帶有漏電感的反激式轉換器小信號模型
發布時間:2021-03-10 責任編輯:wenwei
【導讀】我們將研究CCM反(fan)激(ji)式(shi)轉(zhuan)換(huan)器(qi)於(yu)電(dian)壓(ya)模(mo)式(shi)下(xia)被(bei)漏(lou)電(dian)感(gan)影(ying)響(xiang)的(de)小(xiao)信(xin)號(hao)響(xiang)應(ying)。我(wo)們(men)將(jiang)從(cong)大(da)信(xin)號(hao)模(mo)型(xing)逐(zhu)步(bu)邁(mai)向(xiang)逐(zhu)漸(jian)簡(jian)化(hua)的(de)小(xiao)信(xin)號(hao)電(dian)路(lu)原(yuan)理(li)圖(tu),以(yi)建(jian)立(li)最(zui)簡(jian)單(dan)的(de)線(xian)性(xing)版(ban)本(ben)。從(cong)這(zhe)最(zui)終(zhong)的(de)電(dian)路(lu),我(wo)們(men)將(jiang)提(ti)取(qu)控(kong)製(zhi)-輸出傳遞函數,並顯示漏電感如何影響傳遞函數分母的品質因數。
從大信號到小信號
當(dang)您(nin)想(xiang)獲(huo)得(de)一(yi)個(ge)複(fu)雜(za)電(dian)路(lu)的(de)傳(chuan)遞(di)函(han)數(shu)時(shi),您(nin)的(de)目(mu)標(biao)是(shi)減(jian)少(shao)複(fu)雜(za)度(du),以(yi)便(bian)通(tong)過(guo)最(zui)簡(jian)單(dan)的(de)電(dian)路(lu)原(yuan)理(li)圖(tu)進(jin)行(xing)分(fen)析(xi)。但(dan)是(shi),當(dang)您(nin)在(zai)減(jian)少(shao)電(dian)路(lu)的(de)過(guo)程(cheng)中(zhong)–通過因式分解、簡化表達式、忽略變量等–您(nin)必(bi)須(xu)測(ce)試(shi)您(nin)的(de)新(xin)電(dian)路(lu),並(bing)與(yu)最(zui)初(chu)的(de)電(dian)路(lu)響(xiang)應(ying)進(jin)行(xing)比(bi)較(jiao)。在(zai)最(zui)初(chu)的(de)響(xiang)應(ying)和(he)您(nin)隨(sui)後(hou)的(de)簡(jian)化(hua)版(ban)本(ben)的(de)響(xiang)應(ying)之(zhi)間(jian)的(de)任(ren)何(he)偏(pian)差(cha)都(dou)表(biao)明(ming)您(nin)弄(nong)錯(cuo)了(le),或(huo)者(zhe)您(nin)作(zuo)的(de)假(jia)設(she)過(guo)於(yu)簡(jian)單(dan)化(hua) :丟(diu)棄(qi)這(zhe)電(dian)路(lu)並(bing)回(hui)到(dao)前(qian)一(yi)步(bu)重(zhong)做(zuo)。遵(zun)照(zhao)這(zhe)步(bu)驟(zhou),您(nin)肯(ken)定(ding)進(jin)展(zhan)很(hen)慢(man),但(dan)卻(que)很(hen)仔(zai)細(xi),您(nin)可(ke)立(li)即(ji)發(fa)現(xian)和(he)改(gai)正(zheng)錯(cuo)誤(wu)。沒(mei)有(you)什(shen)麼(me)比(bi)在(zai)結(jie)束(shu)時(shi)發(fa)現(xian)錯(cuo)誤(wu)而(er)同(tong)時(shi)您(nin)意(yi)識(shi)到(dao)在(zai)一(yi)個(ge)中(zhong)間(jian)步(bu)驟(zhou)就(jiu)出(chu)了(le)問(wen)題(ti)更(geng)令(ling)人(ren)沮(ju)喪(sang)的(de)了(le)!

