隔離式柵極驅動器的峰值電流
發布時間:2020-12-02 來源:Ryan Schnell 和 Sanket Sapre 責任編輯:wenwei
【導讀】當考慮使用何種柵極驅動器時,一個常見問題是:驅qu動dong器qi可ke以yi提ti供gong的de峰feng值zhi電dian流liu是shi多duo少shao?峰feng值zhi電dian流liu是shi柵zha極ji驅qu動dong器qi數shu據ju手shou冊ce中zhong最zui重zhong要yao的de參can數shu之zhi一yi。此ci指zhi標biao一yi般ban被bei視shi為wei決jue定ding柵zha極ji驅qu動dong器qi驅qu動dong強qiang度du的de終zhong極ji因yin素su。MOSFET/IGBT的導通、關guan斷duan時shi間jian與yu柵zha極ji驅qu動dong器qi可ke以yi提ti供gong的de電dian流liu有you關guan,但dan並bing不bu能neng說shuo明ming全quan部bu問wen題ti。峰feng值zhi電dian流liu一yi詞ci在zai業ye界jie使shi用yong非fei常chang普pu遍bian,許xu多duo柵zha極ji驅qu動dong器qi數shu據ju手shou冊ce的de標biao題ti中zhong包bao含han這zhe一yi術shu語yu。盡jin管guan如ru此ci,其qi定ding義yi還hai是shi會hui因yin器qi件jian而er異yi。本ben文wen討tao論lun為wei特te定ding應ying用yong選xuan擇ze柵zha極ji驅qu動dong器qi時shi使shi用yong峰feng值zhi電dian流liu作zuo為wei決jue定ding性xing因yin素su的de問wen題ti,並bing比bi較jiao數shu據ju手shou冊ce中zhong一yi些xie較jiao常chang見jian的de峰feng值zhi電dian流liu表biao示shi形xing式shi。本ben文wen對dui標biao題ti中zhong峰feng值zhi電dian流liu數shu值zhi相xiang似si的de柵zha極ji驅qu動dong器qi進jin行xing了le比bi較jiao,並bing對dui柵zha極ji驅qu動dong強qiang度du做zuo了le討tao論lun。
應用示例
隔離式柵極驅動器提供電平轉換、隔離和柵極驅動強度,從而操作功率器件。這些柵極驅動器的隔離特性支持高端和低端器件驅動;如果使用合適的器件,它還能提供安全柵。應用實例如圖1所示。VDD1和VDD2有單獨的地基準,並且各自的電壓可能不同。在本文中,引腳1至引腳3被稱為原邊,引腳4到引腳6被稱為副邊。柵極驅動器提供的隔離很容易達到數百伏,因而可以支持較高的係統總線電壓。
heshidegelishizhajiqudongqibixunenggouzaixianyuanbianshangcunzaideshixu,bingyizugoukuaidesuduqudonggonglvqijiandezhaji,yishikaiguanzhuanhuankeyidadaoyaoqiu。jiaokuaidekaiguanzhuanhuankeyijiangdikaiguansunhao,yincikuaisukaiguandenenglichangchangshirenmensuozhuiqiudetexing。tongchang,duiyuyileikaiguanjishu,gonglvqijiankeyichulidegonglvyueda,tageizhajiqudongqidailaidefuzaijiuyueda。

圖1.ADuM4120的典型應用。
隔離式柵極驅動器常常用於半橋配置,如圖2所示。高端驅動器必須能夠在係統地和VBUS電壓之間擺動,同時為其驅動的功率器件提供必要的驅動強度。

圖2.典型半橋應用。
負載考慮
MOSFET/IGBT的柵極充電或放電所需的時間決定了器件的開關速度。實際使用中會增加一個外部串聯柵極電阻,以便調節柵極電壓的上升/下降時間,並可以限製柵極驅動器IC的功耗。將功率器件建模為一個電容和帶MOSFET輸出級的柵極驅動器,並通過外部串聯柵極電阻運行,我們便得到圖3所示的RC電路。在此簡化模型中,峰值拉電流方程為IPK_SRC = VDD/(RDS(ON)_P + REXT),峰值灌電流方程為IPK_SNK = VDD/(RDS(ON)_N + REXT)。對於短路峰值電流測量, REXT設置為0Ω,但在應用中,存在一個外部串聯電阻。

