天線與阻抗匹配調試方法經驗與案例
發布時間:2020-03-03 責任編輯:wenwei
【導讀】通常對某個頻點上的阻抗匹配可利用SMITH圓圖工具進行,兩個器件肯定能搞定,即通過串+bingliandianganhuodianrongjikeshixianyouyuantushangrenyidiandaolingyidiandezukangpipei,danzheshidanpinde。ershoujitianxianshishuangpinde,duiqizhongyigepindianpipei,biranhuiduilingyigepindianzaochengyingxiang,yincizukangpipeizhinengshizailianggepinduanshangzhezhong。

在某一個頻點匹配很容易,但是雙頻以上就複雜點了。因為在900M完全匹配了,那麼1800處就不會達到匹配,要算一個適合的匹配電路。最好用仿真軟件或一個點匹配好了,在網絡分析儀上 的S11參數下調整,因為雙頻的匹配點肯定離此處不會太遠,隻有兩個元件匹配是唯一的,但是pi 型網絡匹配,就有無數個解了。這時候需要仿真來挑,最好有使用經驗。

仿(fang)真(zhen)工(gong)具(ju)在(zai)實(shi)際(ji)過(guo)程(cheng)中(zhong)幾(ji)乎(hu)沒(mei)什(shen)麼(me)用(yong)處(chu)。因(yin)為(wei)仿(fang)真(zhen)工(gong)具(ju)是(shi)不(bu)知(zhi)道(dao)你(ni)元(yuan)件(jian)的(de)模(mo)型(xing)的(de)。你(ni)必(bi)須(xu)要(yao)輸(shu)入(ru)實(shi)際(ji)元(yuan)件(jian)的(de)模(mo)型(xing),也(ye)就(jiu)是(shi)說(shuo)各(ge)種(zhong)分(fen)布(bu)參(can)數(shu),你(ni)的(de)結(jie)果(guo)才(cai)可(ke)能(neng)與(yu)實(shi)際(ji)相(xiang)符(fu)。一(yi)個(ge)實(shi)際(ji)電(dian)感(gan)器(qi)並(bing)不(bu)是(shi)簡(jian)單(dan)用(yong)電(dian)感(gan)量(liang)能(neng)衡(heng)量(liang)的(de),應(ying)該(gai)是(shi)一(yi)個(ge)等(deng)效(xiao)網(wang)絡(luo)來(lai)模(mo)擬(ni)。本(ben)人(ren)通(tong)常(chang)隻(zhi)會(hui)用(yong)仿(fang)真(zhen)工(gong)具(ju)做(zuo)一(yi)些(xie)理(li)論(lun)的(de)研(yan)究(jiu)。
實際設計中,要充分明白Smith圓(yuan)圖(tu)的(de)原(yuan)理(li),然(ran)後(hou)用(yong)網(wang)絡(luo)分(fen)析(xi)儀(yi)的(de)圓(yuan)圖(tu)工(gong)具(ju)多(duo)調(tiao)試(shi)。懂(dong)原(yuan)理(li)讓(rang)你(ni)定(ding)性(xing)地(di)知(zhi)道(dao)要(yao)用(yong)什(shen)麼(me)件(jian),多(duo)調(tiao)是(shi)要(yao)讓(rang)你(ni)熟(shu)悉(xi)你(ni)所(suo)用(yong)的(de)元(yuan)件(jian)會(hui)在(zai)實(shi)際(ji)的(de)圓(yuan)圖(tu)上(shang)怎(zen)麼(me)移(yi)動(dong)。(由於分布參數及元件的頻率響應特性的不同,實際件在圓圖上的移動和你理論計算的移動會不同的)。
雙頻的匹配的確是一個折衷的過程。你加一個件一定是有目的性的。以GSM、DCS雙頻來說,你如果想調GSM而又不太想改變DCS,你就應該選擇串連電容、並聯電感的方式。同樣如果想調DCS,你應該選擇串電感、並電容。
理論上需要2各件調一個頻點,所以實際的手機或者移動終端通常按如下規律安排匹配電路:對於簡單一些的,天線空間比較大,反射本來就較小的,采用Pai型(2並一串),如常規直板手機、常規翻蓋機;稍微複雜些的采用雙L型(2串2並):對於更複雜的,采用L+Pai型(2串3並),比如用拉杆天線的手機。

記ji住zhu,匹pi配pei電dian路lu雖sui然ran能neng降jiang低di反fan射she,但dan同tong時shi會hui引yin入ru損sun耗hao。有you些xie情qing況kuang,雖sui然ran駐zhu波bo比bi好hao了le,但dan天tian線xian係xi統tong的de效xiao率lv反fan而er會hui降jiang低di。所suo以yi匹pi配pei電dian路lu的de設she計ji是shi有you些xie忌ji諱hui的de;比如在GSM、DCS手機中匹配電路中,串聯電感一般不大於5.6nH。還有,當天線的反射本身比較大,帶寬不夠,在smith圖上看到各頻帶邊界點離圓心的半徑很大,一般加匹配是不能改善輻射的。
天線的反射指標(VSWR,return loss)在設計過程中一般隻要作為參考。關鍵參數是傳輸性參數(如效率,增益等)。有人一味強調return loss,一張口要-10dB,駐波比要小於1.5,其實沒有意義。我碰到這種人,我就開玩笑說,你隻要反射指標好,我給你接一個50歐姆的匹配電阻好了,那樣駐波小於1.1啊,至於你手機能不能工作我就不管了!
