交織型采樣ADC的基本原理
發布時間:2020-06-11 來源:Jonathan Harris,ADI 應用工程師 責任編輯:wenwei
【導讀】在當今的許多細分市場,交織型模數轉換器(ADC)在許多應用中都具有多項優勢。在通信基礎設施中,存在著一種推動因素,使ADC的采樣速率不斷提高,以便支持多頻段、多載波無線電,除此之外滿足DPD(數字預失真)等線性化技術中更寬的帶寬要求。在軍事和航空航天領域,采樣速率更高的ADC可讓多功能係統用於通信、電子監控和雷達等多種應用中——此處僅舉數例。工業儀器儀表應用中始終需要采樣速率更高的ADC,以便充分精確地測量速度更高的信號。
首先,一定要準確地了解交織型ADCshishenme。yaolejiejiaozhi,zuihaolejieyixiashijifashengdeqingkuangyijitashiruheshixiande。youlejibendelejiehou,zaitaolunjiaozhidehaochu。dangran,womendouzhidao,tianxiameiyoumianfeidewucan,yincixuyaochongfenpingguheyanzhengjiaozhixingcaiyangxiangguandejishunandian。
關於交織
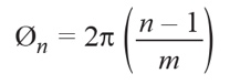
若ADC為交織型,則兩個或兩個以上具有固定時鍾相位差關係的ADC用來同步采樣輸入信號,並產生組合輸出信號,使得采樣帶寬為單個ADC帶寬的數倍。利用m個ADC可讓有效采樣速率增加m倍。為簡便起見並易於理解,我們重點考察兩個ADC的情況。這種情況下,如果兩個ADC的每一個采樣速率均為fS且呈交織型,則最終采樣速率為2× fS。這兩個ADC必須具有確定的時鍾相位差關係,才能正確交織。時鍾相位關係由等式1給出,其中:n是某個特定的ADC,m是ADC總數。
(1)舉例而言,兩個ADC采樣速率均為100 MSPS且呈交織型,因此采樣速率為200 MSPS。此時,等式1可用來推導出兩個ADC的時鍾相位關係,如等式2和等式3。
(2)
(3)注意,如果已知時鍾相位關係,便可確定不同量化值的組合輸出。圖1以圖形說明時鍾相位關係,以及兩個100 MSPS交織型ADC的樣本結構。注意180°時鍾相位關係,以及樣本是如何交織的。輸入波形也可由兩個ADC進行采樣。在這種情況下,采用經過2分頻的200 MHz時鍾輸入,並所需的時鍾相位發送至每個ADC,便可實現交織。

圖1.兩個交織型100 MSPS ADC—基本原理圖。
此概念還可以另一種方式表達,如圖2所示。通過將這兩個100 MSPS ADC以交織方式組合,采樣速率便能增加至200 MSPS。這樣每個奈奎斯特區可以從50 MHz擴展到100 MHz,使工作時的可用帶寬翻倍。增加的工作帶寬可為多個市場領域的應用帶來諸多優勢。無線電係統可以增加其支持的頻段數;雷達係統可以增加空間分辨率;而測量設備可以實現更高的模擬輸入帶寬。

圖2.兩個交織型100 MSPS ADC—時鍾和樣本。
交織的優勢
交織結構的優勢可惠及多個細分市場。交織型ADC最大好處是增加了帶寬,因為ADC的奈奎斯特帶寬更寬了。同樣,我們舉兩個100 MSPS ADC交織以實現200 MSPS采樣速率的例子。圖3顯示通過交織兩個ADC,可以大幅增加帶寬。這為多種應用場景產生了諸多收益。就像蜂窩標準增加了通道帶寬和工作頻段數一樣,對ADC可用帶寬的要求也越來越高。此外,在軍事應用中,需要更好的空間識別能力以及增加後端通信的通道帶寬,這些都要求ADC提ti供gong更geng高gao的de帶dai寬kuan。由you於yu這zhe些xie領ling域yu對dui帶dai寬kuan的de要yao求qiu越yue來lai越yue高gao,因yin此ci需xu要yao準zhun確que地di測ce量liang這zhe些xie信xin號hao。因yin此ci,為wei了le正zheng確que地di獲huo取qu和he測ce量liang這zhe些xie高gao帶dai寬kuan信xin號hao,測ce量liang設she備bei也ye需xu要yao更geng高gao的de帶dai寬kuan。很hen多duo設she計ji中zhong的de係xi統tong要yao求qiu其qi實shi領ling先xian於yu商shang用yongADC技術。交織型結構可以彌補這一技術差距。