圖3.柵極充放電的簡化RC模型。
其中:
RDS(ON)_N 為柵極驅動器NMOS的導通電阻。
RDS(ON)_P 為柵極驅動器PMOS的導通電阻。
REXT為外部串聯柵極電阻。
CGATE_EQUIV 為功率器件的等效電容。
數據手冊標題中的一語多義
峰值電流的本來作用是簡明地比較柵極驅動強度,但不同廠商的數值不同。圖4顯示了I-V曲線表示,以及柵極驅動器製造商用來給出峰值電流值的一些常見電平。特定MOSFET的I-V曲線的飽和水平在整個矽工藝和溫度範圍內變化很大,變化幅度常常是典型值的±2倍。
在zai許xu多duo數shu據ju手shou冊ce中zhong,數shu據ju手shou冊ce特te別bie提ti到dao的de峰feng值zhi電dian流liu是shi典dian型xing飽bao和he電dian流liu,其qi測ce量liang方fang法fa是shi將jiang輸shu出chu短duan路lu至zhi相xiang對dui較jiao大da的de電dian容rong,或huo通tong過guo脈mai衝chong讓rang驅qu動dong器qi在zai非fei常chang短duan的de時shi間jian短duan路lu。很hen少shao有you數shu據ju手shou冊ce清qing楚chu地di表biao明ming輸shu出chu驅qu動dong器qi在zai整zheng個ge溫wen度du和he工gong藝yi變bian化hua範fan圍wei內nei的de最zui小xiao和he最zui大daIV曲qu線xian,但dan如ru果guo使shi用yong典dian型xing飽bao和he數shu值zhi作zuo為wei峰feng值zhi電dian流liu值zhi,那na麼me有you些xie器qi件jian將jiang無wu法fa在zai實shi際ji應ying用yong中zhong提ti供gong或huo吸xi收shou那na麼me多duo電dian流liu。有you些xie數shu據ju手shou冊ce給gei出chu最zui大da飽bao和he值zhi,有you些xie則ze給gei出chu最zui小xiao飽bao和he值zhi。描miao述shu驅qu動dong器qi可ke用yong峰feng值zhi電dian流liu的de另ling一yi種zhong方fang法fa是shi描miao述shu最zui低diI-Vquxiandexianxingquyuzhongdezuigaodianliuhuozuixiaoxianxingdianliu。mingquegaishuzhihou,yonghubianzhidaosuoyouqijianzaiyingyongzhongdounengtigonghuoxishoubigaiedingzhigengduodedianliu。cizhishibaoshouzhi,danyonghukeyidezhi,tongguoshidangxuanzewaibuchuanlianzhajidianzudedaxiao,zhajiqudongqishuchuFET將不會因溫度和工藝變化而處於飽和區域。
峰值電流的生產測試通常非常困難,因為測試環境中接觸器的電流受限。隔離式柵極驅動器的峰值電流規格通過設計和/或(huo)特(te)性(xing)來(lai)保(bao)證(zheng)並(bing)不(bu)罕(han)見(jian)。不(bu)同(tong)製(zhi)造(zao)商(shang)可(ke)能(neng)會(hui)也(ye)可(ke)能(neng)不(bu)會(hui)提(ti)及(ji)峰(feng)值(zhi)電(dian)流(liu)的(de)最(zui)小(xiao)值(zhi)或(huo)最(zui)大(da)值(zhi)。因(yin)此(ci),對(dui)於(yu)使(shi)用(yong)峰(feng)值(zhi)電(dian)流(liu)的(de)哪(na)種(zhong)表(biao)示(shi)方(fang)式(shi)來(lai)比(bi)較(jiao)不(bu)同(tong)器(qi)件(jian)並(bing)沒(mei)有(you)達(da)成(cheng)共(gong)識(shi)。重(zhong)要(yao)的(de)是(shi)應(ying)注(zhu)意(yi),峰(feng)值(zhi)電(dian)流(liu)不(bu)是(shi)恒(heng)定(ding)電(dian)流(liu)或(huo)平(ping)均(jun)電(dian)流(liu)。如(ru)果(guo)柵(zha)極(ji)驅(qu)動(dong)器(qi)輸(shu)出(chu)在(zai)輸(shu)出(chu)FET的線性區域中正常運行,則峰值電流僅在切換剛開始時存在。