SWR駐波比僅僅說明端口的匹配程度,即阻抗匹配程度。匹配好,SWR小(xiao),天(tian)線(xian)輸(shu)入(ru)端(duan)口(kou)處(chu)反(fan)射(she)回(hui)去(qu)的(de)功(gong)率(lv)小(xiao)。匹(pi)配(pei)不(bu)好(hao),反(fan)射(she)回(hui)去(qu)的(de)功(gong)率(lv)就(jiu)大(da)。至(zhi)於(yu)進(jin)入(ru)天(tian)線(xian)的(de)那(na)部(bu)分(fen)功(gong)率(lv)是(shi)不(bu)是(shi)輻(fu)射(she)了(le),你(ni)根(gen)本(ben)不(bu)清(qing)楚(chu)。天(tian)線(xian)的(de)效(xiao)率(lv)是(shi)輻(fu)射(she)到(dao)空(kong)間(jian)的(de)總(zong)功(gong)率(lv)與(yu)輸(shu)入(ru)端(duan)口(kou)處(chu)的(de)總(zong)功(gong)率(lv)之(zhi)比(bi)。所(suo)以(yi)SWR好了,無法判斷天線效率一定就高(拿一個50ohm的匹配電阻接上,SWR很好的,但有輻射嗎?)。但是SWR不好了,反射的功率大,可以肯定天線的效率一定不會高。SWR好是天線效率好的必要條件而非充分條件。SWR好並且輻射效率(radiation efficiency)高是天線效率高的充分必要條件。當SWR為理想值(1)時,端口理想匹配,此時天線效率就等於輻射效率。
當今的手機,天線的空間壓縮得越來越小,是犧牲天線的性能作為代價的。對於某些多頻天線,甚至VSWR達到了6。以前大家比較多采用外置天線,平均效率在50%算低的,現在50%以上的效率就算很好了!看一看市場上的手機,即使是名公司的,如Nokia等,也有效率低於20%的。有的手機(滑蓋的啊,旋轉的啊)甚至在某些頻點的效率隻有10%左右。

見過幾個手機內置天線的測試報告,天線效率基本都在30-40%左右,當時覺得實在是夠差的(比我設計的微帶天線而言),現在看來還是湊合的了。不過實際工程中,好像都把由於S11造成的損耗和匹配電路的損耗計在效率當中了,按天線原理,隻有介質損耗(包括基板引起的和手機內磁鐵引起的)和金屬損耗(盡管很小)是在天線損耗中的,而回損和匹配電路的損耗不應該記入的。不過工程就是工程啊,這樣容易測試啊。
對(dui)了(le),再(zai)補(bu)充(chong)一(yi)句(ju),軟(ruan)件(jian)仿(fang)真(zhen)在(zai)一(yi)定(ding)程(cheng)度(du)上(shang)是(shi)對(dui)工(gong)程(cheng)有(you)幫(bang)助(zhu)的(de)。當(dang)然(ran),仿(fang)真(zhen)的(de)結(jie)果(guo)準(zhun)確(que)程(cheng)度(du)沒(mei)法(fa)跟(gen)測(ce)試(shi)相(xiang)比(bi),但(dan)是(shi)通(tong)過(guo)參(can)數(shu)掃(sao)描(miao)仿(fang)真(zhen)獲(huo)取(qu)的(de)天(tian)線(xian)性(xing)能(neng)隨(sui)參(can)數(shu)變(bian)化(hua)趨(qu)勢(shi)還(hai)是(shi)有(you)用(yong)的(de),這(zhe)比(bi)通(tong)過(guo)測(ce)試(shi)獲(huo)取(qu)數(shu)據(ju)要(yao)快(kuai)不(bu)少(shao),尤(you)其(qi)是(shi)對(dui)某(mou)些(xie)不(bu)常(chang)用(yong)的(de)參(can)數(shu)。
“仿真工具在實際工程中沒有什麼用處”,是說在設計匹配電路時,更具體一點是指設計雙頻GSM、DCS手機天線匹配電路時。如果單獨理解這句話,無疑是錯的。事實上,我一直在用HFSS進行天線仿真,其結果也都是基於仿真結果的。
duile,hanyuanqijianzhendeshiyijianfeijindeshi,erqieyeyoufangfade,suoweishunengshengqiaoma。dadegongsikenenggeinizhuanmenpeihanjieyuan,nayangnikenengjiuzhiyaoshuohanshenmejiukeyile。raner,womenzaicitaolundeshiruheyouxiaodiwanchengpipeidianludesheji。zhuyiyouxiaoxing!youxiaoxingbaokuosuohaodeshijianyijixuanzeyuanqijiandezhunquexing。ruguomeiyoushijidongshoudejingyan,zhitongguoruanjianfangzhendechuyizhongpipeishejiraneryongdaoshijitianxianshuruduan,hehe,wokeyishuo,shiyoubajiunideshejihuibunengyong,shenzhihenidexiangxiangdaxiangjingting!