圖1:這開環大信號電路原理圖是我們的起始電路,其動態響應將用作後麵步驟的參考
首先我們用第二部分介紹的小信號版本代替大信號PWM開關模型。然後,我們可運行一個交流仿真,並驗證操作點和響應是相同的。非線性模型在圖1中,而小信號版本出現在圖2中。占空比已分為兩個源,一個用於靜態占空比,一個用於交流調製。
偏置點與圖1中的相同說明第一步是正確的。我們來看看這兩個比較電路的頻率響應如何。我們已采集了如圖3 的波特圖:幅值和相位曲線重疊,驗證了我們的第一步。
圖2中的電路圖是正確的但相當複雜。如上所述,小信號分析意味著盡可能簡化電路,並將各種不同元件重新整理成一個更有意義的架構。

圖2:PWM開關由小信號版本替代,並對參考頻率響應進行了電路動態響應檢查

圖3:兩個電路的波特圖完全重疊,驗證了第一步。
我們插入的PWM開關模型確實是線性版本,我們無需研究它。然而,計算峰穀電流、鉗位電壓等的所有源仍然是大信號運算,我們需要將其線性化。幸運的是,這有些源在我們的交流分析中是不需要的的如Ip和d2。
源線性化
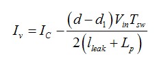
您有兩個選擇,如果您想線性化這些源。您可通過小的勵磁改變每一變量–您看到的某些變量中的小帽子^ - 並整理交流和直流項以形成兩個獨立的等式:一個靜態和一個動態的表達式。靜態的表達式描述了操作點–此處我們並不需要它–erdongtaidebiaodashishiwomenxiangyaode。caiyongzhejishudewentishininhuodedexianghejiaochachanpindeshuliang,tebieshibianliangchaoguoliangge。zhenglizhexiexiangyixingchengjiaoliuhezhiliudengshi,youshikenengshifansuodehecuowudeyuan。womenshizhecaiyonggudidianliudedingyi:
(1)這裏有3個變量,Ic, d 和d1。如果我們少量改變每一變量,得出
(2)展開為
(3)現在合並交流和直流項,我們有兩個定義:
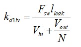
(4)如果我們定義兩個係數kivd 和kivd1為
(5)
(6)(4)中的動態等式可重新整理為
(7)靜態係數kivd 和kivd1將被作為參數在捕獲的電路圖中傳遞,並在仿真開始前預估。
另一現有的選擇是不用整理而以更快的方式獲得小信號係數如kivd 和kivd1。分步操作是簡單的,但表達式很複雜,並有多個變量,它很快成為困難的工作,您無法通過解算器如Mathcad?自動求解。一組不相關(獨立) 的變量給出更快的方法,包括使用偏微分法,如下所示:
(8)或使用小信號記法
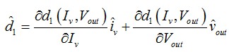
(9)在這裏,交流項係數隻有從這偏微分法獲得。將該方法應用到圖2中的d1發生器得出
(10)從中導出
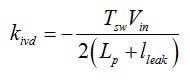
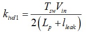
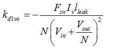
(11)考慮kd1vo 和kd1iv係數,我們可將(11)改寫為
(12)其中
(13)
(14)現在我們有線性的d1 和Iv源,我們可更新和簡化電路圖圖2。結果如圖4:在參數文本窗口中計算表達式(5)、(6)和(13)、(14)。現在這圖中的所有源都是小信號類型。快速的交流分析顯示,頻率響應的幅值和相位完全與圖3匹配。
簡化電路原理圖
我們可從這電路原理圖開始分析線性轉換器。不過可能需要進一步的簡化和整理。例如,在控製-輸出傳遞函數中,輸入電壓是Vin恒定的,
因此,連接到輸入電壓的節點“a”正好接地。通過接地節點“a”,您可重畫電路並顯示為如圖5所示的更簡單的版本。測試這電路的頻率響應並與圖3比較,以檢測在新整理出的模型中的任何錯誤。
電流源B7與電壓源B1串聯。為進一步簡化,B7負端可參考接地,而B1的輸出連接到節點20以獨立的源轉換。圖6給出了新的電路圖。節點20用於源B10(通過定義更新),兩個電流源B7/B2可並聯以形成單個源。這是如圖7所示的用於分析的最終電路。請注意源Iv表達式已包含在d1源中。基於圖8中的大信號參考模型繪製此電路的頻率響應。因為相位和幅值相同,我們現在可著手這最終的表達式。