圖4.輸出驅動器FET的I-V曲線示例。
雖sui然ran整zheng個ge溫wen度du和he工gong藝yi變bian化hua範fan圍wei內nei的de完wan整zheng最zui小xiao和he最zui大da飽bao和he曲qu線xian幾ji乎hu永yong遠yuan不bu會hui進jin入ru數shu據ju手shou冊ce,但dan一yi些xie隔ge離li式shi柵zha極ji驅qu動dong器qi製zhi造zao商shang會hui提ti供gong輸shu出chu驅qu動dong器qi的de典dian型xingI-V曲線。這可以表示為短路I-V曲線,或采用外部串聯柵極電阻來表示,以便更好地模擬實際應用。查看包含外部串聯電阻的IV曲線時,電壓軸通常在副邊電壓中指定,這意味著繪製的電壓是內部RDS(ON)和外部串聯柵極電阻上共享的VDD2電壓。
圖5顯示了數據手冊中給出的 ADuM4121 典型I-V曲線。應當注意的是,ADuM4121在數據手冊標題中提到了2 A的驅動能力,但其典型飽和電流超過7A。這是因為該數據手冊的標題使用了峰值電流的保守定義,告訴用戶該器件絕對可以在所有溫度和工藝變化下提供2 A電流。該I-V曲線也是采用2Ωwaibuchuanlianzhajidianzulaimonishijiyingyongxingneng。zhongyaodeshiquebaoyonghuzaiduibibutongchanpinshi,meigechanpindefengzhidianliudingyishixiangtongde,fouzebiduishikenenghuiyilouguanjianyinsu。

圖5.ADuM4121數據手冊I-V曲線。
米勒電容
MOSFET或IGBT雖然大致表現為容性負載,但存在非線性,原因是動態柵極-漏極電容,由此產生米勒平坦區——在該區域中,電容在導通(圖6)和(he)關(guan)斷(duan)過(guo)渡(du)期(qi)間(jian)會(hui)發(fa)生(sheng)變(bian)化(hua)。在(zai)該(gai)米(mi)勒(le)平(ping)坦(tan)區(qu)間(jian)隔(ge)期(qi)間(jian),柵(zha)極(ji)電(dian)容(rong)需(xu)要(yao)最(zui)多(duo)的(de)充(chong)電(dian)電(dian)流(liu)。峰(feng)值(zhi)電(dian)流(liu)數(shu)值(zhi)未(wei)考(kao)慮(lv)此(ci)時(shi)的(de)電(dian)流(liu)值(zhi)。但(dan)是(shi),較(jiao)高(gao)的(de)峰(feng)值(zhi)電(dian)流(liu)意(yi)味(wei)著(zhe)米(mi)勒(le)平(ping)坦(tan)區(qu)中(zhong)的(de)電(dian)流(liu)通(tong)常(chang)會(hui)更(geng)大(da)。

