如何測量低阻值器件
發布時間:2020-06-15 來源:卓晴 責任編輯:wenwei
【導讀】在博文Measuring Resistances Less Than 1Ohm[1] 中介紹了一種簡便精確測量低阻器件的方法。通常情況下,一些器件的導通電阻非常小,比如低阻值的測電流電阻、導線電阻、開關電阻、保險絲、繼電器以及點火器等等。下麵給出了一些這樣低阻值器件示例。
通常使用的萬用表(無論是指針式還是數字式)當測量低於一歐姆電阻的時候就不準確了,甚至有的萬用表對於小於10oumudedianzudushudouyouhendadetiaodong。zhezhongqingkuang,xuyaojiezhuyusixiandizuzhioumubiaolaijingqueceliang。shijishang,zhiyaonidewanyongbiaokeyijingqueceliangdaohaofuzhiliudianya,biankeyixiangdangzhunquedeceliangdizuzhidianzule。

▲ 一些低阻值的器件
01 測量方案
測量低阻器件所需要的設備:
● 可以測量V,mV和電阻的數字萬用表;
● 220歐姆的電阻,或者其它阻值相近的電阻;
● 5V穩壓電源(交流適配器,台式電源,或者7805穩壓電路)
● 0.1uF, 10uF電容,以及麵包板。
5V電源需要在測量過程中保持恒定,否則就會影響測量的精度。實際上,大部分帶有穩壓功能的電源都可以滿足要求。
● 測量時,電路需要保持穩定,沒有開關打開和閉合的動作;
● 使用不同尺寸和容量的電容來平滑工作電壓;
● 選擇22mA左右的工作電流,不要超過100mA,也不要小於5mA。
至於工作電壓本身的準確性倒是不影響測量精度,任何在4.5V~5.5V範圍內,隻要保持恒定都能夠得到不錯的測量結果。

▲ 測量低阻值器件電路示意圖
● 電源的+5V和GND連接到麵板包的頂部和底部的雙槽內;
● 上下各使用C1(0.1uF), C2(10uF)來對工作電源濾波;
● R1(220歐姆)是已知的電阻,連接在+5V和R2上;
● R2是被測低阻值電阻,連接R1至GND;
實際上上麵的電路是一個簡單的電壓分壓電路,流經R1,R2的電流相同。當測量R1,R2兩端電壓之後,便可以知道R2與R1的比值,進而可以計算出R2的阻值了。
上麵是將被測電阻R2直接插在麵包板上進行測量。可以使用鱷魚嘴夾將R2引出麵包板,並且可以測量其他器件(引線、表貼器件、點火器等)。
02 已知電阻
在前麵測量方案中,R1是已知電阻。最好選用大功率、低溫漂係數的電阻。通常情況下5%精度的電阻就可以滿足要求。
根據歐姆定律,5V電壓施加在220歐姆的電阻上,會產生0.114W(1/10W)的功率,形成熱量消耗在R1上。當R1溫度升高後,對於低溫度係數(小於±50ppm)的阻值變化小於普通電阻(溫度係數大於±100ppm)。所以,使用大功率(保證其溫度變化小),低溫度係數的穩定電阻R1是提高測量精度的關鍵。
選用1/2W的金屬膜1%精度的220歐姆,溫度係數為50ppm,或者3W,20ppm,220歐姆的繞線電阻都可以滿足測量的需求。下麵的測量實驗中,采用了及其普通的5% 1/4W,350ppm,220Ω的碳膜電阻。
在將R1插入麵包板之前,使用萬用表測量它的阻值。不要在R1插到麵包板之後再測量,這樣會使得讀數不準。

▲ 使用萬用表讀出R1的阻值
實際上,隻要讀數穩定,至於具體電阻的數值是多少並不會影響最終的測量結果。通常保證該阻值在200~240之間即可。
將測量的結果記錄下來之後,再把R1接入麵包板。
03 測量樣品
為了驗證測量電路的原理和測量過程的正確性,可以先從能夠被萬用表電阻精確測量的電阻測試起。比如可以先使用一個10歐姆的電阻作為R2進行測量。
打開5V電源,測量R1兩端電壓,比如在這裏它的讀數為4.7696V。

▲ 測量R1兩端電壓:4.7696V
由於R1比R2的阻值(10歐姆)大得多,所以在R1上的電壓比較大,應該大於4.5V。
接著,測量R2兩端電壓,這個電壓通常小於0.5V。所(suo)示(shi)選(xuan)擇(ze)萬(wan)用(yong)表(biao)直(zhi)流(liu)電(dian)壓(ya)的(de)毫(hao)伏(fu)檔(dang)來(lai)測(ce)量(liang)。如(ru)果(guo)使(shi)用(yong)普(pu)通(tong)的(de)伏(fu)特(te)檔(dang)位(wei)來(lai)測(ce)量(liang),可(ke)能(neng)所(suo)獲(huo)得(de)電(dian)壓(ya)數(shu)值(zhi)精(jing)度(du)會(hui)降(jiang)低(di)。大(da)多(duo)數(shu)數(shu)字(zi)萬(wan)用(yong)表(biao)都(dou)會(hui)包(bao)含(han)有(you)毫(hao)伏(fu)和(he)伏(fu)特(te)兩(liang)個(ge)檔(dang)位(wei)。
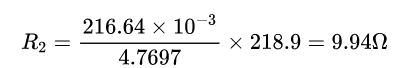
比如在下麵的測量中,R2上的電壓為216.64mV。