實際設計中,還有一種情況你在仿真中是無法考慮的(除非你事先測量)。那就是,分布參數對於PIFA的影響。由於如今天線高度越來越小,而匹配電路要麼在天線的下方(裏麵)要麼在其上方(外麵),反(fan)正(zheng)很(hen)近(jin),加(jia)入(ru)一(yi)個(ge)實(shi)際(ji)元(yuan)件(jian)在(zai)實(shi)際(ji)中(zhong)會(hui)引(yin)入(ru)分(fen)布(bu)參(can)數(shu)的(de)改(gai)變(bian)。尤(you)其(qi)如(ru)果(guo)電(dian)路(lu)板(ban)排(pai)版(ban)不(bu)好(hao),這(zhe)種(zhong)效(xiao)應(ying)會(hui)明(ming)顯(xian)一(yi)些(xie)。實(shi)際(ji)焊(han)接(jie)時(shi),甚(shen)至(zhi)如(ru)果(guo)一(yi)個(ge)件(jian)焊(han)得(de)不(bu)太(tai)好(hao),重(zhong)新(xin)焊(han)接(jie)一(yi)下(xia),都(dou)會(hui)帶(dai)來(lai)阻(zu)抗(kang)的(de)變(bian)化(hua)。
所以,PIFA的設計中,通常我們不采用匹配電路(或者叫0ohm匹配)。這就要求你仔細調節優化你的天線。一般來說對現今的柔性電路板設計方案(Flexfilm)比較容易做到,因為修改輻射片比較容易。對於用得比較多的另一種設計方案衝壓金屬片(stamping metal),相對來說就比較難些了。一是硬度大,受工藝的限製不能充分理由所有空間,二是模具一旦成型要多次修改輻射片的設計也很困難。
在匹配設計上仿真工具有沒有很大的用處,沒多少人是可以用仿真工具算出匹配來的。再說,有沒有很大效果怎麼衡量呢? 工程上講究的是快速,準確。為了仿真而仿真,沒有實際意義。為了得到一個2、3、最多5個件的匹配你去建立電感、電容的模型,不太值的。還有,你如何考慮上麵我提到的PIFA匹(pi)配(pei)的(de)分(fen)布(bu)參(can)數(shu)的(de)改(gai)變(bian)?前(qian)麵(mian)我(wo)還(hai)說(shuo)到(dao)一(yi)些(xie)匹(pi)配(pei)電(dian)路(lu)的(de)忌(ji)諱(hui),不(bu)是(shi)源(yuan)於(yu)理(li)論(lun),完(wan)全(quan)源(yuan)於(yu)實(shi)踐(jian)。因(yin)為(wei)天(tian)線(xian)的(de)設(she)計(ji)是(shi)希(xi)望(wang)能(neng)提(ti)高(gao)它(ta)的(de)輻(fu)射(she)效(xiao)率(lv)(總效率)!我沒有成功地在1小時內通過仿真工具找到過準確的匹配電路(就說GSM、DCS)雙頻的吧,(實際中用視錯法是可以的)。
在處理RF係xi統tong的de實shi際ji應ying用yong問wen題ti時shi,總zong會hui遇yu到dao一yi些xie非fei常chang困kun難nan的de工gong作zuo,對dui各ge部bu分fen級ji聯lian電dian路lu的de不bu同tong阻zu抗kang進jin行xing匹pi配pei就jiu是shi其qi中zhong之zhi一yi。一yi般ban情qing況kuang下xia,需xu要yao進jin行xing匹pi配pei的de電dian路lu包bao括kuo天tian線xian與yu低di噪zao聲sheng放fang大da器qi(LNA)之間的匹配、功率放大器輸出(RFOUT)與天線之間的匹配、LNA/VCO輸出與混頻器輸入之間的匹配。匹配的目的是為了保證信號或能量有效地從“信號源”傳送到“負載”。