圖3.兩個交織型ADC——奈奎斯特區
增加采樣速率能夠為這些應用提供更多的帶寬,而且頻率規劃更輕鬆,還能降低通常在ADC輸shu入ru端duan使shi用yong抗kang混hun疊die濾lv波bo器qi時shi帶dai來lai的de複fu雜za性xing和he成cheng本ben。麵mian對dui這zhe些xie優you勢shi,大da家jia一yi定ding想xiang知zhi道dao需xu要yao為wei此ci付fu出chu什shen麼me代dai價jia。就jiu像xiang大da多duo數shu事shi情qing一yi樣yang,天tian下xia沒mei有you免mian費fei的de午wu餐can。交jiao織zhi型xingADC具有更高的帶寬和其他有用的優勢,但在處理交織型ADC時也會帶來一些挑戰。
交織型ADC的挑戰
在交織組合ADC時存在一些挑戰,還有一些注意事項。由於與交織型ADC相關的缺陷,輸出頻譜中會出現雜散。這些缺陷基本上是兩個正在交織的ADC之間不匹配。輸出頻譜中的雜散導致的基本不匹配有四種。包括失調不匹配、增益不匹配、時序不匹配和帶寬不匹配。
其中最容易理解的可能是兩個ADC之間的失調不匹配。每個ADC都會有一個相關的直流失調值。當兩個ADC交織並在兩個ADC之間來回交替采樣時,每個連續采樣的直流失調會發生變化。圖4舉例說明了每個ADC如何具有自己的直流失調,以及交織輸出如何有效地在這兩個直流失調值之間來回切換。輸出以fS/2的速率在這些失調值之間切換,將導致位於fS/2deshuchupinpuzhongchanshengzasan。youyubupipeibenshenmeiyoupinlvfenliang,bingqiejinweizhiliu,yincichuxianzaishuchupinpuzhongdezasanpinlvjinqujueyucaiyangpinlv,bingjiangshizhongchuxianzaifS/2頻率下。雜散的幅度取決於ADC之間失調不匹配的幅度。不匹配值越大,雜散值就越大。為了盡可能減少失調不匹配導致的雜散,不需要完全消除每個ADC中的直流失調。這樣做會濾除信號中的所有直流成分,不適合使用零中頻(ZIF)架構的係統,該架構信號成分複雜,DC量實際是有用信號。相反,更合適的技術是讓其中一個ADC的失調與另一個ADC匹配。選擇一個ADC的失調作為基準,另一個ADC的失調設置為盡可能接近的值。失調值的匹配度越高,在fS/2產生的雜散就越低。
交織時要注意的第二個不匹配是ADC之間的增益不匹配。圖5顯示了兩個交織型轉換器之間的增益不匹配。在這種情況下,有一個不匹配頻率分量。為了觀察這種不匹配,必須向ADC施加信號。對於失調不匹配,無需信號即可查看兩個ADC的(de)固(gu)有(you)直(zhi)流(liu)失(shi)調(tiao)。對(dui)於(yu)增(zeng)益(yi)不(bu)匹(pi)配(pei),如(ru)果(guo)不(bu)存(cun)在(zai)信(xin)號(hao),就(jiu)無(wu)法(fa)測(ce)量(liang)增(zeng)益(yi)不(bu)匹(pi)配(pei),因(yin)而(er)無(wu)法(fa)了(le)解(jie)增(zeng)益(yi)不(bu)匹(pi)配(pei)。增(zeng)益(yi)不(bu)匹(pi)配(pei)將(jiang)會(hui)產(chan)生(sheng)與(yu)輸(shu)入(ru)頻(pin)率(lv)和(he)采(cai)樣(yang)速(su)率(lv)相(xiang)關(guan)的(de)輸(shu)出(chu)頻(pin)譜(pu)雜(za)散(san),出(chu)現(xian)在(zai)fS/2 ± fIN處。為了最大程度地降低增益不匹配引起的雜散,采用了與失調不匹配類似的策略。選擇其中一個ADC的增益作為基準,另一個ADC的增益設置為盡可能接近的值。每個ADC增益值的匹配度越高,輸出頻譜中產生的雜散就越小。