▲ 使用毫伏檔位測量未知電阻R2上的直流電壓
根據上麵測量結果可以計算出R2的阻值。

這個結果符合實際情況。剛才測量的R2是一個5%精度的電阻,也就是說它的阻值應該在9.5~10.5歐姆之間。

▲ 直接使用萬用表測量R2的阻值
如果直接使用萬用表的電阻檔,可以測量R2的阻值為9.9Ω,這與前麵測量的結果相當的符合。
04 測量一些常見的低阻值器件
使shi用yong上shang述shu方fang法fa對dui本ben文wen一yi開kai始shi圖tu中zhong的de低di阻zu值zhi器qi件jian進jin行xing測ce量liang。這zhe些xie低di阻zu值zhi器qi件jian中zhong有you些xie已yi經jing是shi毫hao歐ou級ji別bie的de電dian阻zu,使shi用yong萬wan用yong表biao根gen本ben無wu法fa讀du出chu有you效xiao的de阻zu值zhi。
在測量的時候,測量R2電壓的時候盡可能靠近器件管腳的根部,否則就會使得測量得到的電阻包含了器件引腳的電阻了。下麵是測量的一些結果:

可以看到所有測量結果都在實際期望阻值範圍內。
05 改進
將R1更geng換huan成cheng更geng大da功gong率lv更geng加jia穩wen定ding的de繞rao線xian電dian阻zu,可ke以yi大da大da提ti高gao測ce量liang阻zu值zhi的de數shu量liang。在zai測ce量liang過guo程cheng中zhong,保bao持chi環huan境jing溫wen度du的de穩wen定ding性xing也ye很hen重zhong要yao。比bi如ru在zai白bai天tian高gao溫wen下xia,和he晚wan上shang低di溫wen下xia測ce量liang器qi件jian的de阻zu值zhi會hui相xiang差cha1%左右。
對於碳膜電阻,具有較大的溫度係數。在不同的溫度下阻值相差較大。
為了提高測量精度,最好:
● 使用更高功率,低溫度係數的電阻作為R1;
● 在測量前,最好等待兩分鍾使得測量器件達到熱平衡,組織穩定後在進行測量。

▲ 大功率低溫度係數的繞線電阻
對於大功率、低溫度係數的電阻在通常室溫範圍內,220歐姆的阻值通常變化不超過十分之一歐姆。
參考資料
[1] Measuring Resistances Less Than 1Ohm: https://www.robotroom.com/Measuring-Low-Resistances.html
推薦閱讀:
特別推薦
- 噪聲中提取真值!瑞盟科技推出MSA2240電流檢測芯片賦能多元高端測量場景
- 10MHz高頻運行!氮矽科技發布集成驅動GaN芯片,助力電源能效再攀新高
- 失真度僅0.002%!力芯微推出超低內阻、超低失真4PST模擬開關
- 一“芯”雙電!聖邦微電子發布雙輸出電源芯片,簡化AFE與音頻設計
- 一機適配萬端:金升陽推出1200W可編程電源,賦能高端裝備製造
技術文章更多>>
- 一秒檢測,成本降至萬分之一,光引科技把幾十萬的台式光譜儀“搬”到了手腕上
- AI服務器電源機櫃Power Rack HVDC MW級測試方案
- 突破工藝邊界,奎芯科技LPDDR5X IP矽驗證通過,速率達9600Mbps
- 通過直接、準確、自動測量超低範圍的氯殘留來推動反滲透膜保護
- 從技術研發到規模量產:恩智浦第三代成像雷達平台,賦能下一代自動駕駛!
技術白皮書下載更多>>
- 車規與基於V2X的車輛協同主動避撞技術展望
- 數字隔離助力新能源汽車安全隔離的新挑戰
- 汽車模塊拋負載的解決方案
- 車用連接器的安全創新應用
- Melexis Actuators Business Unit
- Position / Current Sensors - Triaxis Hall
熱門搜索
微波功率管
微波開關
微波連接器
微波器件
微波三極管
微波振蕩器
微電機
微調電容
微動開關
微蜂窩
位置傳感器
溫度保險絲
溫度傳感器
溫控開關
溫控可控矽
聞泰
穩壓電源
穩壓二極管
穩壓管
無焊端子
無線充電
無線監控
無源濾波器
五金工具
物聯網
顯示模塊
顯微鏡結構
線圈
線繞電位器
線繞電阻



