存在互感的電感串並聯
發布時間:2021-02-05 來源:卓晴 責任編輯:wenwei
【導讀】電感器是電路中常見的重要元器件,常用在信號濾波、電能轉換、信(xin)號(hao)耦(ou)合(he)以(yi)及(ji)磁(ci)場(chang)檢(jian)測(ce)等(deng)。它(ta)利(li)用(yong)電(dian)磁(ci)感(gan)應(ying)原(yuan)理(li)對(dui)流(liu)過(guo)的(de)電(dian)流(liu)的(de)變(bian)化(hua)產(chan)生(sheng)感(gan)應(ying)電(dian)動(dong)勢(shi),兩(liang)端(duan)的(de)電(dian)壓(ya)與(yu)電(dian)流(liu)的(de)變(bian)化(hua)率(lv)成(cheng)正(zheng)比(bi),其(qi)中(zhong)的(de)比(bi)率(lv)就(jiu)是(shi)電(dian)感(gan)的(de)重(zhong)要(yao)參(can)數(shu):電感量,通常記作L。

以電感為中心的RLC串聯電路
電感器是電路中常見的重要元器件,常用在信號濾波、電能轉換、信(xin)號(hao)耦(ou)合(he)以(yi)及(ji)磁(ci)場(chang)檢(jian)測(ce)等(deng)。它(ta)利(li)用(yong)電(dian)磁(ci)感(gan)應(ying)原(yuan)理(li)對(dui)流(liu)過(guo)的(de)電(dian)流(liu)的(de)變(bian)化(hua)產(chan)生(sheng)感(gan)應(ying)電(dian)動(dong)勢(shi),兩(liang)端(duan)的(de)電(dian)壓(ya)與(yu)電(dian)流(liu)的(de)變(bian)化(hua)率(lv)成(cheng)正(zheng)比(bi),其(qi)中(zhong)的(de)比(bi)率(lv)就(jiu)是(shi)電(dian)感(gan)的(de)重(zhong)要(yao)參(can)數(shu):電感量,通常記作L。
簡單電感的串並聯
與電阻、電容以上,電感也可以通過串聯、並聯形成新的電感。計算串聯、並聯電感的值與電阻的串並聯的計算公式基本一致。多個電感串聯的電感量等於各個電感的電感值相加;多個電感並聯的電感量等於各並聯電感的電感的的倒數之和再取倒數。

電感串聯

電感並聯
與(yu)電(dian)阻(zu)不(bu)同(tong)的(de)是(shi),電(dian)感(gan)之(zhi)間(jian)有(you)可(ke)能(neng)會(hui)出(chu)現(xian)相(xiang)互(hu)的(de)電(dian)磁(ci)耦(ou)合(he)的(de)關(guan)係(xi),特(te)別(bie)是(shi)對(dui)於(yu)空(kong)心(xin)電(dian)感(gan),磁(ci)場(chang)會(hui)存(cun)在(zai)電(dian)感(gan)周(zhou)圍(wei)很(hen)大(da)的(de)空(kong)間(jian)內(nei)。如(ru)果(guo)兩(liang)個(ge)電(dian)感(gan)之(zhi)間(jian)的(de)距(ju)離(li)很(hen)近(jin),方(fang)向(xiang)又(you)一(yi)致(zhi),就(jiu)很(hen)容(rong)易(yi)電(dian)磁(ci)耦(ou)合(he),度(du)量(liang)兩(liang)個(ge)線圈之間電磁耦合程度通常使用互感(Mutual Inductance)來度量,它表征了一個線圈中的電流變化在另外一個線圈中所產生感應電動勢的大小。
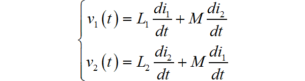
對於有互感的M兩個線圈L1,L2,可以列寫出它們之間的等效電路:

兩個有互感的線圈等效電路

根據產生感應電動勢的極性,可以定義出兩個互感線圈之間的“ 同銘端”,根據極性與參考電壓方向是否相同,可以分為同相互感和反相互感。
對於之間有互感的電感的串聯、並聯之後電感的計算就變得複雜了。在網絡文章 Mutually coupled inductors. Coupling coefficient. Power and energyof mutually coupled inductors. Analysis of circuits with mutuallycoupled inductor.[1] 中,給出了互感線圈的串、並聯計算基本方法。
有互感電感的串聯
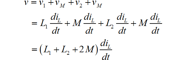
兩個線圈 之間存在著互感 ,當它們同相串聯的時候,對應的電感量為:

兩個電感同相串聯
可以可跟KVL定理,列寫出串聯支路電壓方程,可以證明該公式:

如果是反相串聯的時候,按照相同的方式,可以證明對應的等效電感量為:

兩個電感線圈反相串聯
根據這個公式,可以來測量兩個線圈之間的互感量M。也就是通過分別測量L1,L2,然後在分別測量他們同相和反相串聯後的電感,便可以計算出它們之間的互感M。
有互感電感並聯
當兩個有互感M的線圈L1,L2並聯時,對應的等效電感分別為:
(1) 同相並聯

帶有互感的線圈並聯
左:同相並聯;右:反相並聯 (2) 反相並聯
公式的證明過程稍微複雜,可以參見前麵 論文中的求解過程。[1]
從上麵公式可以看到,當互感量M等於0時,它們就退化成最初的簡單電感的串並聯計算公式了。
互感線圈等效變換
存在互感電路往往會使得電路分析變得複雜。將兩個互感的線圈使用T型電路進行等效變換可以簡化電路分析。下麵給出了通過互感耦合在一起的電路等效變換。

同相互感等效變換
等效轉換後的電路消除了互感,之後的電路分析可以使用基爾霍夫電壓、電流定理(KCL&KVL)進行分析。
免責聲明:本文為轉載文章,轉載此文目的在於傳遞更多信息,版權歸原作者所有。本文所用視頻、圖片、文字如涉及作品版權問題,請聯係小編進行處理。
推薦閱讀:
特別推薦
- 噪聲中提取真值!瑞盟科技推出MSA2240電流檢測芯片賦能多元高端測量場景
- 10MHz高頻運行!氮矽科技發布集成驅動GaN芯片,助力電源能效再攀新高
- 失真度僅0.002%!力芯微推出超低內阻、超低失真4PST模擬開關
- 一“芯”雙電!聖邦微電子發布雙輸出電源芯片,簡化AFE與音頻設計
- 一機適配萬端:金升陽推出1200W可編程電源,賦能高端裝備製造
技術文章更多>>
- 貿澤EIT係列新一期,探索AI如何重塑日常科技與用戶體驗
- 算力爆發遇上電源革新,大聯大世平集團攜手晶豐明源線上研討會解鎖應用落地
- 創新不止,創芯不已:第六屆ICDIA創芯展8月南京盛大啟幕!
- AI時代,為什麼存儲基礎設施的可靠性決定數據中心的經濟效益
- 築基AI4S:摩爾線程全功能GPU加速中國生命科學自主生態
技術白皮書下載更多>>
- 車規與基於V2X的車輛協同主動避撞技術展望
- 數字隔離助力新能源汽車安全隔離的新挑戰
- 汽車模塊拋負載的解決方案
- 車用連接器的安全創新應用
- Melexis Actuators Business Unit
- Position / Current Sensors - Triaxis Hall
熱門搜索