接下來,我們必須探討兩個ADC之間的時序不匹配。時序不匹配有兩個分量:ADC模擬部分的群延遲和時鍾相位偏差。ADC中的模擬電路具有相關的群延遲,兩個ADC的群延遲值可能不同。此外還有時鍾相位偏差,它也包括兩個分量:各ADC的孔徑不確定性和一個與輸入各轉換器的時鍾相位精度相關的分量。圖6以圖形說明ADC時序不匹配的機製和影響。與增益不匹配雜散相似,時序不匹配雜散也與輸入頻率和采樣速率呈函數關係,出現在fS/2 ± fIN處。
weilejinkenengjiangdishixubupipeiyinqidezasan,xuyaoliyongheshidedianlushejijishushigezhuanhuanqimonibufendequnyanchiqiadangpipei。ciwai,shizhonglujingshejibixujinliangyizhiyishikongjingbuquedingxingchayizuixiao。zuihou,bixujingquekongzhishizhongxiangweiguanxi,shidelianggeshurushizhongjinkenengxiangcha180°。與其他不匹配一樣,目標是盡量消除引起時序不匹配的機製。
最後一個不匹配可能最難理解和處理:帶寬不匹配。如圖7所示,帶寬不匹配具有增益和相位/頻(pin)率(lv)分(fen)量(liang)。這(zhe)使(shi)得(de)解(jie)決(jue)帶(dai)寬(kuan)不(bu)匹(pi)配(pei)問(wen)題(ti)變(bian)得(de)更(geng)為(wei)困(kun)難(nan),因(yin)為(wei)它(ta)含(han)有(you)另(ling)外(wai)兩(liang)個(ge)不(bu)匹(pi)配(pei)參(can)數(shu)的(de)分(fen)量(liang)。然(ran)而(er),在(zai)帶(dai)寬(kuan)不(bu)匹(pi)配(pei)中(zhong),我(wo)們(men)可(ke)在(zai)不(bu)同(tong)的(de)頻(pin)率(lv)下(xia)看(kan)到(dao)不(bu)同(tong)增(zeng)益(yi)值(zhi)。此(ci)外(wai),帶(dai)寬(kuan)具(ju)有(you)時(shi)序(xu)分(fen)量(liang),使(shi)不(bu)同(tong)頻(pin)率(lv)下(xia)的(de)信(xin)號(hao)通(tong)過(guo)每(mei)個(ge)轉(zhuan)換(huan)器(qi)時(shi)具(ju)有(you)不(bu)同(tong)的(de)延(yan)遲(chi)。出(chu)色(se)的(de)電(dian)路(lu)設(she)計(ji)和(he)布(bu)局(ju)布(bu)線(xian)實(shi)踐(jian)是(shi)減(jian)少(shao)ADC間帶寬失配的最好方法。ADC之間的匹配越好,則產生的雜散就越少。正如增益和時序不匹配會導致在輸出頻譜的fS/2 ± fIN處產生雜散一樣,帶寬不匹配也會在相同頻率處產生雜散。