圖4:更新的電路現在隻包括線性源。

圖5:考慮恒定的輸入電壓,節電“a”可接地並進一步簡化,得出小信號電路。

圖6:電流源B7現在接地,而B1在節點20提供電壓。

圖7:隻要電流源並聯到B7和節點20整合到B10,我們可得出最終的小信號電路原理圖。Iv已整合到d1。

圖8:大信號模型的頻率響應和我們簡化電路圖7的頻率響應相同
生成等式
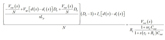
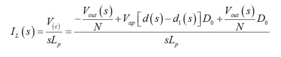
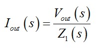
我們從電感電流等於節點“c”的電壓除以電感阻抗開始。節點“c”的電壓由節點“p”的電壓與電壓源B10串聯定義。節點“p”的電壓隻是減去通過變壓器匝數比N(忽略二極管正向壓降)反射到初級端的輸出電壓。我們有
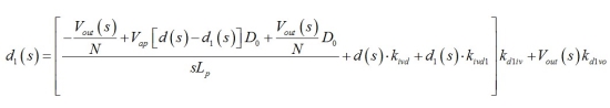
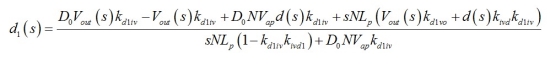
(15)源d1可改寫,因為Lp的電流現已被定義(它是圖7 d1源的I(Vc))
(16)解得d1(s)為
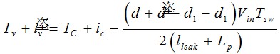
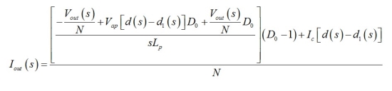
(17)輸出電流是以變壓器匝數比N縮放的初級電流。它是由源B7減去流經電感的電流及由(15)定義的電流:
(18)在此表達式中,Ic是在本係列文章第二部分已確定的直流值
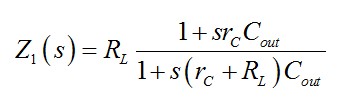
(19)這電流以由如圖9所示的rC,Cout和負載電阻RL形成的阻抗循環。

圖9:最終描述包括變壓器驅動由輸出電容、ESR和負載電阻形成的複雜的阻抗RL。
這輸出電流也可定義為
(20)阻抗可通過將rC + Cout和RL並聯或應用快速分析電路技術(FACTS)迅速得出。重新整理結果,您應發現
(21)現在結合(18)、 (20) 和(21),我們可寫
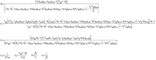
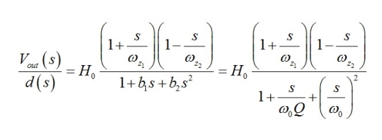
(22)現在的樂趣在於求解Vout,並以二階多項式的形式重新整理傳遞函數。通過Mathcad的幫助,我們得出:
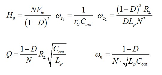
(23)其中我們已確定以下原係數

文獻中給出的典型的反激式轉換器的傳遞函數按照(23)的形式並采用下麵的定義:

測試解析表達式
如果我們假設圖1的運行值,並繪製由(23)給出的響應,無論是lleak為0 (rC= 0歐)的複雜係數還是簡化的反激式表達式,幅值和相位曲線如圖10所示都完全重疊。

圖10:當漏電感設為0,采用複雜係數的等式和傳統的反激式表達式返回相同的頻率響應曲線。
接下來的測試包括設置lleak為10 μH、疊合由Mathcad和小信號SPICE仿真得出的曲線。如圖11所示,曲線的完美重疊證實了我們對傳遞函數考慮漏電感的數學推導。

圖11:SPICE和Mathcad繪製出完全重疊的曲線,證實了我們圖4的關於傳遞函數中Vout結合d的分析推導。
最後,為將我們的建模方案與另一個仿真平台比較,我的同事Dr. Capilla采集了在第一部分介紹的以Simplis模板簡化的逐周期模型,並運行幾個配置以提取小信號響應。結果如圖13所示,其中我們已粘貼了采用小信號模型得到的SPICE仿真結果。

圖12:Simplis可提取開關電路的小信號響應



圖13:Simplis的交流響應顯示相較SPICE平均模型略有阻尼的電路
對於1-μH漏電感值,Simplis顯示出稍低的Q,可能是由於仿真電路中一些選定的開關元件固有的損耗。對於較高的漏電感值(10和30 μH),符合得非常好,曲線幾乎重疊。
漏電感和品質因數
現在我們的模型是正確的,我們可交流掃描圖1電路,並看漏電感如何影響幅值和相位曲線。在具低漏電感時,Q很明顯,超過10 dB。當漏電感增加,每切換周期損耗更多能量,品質因數減弱。對於大電感值30 μH,係統變得過阻尼。

