眼高”時有重要指導意義。
比如圖13中給出了出現最小眼高的Case。一般是在出現連續多個UI的邏輯“0”(或“1”)之後,緊接著出現邏輯“10”(或“01”),或者相反的情況(圖12例子)。

圖13
需要注意的worst case眼高值y的計算公式。當然實際上眼高和數據密切相關,比如我們在用PRBS7和PRBS15等進行仿真時,可以明顯看到PRBS7的眼高就比PRBS15的更大一些。這裏邊就是因為PRBS7碼型最多出現7個連續的邏輯“0”或者“1”。導致計算式中post_cursor的和偏小。worst case的“眼高”估計,是RX端設計的重要參考指標。
最後就是FIR係數計算方式,一種是迫零法(Zero Force),另一種是最小均方誤差(Minimum Mean Square Error,MMSE)。
限於篇幅,這裏給一個迫零法的簡單說明。這裏利用圖13中給出的14.4dB的脈衝響應,計算一下實現圖6和7中3-tap結構FIR。可以看到FIR係數的計算就是利用脈衝響應構成的矩陣運算,其中P是無前後標的理想脈衝響應[0 1 0],歸一化後可以得到係數的計算結果。

圖14
MMSE不不強迫後標都是零值,而是使所有後標的總能量最小。是一種比迫零法更好的方法。
說明
需要說明的是,在我們FIR的實現中,可以隻用Pre-cursor C0(C2=0)或者Post_cursor C2(C0=0)進行均衡加重,也可以兩者都用,區別表現在TX輸出的幅度穩態值個數不同。
最後再放一張包含了同時包含Pre-cursor去加重和post-cursor去加重量的發送端眼圖。可以在圖15的眼圖上看到約6個穩態幅度量。分別代表了高中低等頻率分量。

圖15
到了最後還是不得不說一下TX端(duan)均(jun)衡(heng)的(de)局(ju)限(xian)性(xing),最(zui)主(zhu)要(yao)的(de)就(jiu)是(shi)發(fa)送(song)器(qi)的(de)均(jun)衡(heng)程(cheng)度(du)很(hen)難(nan)做(zuo)好(hao)根(gen)據(ju)應(ying)用(yong)場(chang)景(jing)的(de)自(zi)適(shi)應(ying)調(tiao)節(jie)。一(yi)般(ban)都(dou)是(shi)留(liu)一(yi)些(xie)可(ke)調(tiao)整(zheng)的(de)檔(dang)位(wei)供(gong)用(yong)戶(hu)選(xuan)擇(ze)。但(dan)這(zhe)不(bu)妨(fang)礙(ai)TX端的均衡能夠進一步提高SerDes的過channel能力,提高串口的性能。總之,屬於錦上添花的feature。
免責聲明:本文為轉載文章,轉載此文目的在於傳遞更多信息,版權歸原作者所有。本文所用視頻、圖片、文字如涉及作品版權問題,請聯係小編進行處理。
推薦閱讀:
特別推薦
- 噪聲中提取真值!瑞盟科技推出MSA2240電流檢測芯片賦能多元高端測量場景
- 10MHz高頻運行!氮矽科技發布集成驅動GaN芯片,助力電源能效再攀新高
- 失真度僅0.002%!力芯微推出超低內阻、超低失真4PST模擬開關
- 一“芯”雙電!聖邦微電子發布雙輸出電源芯片,簡化AFE與音頻設計
- 一機適配萬端:金升陽推出1200W可編程電源,賦能高端裝備製造
技術文章更多>>
- 算力爆發遇上電源革新,大聯大世平集團攜手晶豐明源線上研討會解鎖應用落地
- 築基AI4S:摩爾線程全功能GPU加速中國生命科學自主生態
- 一秒檢測,成本降至萬分之一,光引科技把幾十萬的台式光譜儀“搬”到了手腕上
- AI服務器電源機櫃Power Rack HVDC MW級測試方案
- 突破工藝邊界,奎芯科技LPDDR5X IP矽驗證通過,速率達9600Mbps
技術白皮書下載更多>>
- 車規與基於V2X的車輛協同主動避撞技術展望
- 數字隔離助力新能源汽車安全隔離的新挑戰
- 汽車模塊拋負載的解決方案
- 車用連接器的安全創新應用
- Melexis Actuators Business Unit
- Position / Current Sensors - Triaxis Hall
熱門搜索