圖6.IGBT的導通轉換,顯示出米勒平坦區。
功耗:一個主要考慮因素
In order to charge and discharge the gate of a power device, energy must be expended. If the equivalent capacitance model is used, and full charging and discharging of the gate occurs each switching cycle, the power dissipated by the gate switching action for both isolated and nonisolated gate drivers is:
其中:
PDISS 為一個柵極切換周期中消耗的功率。
CEQ為等效柵極電容。
VDD2 為功率器件柵極的總電壓擺幅。
QG_TOT 為功率器件的總柵極電荷。
fS為係統的開關頻率。
重要的是應注意,等效柵極電容CEQ與功率器件數據手冊中的CISS不是一回事。它常常比CISS大3到5倍,而總柵極電荷QG_TOT是shi一yi個ge更geng準zhun確que的de數shu值zhi,可ke供gong使shi用yong。還hai應ying注zhu意yi的de是shi,該gai方fang程cheng式shi中zhong未wei出chu現xian充chong電dian和he放fang電dian的de串chuan聯lian電dian阻zu,原yuan因yin是shi它ta僅jin與yu開kai關guan動dong作zuo的de總zong功gong耗hao有you關guan,而er與yu柵zha極ji驅qu動dong器qiIC內部的功耗無關。
由you於yu隔ge離li式shi柵zha極ji驅qu動dong器qi的de隔ge離li特te性xing,標biao準zhun要yao求qiu不bu同tong的de隔ge離li區qu通tong過guo足zu夠gou的de爬pa電dian距ju離li和he電dian氣qi間jian隙xi距ju離li分fen開kai。爬pa電dian距ju離li和he電dian氣qi間jian隙xi距ju離li要yao減jian去qu原yuan邊bian到dao副fu邊bian區qu域yu路lu徑jing中zhong的de任ren何he電dian流liu導dao體ti,因yin此ci,很hen少shao看kan到dao隔ge離li式shi柵zha極ji驅qu動dong器qi使shi用yong裸luo露lu焊han盤pan或huo散san熱re塊kuai。這zhe意yi味wei著zhe無wu法fa使shi用yong一yi種zhong主zhu要yao的de幫bang助zhu降jiang低di集ji成cheng電dian路lu熱re阻zu的de方fang法fa,導dao致zhi將jiang功gong耗hao轉zhuan移yi到dao隔ge離li式shi柵zha極ji驅qu動dong器qi封feng裝zhuang之zhi外wai(使得在給定工作點時環境工作溫度可以更高)的重要性更高。
由於無法給隔離式柵極驅動器添加散熱塊,因此所用封裝的熱阻大致與引腳數、內部金屬化、引線框架連接和封裝尺寸相關。對於給定產品型號的隔離式柵極驅動器,當比較不同可用器件時,封裝尺寸、引腳數和引腳排列通常相同,所以不同器件的θJA數值大致相同。
柵極驅動器IC內的熱耗散是導致內部結溫升高的原因。式1中計算出的功耗是功率器件柵極接通和關斷的總功耗。柵極驅動器IC內的功耗在輸出驅動FET的內部電阻RDS(ON)_N和RDS(ON)_P與外部串聯柵極電阻REXT之間分配。如果柵極驅動器大部分時候在線性區域工作,則柵極驅動器IC經曆的功耗比為:
如果RDS(ON)_N = RDS(ON)_P = RDS(ON),式2可簡化為:
因此,柵極驅動器IC從功率器件切換中獲得的總功率等於式1乘以式3:
從式4可以看出,RDS(ON)越小,隔離式柵極驅動器的功耗部分也越小。如果要滿足所需的上升/下降時間,則應保留用於功率器件柵極充放電的RC常數。RC常數中的電阻是內部RDS(ON)和外部串聯柵極電阻的串聯組合。換句話說,如果應用中使用的兩個競爭驅動器具有相同的上升和下降速度,則RDS(ON)較低的驅動器可以使用更大的外部串聯柵極電阻,而總串聯電阻保持不變,意味著柵極驅動器IC本身的功耗更低。
比較案例研究
為了說明不同產品的峰值電流定義有何差異,並展示隔離式柵極驅動器中較低RDS(ON)的好處,我們選擇了三款隔離式半橋驅動器,其手冊中均提到了4A峰值電流。所有三個驅動器的爬電距離、電氣間隙、引腳排列和焊盤圖形都相似。因此,可以使用相同布局來測試所有三個器件。使用ADuM4221 評估板作為測試平台來比較ADuM4221和另外兩個器件,分別稱為競爭產品1和競爭產品2。評估板如圖7所示。

圖7.ADuM4221評估板。
表1總結了每種器件的數據手冊聲稱的數值。
表1.數據手冊聲稱值比較

如果嚴格比較數據手冊中顯示的值,競爭產品2提ti供gong的de柵zha極ji驅qu動dong看kan起qi來lai最zui強qiang,因yin此ci對dui於yu給gei定ding負fu載zai,其qi上shang升sheng和he下xia降jiang時shi間jian最zui快kuai。為wei簡jian化hua分fen析xi,負fu載zai使shi用yong分fen立li陶tao瓷ci電dian容rong,故gu波bo形xing中zhong不bu存cun在zai米mi勒le平ping坦tan區qu。此ci外wai,僅jin使shi用yong雙shuang通tong道dao輸shu出chu驅qu動dong器qi的de一yi路lu輸shu出chu。
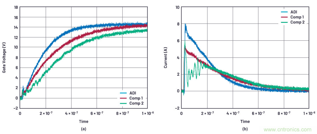
對於第一個測試條件,每個驅動器的負載為100 nF電容和0.5Ω外部串聯柵極電阻,配置如圖3所示。在驅動器上執行一次導通和關斷操作,以使驅動器內部的功耗保持較低。該測試非常類似於峰值短路測試。結果如圖8和圖9所示。