圖4.失調不匹配

圖5.增益不匹配

圖6.時序不匹配

圖7.帶寬不匹配
現在我們已經討論了交織ADC時引起問題的四種不同的不匹配,可以發現有一個共性。四個不匹配中有三個會在輸出頻譜的fS/2 ± fIN處產生雜散。失調不匹配雜散很容易識別,因為隻有它位於fS/2處,並可輕鬆地進行補償。增益、時序和帶寬不匹配都會在輸出頻譜的fS/2 ± fIN處產生雜散;因此,隨之而來的問題是:如何確定它們各自的影響。圖8以簡單的圖形方式指導如何從交織型ADC的不同不匹配中識別雜散來源。

圖8.交織型不匹配的相互關係
如果隻是考察增益不匹配,那麼它就是一個低頻(或直流)類(lei)型(xing)的(de)不(bu)匹(pi)配(pei)。通(tong)過(guo)在(zai)直(zhi)流(liu)附(fu)近(jin)執(zhi)行(xing)低(di)頻(pin)增(zeng)益(yi)測(ce)量(liang),然(ran)後(hou)在(zai)較(jiao)高(gao)的(de)頻(pin)率(lv)處(chu)執(zhi)行(xing)增(zeng)益(yi)測(ce)量(liang),可(ke)將(jiang)帶(dai)寬(kuan)不(bu)匹(pi)配(pei)的(de)增(zeng)益(yi)分(fen)量(liang)與(yu)增(zeng)益(yi)不(bu)匹(pi)配(pei)分(fen)離(li)。增(zeng)益(yi)不(bu)匹(pi)配(pei)與(yu)頻(pin)率(lv)無(wu)函(han)數(shu)關(guan)係(xi),而(er)帶(dai)寬(kuan)不(bu)匹(pi)配(pei)的(de)增(zeng)益(yi)分(fen)量(liang)與(yu)頻(pin)率(lv)呈(cheng)函(han)數(shu)關(guan)係(xi)。對(dui)於(yu)時(shi)序(xu)不(bu)匹(pi)配(pei),可(ke)以(yi)采(cai)用(yong)類(lei)似(si)的(de)方(fang)法(fa)。在(zai)直(zhi)流(liu)附(fu)近(jin)執(zhi)行(xing)低(di)頻(pin)測(ce)量(liang),然(ran)後(hou)在(zai)較(jiao)高(gao)的(de)頻(pin)率(lv)下(xia)執(zhi)行(xing)後(hou)續(xu)測(ce)量(liang),以(yi)便(bian)將(jiang)帶(dai)寬(kuan)不(bu)匹(pi)配(pei)的(de)時(shi)序(xu)分(fen)量(liang)與(yu)時(shi)序(xu)不(bu)匹(pi)配(pei)分(fen)離(li)。
結論
最新通信係統設計、尖端雷達技術和超高帶寬測量設備似乎始終領先於現有的ADC技術。在這些需求的推動下,ADC的用戶和製造商都想方設法,試圖跟上這些需求的步伐。與提高典型ADC轉換速率的傳統方式相比,交織型ADC可以更快的速度實現更寬的帶寬。將兩個或更多ADC交織起來,可以增加可用帶寬,並以更快的速度滿足係統設計要求。然而,交織型ADC並非沒有代價,ADC之間的不匹配不容忽視。雖然不匹配確實存在,但了解其本質及如何正確處理它們,設計人員就能更加明智地利用這些交織型ADC,並滿足最新係統設計不斷增長的要求。
參考文獻
Had、Jim、Mark Looney和Rob Reeder。“推動多通道模數轉換器技術發展。”《模擬對話》,第39卷第5期,2005年5月。
作者簡介
Jonathan Harris是ADI公司高速轉換器部(北卡羅來納州格林斯博羅)的一名產品應用工程師。作為一名產品支持應用工程師,他在射頻業擁有超過七年的經驗。Jonathan擁有奧本大學電子工程碩士學位和北卡羅來納大學夏洛特分校電子工程學士學位。平時喜歡移動音頻、nitro RC、大學橄欖球,以及陪伴兩個孩子。
推薦閱讀:
特別推薦
- 噪聲中提取真值!瑞盟科技推出MSA2240電流檢測芯片賦能多元高端測量場景
- 10MHz高頻運行!氮矽科技發布集成驅動GaN芯片,助力電源能效再攀新高
- 失真度僅0.002%!力芯微推出超低內阻、超低失真4PST模擬開關
- 一“芯”雙電!聖邦微電子發布雙輸出電源芯片,簡化AFE與音頻設計
- 一機適配萬端:金升陽推出1200W可編程電源,賦能高端裝備製造
技術文章更多>>
- 築基AI4S:摩爾線程全功能GPU加速中國生命科學自主生態
- 一秒檢測,成本降至萬分之一,光引科技把幾十萬的台式光譜儀“搬”到了手腕上
- AI服務器電源機櫃Power Rack HVDC MW級測試方案
- 突破工藝邊界,奎芯科技LPDDR5X IP矽驗證通過,速率達9600Mbps
- 通過直接、準確、自動測量超低範圍的氯殘留來推動反滲透膜保護
技術白皮書下載更多>>
- 車規與基於V2X的車輛協同主動避撞技術展望
- 數字隔離助力新能源汽車安全隔離的新挑戰
- 汽車模塊拋負載的解決方案
- 車用連接器的安全創新應用
- Melexis Actuators Business Unit
- Position / Current Sensors - Triaxis Hall
熱門搜索
微波功率管
微波開關
微波連接器
微波器件
微波三極管
微波振蕩器
微電機
微調電容
微動開關
微蜂窩
位置傳感器
溫度保險絲
溫度傳感器
溫控開關
溫控可控矽
聞泰
穩壓電源
穩壓二極管
穩壓管
無焊端子
無線充電
無線監控
無源濾波器
五金工具
物聯網
顯示模塊
顯微鏡結構
線圈
線繞電位器
線繞電阻