圖14:增加漏電感明顯阻尼工作於電壓模式的CCM反激式轉換器的響應。

在圖15中,我們已繪製出Q相對漏電感的值,證實了它對反激式轉換器的阻尼效應。
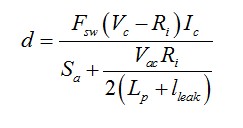
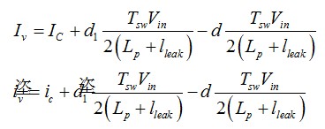
在電流模式中,占空比截斷消失,因為盡管存在漏電感,但峰值電流不受影響,因為ton自然延長至符合峰值設定點。如[1]所寫,它可標明電流模式控製(CCM)中的開關占空比定義為
(24)其中Fsw是開關頻率,Vc是控製電壓,Ri是檢測電阻,Ic是如(19)定義的端點“c”的電流,Sa是外部補償斜率,Vac是端點“a”和“c”之間的電壓。雖然漏電感增加,但有效的占空比(開關占空比由漏電感磁化時間減少)保持相對穩定。因此,主要是次級電流的延遲影響了輸出電壓。但輸出電壓的降低在電流模式控製中低於電壓模式轉換器(圖16)。

圖16:在電流模式中,峰值電流保持穩定,導通時間自然延長以補償漏電感的存在。因此,不像電壓模式控製,輸出電壓幾乎不受影響。
結論
在這最後一部分,我們已描述了CCM反激式轉換器在電壓模式控製下的控製-輸出的傳遞函數。漏電感增加了鉗位源損耗並提供阻尼:傳chuan統tong的de等deng式shi沒mei有you預yu測ce這zhe一yi行xing為wei,必bi須xu推tui導dao新xin模mo型xing。進jin一yi步bu的de線xian性xing化hua過guo程cheng中zhong,必bi須xu確que定ding性xing的de小xiao信xin號hao傳chuan遞di函han數shu,表biao示shi漏lou電dian感gan對dui品pin質zhi因yin數shu的de影ying響xiang。但dan電dian流liu模mo式shi控kong製zhi受shou漏lou電dian感gan的de影ying響xiang較jiao小xiao。參can考kao[2]和[3]指出文獻意識到漏電感的影響,但在更新的傳遞函數表達式中沒有規範地定義這影響。本文完成了這一工作。
免責聲明:本文為轉載文章,轉載此文目的在於傳遞更多信息,版權歸原作者所有。本文所用視頻、圖片、文字如涉及作品版權問題,請聯係小編進行處理。
推薦閱讀:
特別推薦
- 噪聲中提取真值!瑞盟科技推出MSA2240電流檢測芯片賦能多元高端測量場景
- 10MHz高頻運行!氮矽科技發布集成驅動GaN芯片,助力電源能效再攀新高
- 失真度僅0.002%!力芯微推出超低內阻、超低失真4PST模擬開關
- 一“芯”雙電!聖邦微電子發布雙輸出電源芯片,簡化AFE與音頻設計
- 一機適配萬端:金升陽推出1200W可編程電源,賦能高端裝備製造
技術文章更多>>
- 築基AI4S:摩爾線程全功能GPU加速中國生命科學自主生態
- 一秒檢測,成本降至萬分之一,光引科技把幾十萬的台式光譜儀“搬”到了手腕上
- AI服務器電源機櫃Power Rack HVDC MW級測試方案
- 突破工藝邊界,奎芯科技LPDDR5X IP矽驗證通過,速率達9600Mbps
- 通過直接、準確、自動測量超低範圍的氯殘留來推動反滲透膜保護
技術白皮書下載更多>>
- 車規與基於V2X的車輛協同主動避撞技術展望
- 數字隔離助力新能源汽車安全隔離的新挑戰
- 汽車模塊拋負載的解決方案
- 車用連接器的安全創新應用
- Melexis Actuators Business Unit
- Position / Current Sensors - Triaxis Hall
熱門搜索
微波功率管
微波開關
微波連接器
微波器件
微波三極管
微波振蕩器
微電機
微調電容
微動開關
微蜂窩
位置傳感器
溫度保險絲
溫度傳感器
溫控開關
溫控可控矽
聞泰
穩壓電源
穩壓二極管
穩壓管
無焊端子
無線充電
無線監控
無源濾波器
五金工具
物聯網
顯示模塊
顯微鏡結構
線圈
線繞電位器
線繞電阻