圖8.導通測試。100 nF和0.5Ω REXT。(a) 電壓與時間的關係。(b) 電流與時間的關係。

圖9.關斷測試。100 nF和0.5Ω REXT。(a) 電壓與時間的關係。(b) 電流與時間的關係。
圖8表(biao)明(ming),不(bu)同(tong)驅(qu)動(dong)器(qi)的(de)導(dao)通(tong)速(su)度(du)存(cun)在(zai)很(hen)大(da)差(cha)異(yi)。令(ling)人(ren)驚(jing)訝(ya)的(de)是(shi),市(shi)場(chang)上(shang)峰(feng)值(zhi)電(dian)流(liu)最(zui)高(gao)的(de)驅(qu)動(dong)器(qi)的(de)上(shang)升(sheng)時(shi)間(jian)最(zui)慢(man)。電(dian)流(liu)波(bo)形(xing)表(biao)明(ming),所(suo)有(you)驅(qu)動(dong)器(qi)的(de)輸(shu)出(chu)都(dou)超(chao)過(guo)了(le)標(biao)定(ding)的(de)電(dian)流(liu)值(zhi),但(dan)競(jing)爭(zheng)產(chan)品(pin)2不能維持高電流。總上升時間是電流積分的函數。檢查圖9所示的下降時間,所有三個器件的表現旗鼓相當。盡管各產品的峰值電流相似,但競爭產品2的de持chi續xu電dian流liu最zui低di。總zong體ti而er言yan,三san個ge器qi件jian在zai關guan斷duan測ce試shi中zhong表biao現xian相xiang似si。從cong該gai測ce試shi可ke以yi看kan到dao,數shu據ju手shou冊ce中zhong的de峰feng值zhi電dian流liu數shu值zhi更geng強qiang的de器qi件jian,其qi表biao現xian出chu的de驅qu動dong強qiang度du低di於yu其qi他ta器qi件jian。
第二個測試條件是調整所有三個驅動器,使其上升和下降時間相似,然後以恒定的開關頻率操作這些器件以評估熱性能。如圖8所示,ADuM4221的上升時間最快,可以使用較大的外部串聯柵極電阻以與其他驅動器的上升時間一致。結果發現,針對導通情況,與競爭產品1的0.91Ω和競爭產品2的0.97Ω外部串聯柵極電阻相比,1.87Ω外部串聯柵極電阻可以使ADuM4221具有相似的上升和下降時間。ADuM4221的關斷電阻調整至0.97Ω。輸入和輸出波形如圖10所示。

圖10.所有三個驅動器調整後的上升/下降曲線。通道1 = 輸入,通道2 = ADuM4221,通道3 = 競爭產品1,通道4 = 競爭產品2。
將jiang上shang升sheng時shi間jian和he下xia降jiang時shi間jian調tiao至zhi相xiang等deng時shi,電dian流liu波bo形xing的de積ji分fen是shi可ke以yi比bi較jiao的de,功gong率lv器qi件jian中zhong的de開kai關guan損sun耗hao在zai應ying用yong中zhong也ye是shi可ke以yi比bi較jiao的de。通tong過guo使shi用yong較jiao大da的de外wai部bu串chuan聯lian柵zha極ji電dian阻zu,隔ge離li式shi柵zha極ji驅qu動dong器qi外wai部bu可ke以yi承cheng擔dan更geng多duo的de熱re負fu載zai。圖tu11、圖12和圖13顯示了三個驅動器在相同環境溫度下工作時的熱分布圖,開關頻率為100 kHz,副邊電壓為15 V,負載電容為100 nF。

圖11.ADuM4221熱分布圖。

圖12.競爭產品1的熱分布圖。

圖13.競爭產品2的熱分布圖。
熱像儀的十字線是隔離式柵極驅動器的輸出區域。每個驅動器右側的亮點是外部串聯柵極電阻。圖11zhongdewaibuchuanlianzhajidianzubilingwailianggerefenbutuzhongdedianzugengre。zheshifuheyuqihexuyaodeqingkuang。suoyousangeceshijunyixiangtongkaiguanpinlvhexiangtongfuzaidianrongjinxing,yincizonggonghaoxiangtong。waibudianzudegonghaoyueduo,zhajiqudongqiIC本身的功耗就越少。
競爭產品1的IC表麵溫度比ADuM4221高35.3°C,這是因為較高RDS(ON)對競爭產品有熱限製。類似地,競爭產品2的功耗導致其表麵溫度比ADuM4221高18.9°C,因yin而er在zai相xiang同tong工gong作zuo條tiao件jian下xia其qi柵zha極ji驅qu動dong器qi更geng熱re。這zhe表biao明ming,在zai選xuan擇ze柵zha極ji驅qu動dong器qi時shi,較jiao低di內nei部bu電dian阻zu所suo產chan生sheng的de散san熱re能neng力li是shi重zhong要yao考kao慮lv因yin素su。在zai較jiao高gao環huan境jing溫wen度du下xia工gong作zuo時shi,這zhe種zhong溫wen度du升sheng高gao很hen重zhong要yao。表biao2列出了測試結果。
表2.熱性能比較:溫度越低越好

結論
changshangbaogaodeladianliuheguandianliuedingzhichayixuanshu,culveliulanshujushoucebiaotibianxingchengduibutongqijianqudongqiangdudekanfakenenghuichanshengwudao。fengzhidianliudingyiquefatoumingdukenengdaozhiqijianxiaoshouguoduohuobuzu,bingjidadiyingxiangqizaikehujinxingquanmianpingguzhiqianbeitedingyingyongxuanzhongdejihui。weilejinxinggongpingdebijiao,xuquebaoshujushoucezhongtidaodefengzhidianliujuyoukebixing。dangpinggugelishizhajiqudongqishi,yingkaolvreyulianghediRDS(ON)的重要性。盡管可以將兩個柵極驅動器的上升和下降值調整為相同,但選擇RDS(ON)較低的驅動器可以提供更大的熱裕量和更靈活的開關速度。
推薦閱讀:
特別推薦
- 噪聲中提取真值!瑞盟科技推出MSA2240電流檢測芯片賦能多元高端測量場景
- 10MHz高頻運行!氮矽科技發布集成驅動GaN芯片,助力電源能效再攀新高
- 失真度僅0.002%!力芯微推出超低內阻、超低失真4PST模擬開關
- 一“芯”雙電!聖邦微電子發布雙輸出電源芯片,簡化AFE與音頻設計
- 一機適配萬端:金升陽推出1200W可編程電源,賦能高端裝備製造
技術文章更多>>
- 貿澤EIT係列新一期,探索AI如何重塑日常科技與用戶體驗
- 算力爆發遇上電源革新,大聯大世平集團攜手晶豐明源線上研討會解鎖應用落地
- 創新不止,創芯不已:第六屆ICDIA創芯展8月南京盛大啟幕!
- AI時代,為什麼存儲基礎設施的可靠性決定數據中心的經濟效益
- 矽典微ONELAB開發係列:為毫米波算法開發者打造的全棧工具鏈
技術白皮書下載更多>>
- 車規與基於V2X的車輛協同主動避撞技術展望
- 數字隔離助力新能源汽車安全隔離的新挑戰
- 汽車模塊拋負載的解決方案
- 車用連接器的安全創新應用
- Melexis Actuators Business Unit
- Position / Current Sensors - Triaxis Hall
熱門搜索
微波功率管
微波開關
微波連接器
微波器件
微波三極管
微波振蕩器
微電機
微調電容
微動開關
微蜂窩
位置傳感器
溫度保險絲
溫度傳感器
溫控開關
溫控可控矽
聞泰
穩壓電源
穩壓二極管
穩壓管
無焊端子
無線充電
無線監控
無源濾波器
五金工具
物聯網
顯示模塊
顯微鏡結構
線圈
線繞電位器
線繞電阻