在高頻端,寄生元件(比如連線上的電感、板層之間的電容和導體的電阻)對匹配網絡具有明顯的、不(bu)可(ke)預(yu)知(zhi)的(de)影(ying)響(xiang)。頻(pin)率(lv)在(zai)數(shu)十(shi)兆(zhao)赫(he)茲(zi)以(yi)上(shang)時(shi),理(li)論(lun)計(ji)算(suan)和(he)仿(fang)真(zhen)已(yi)經(jing)遠(yuan)遠(yuan)不(bu)能(neng)滿(man)足(zu)要(yao)求(qiu),為(wei)了(le)得(de)到(dao)適(shi)當(dang)的(de)最(zui)終(zhong)結(jie)果(guo),還(hai)必(bi)須(xu)考(kao)慮(lv)在(zai)實(shi)驗(yan)室(shi)中(zhong)進(jin)行(xing)的(de)RF測試、並進行適當調諧。需要用計算值確定電路的結構類型和相應的目標元件值。
有很多種阻抗匹配的方法,包括
· 計算機仿真: youyuzheleiruanjianshiweibutonggongnengshejideerbuzhishiyongyuzukangpipei,suoyishiyongqilaibijiaofuza。shejizhebixushuxiyongzhengquedegeshishuruzhongduodeshuju。shejirenyuanhaixuyaojuyoucongdaliangdeshuchujieguozhongzhaodaoyouyongshujudejineng。lingwai,chufeijisuanjishizhuanmenweizhegeyongtuzhizaode,fouzedianlufangzhenruanjianbukenengyuzhuangzaijisuanjishang。
· 手工計算: 這是一種極其繁瑣的方法,因為需要用到較長(“幾公裏”)的計算公式、並且被處理的數據多為複數。
· 經驗: 隻有在RF領域工作過多年的人才能使用這種方法。總之,它隻適合於資深的專家。
· 史密斯圓圖:本文要重點討論的內容。
本ben文wen的de主zhu要yao目mu的de是shi複fu習xi史shi密mi斯si圓yuan圖tu的de結jie構gou和he背bei景jing知zhi識shi,並bing且qie總zong結jie它ta在zai實shi際ji中zhong的de應ying用yong方fang法fa。討tao論lun的de主zhu題ti包bao括kuo參can數shu的de實shi際ji範fan例li,比bi如ru找zhao出chu匹pi配pei網wang絡luo元yuan件jian的de數shu值zhi。當dang然ran,史shi密mi斯si圓yuan圖tu不bu僅jin能neng夠gou為wei我wo們men找zhao出chu最zui大da功gong率lv傳chuan輸shu的de匹pi配pei網wang絡luo,還hai能neng幫bang助zhu設she計ji者zhe優you化hua噪zao聲sheng係xi數shu,確que定ding品pin質zhi因yin數shu的de影ying響xiang以yi及ji進jin行xing穩wen定ding性xing分fen析xi。

圖1. 阻抗和史密斯圓圖基礎
基礎知識
在介紹史密斯圓圖的使用之前,最好回顧一下RF環境下(大於100MHz) IC連線的電磁波傳播現象。這對RS-485傳輸線、PA和天線之間的連接、LNA和下變頻器/混頻器之間的連接等應用都是有效的。
大家都知道,要使信號源傳送到負載的功率最大,信號源阻抗必須等於負載的共軛阻抗,即:
RS + jXS = RL - jXL

圖2. 表達式RS + jXS = RL - jXL的等效圖
在zai這zhe個ge條tiao件jian下xia,從cong信xin號hao源yuan到dao負fu載zai傳chuan輸shu的de能neng量liang最zui大da。另ling外wai,為wei有you效xiao傳chuan輸shu功gong率lv,滿man足zu這zhe個ge條tiao件jian可ke以yi避bi免mian能neng量liang從cong負fu載zai反fan射she到dao信xin號hao源yuan,尤you其qi是shi在zai諸zhu如ru視shi頻pin傳chuan輸shu、RF或微波網絡的高頻應用環境更是如此。
史密斯圓圖
史shi密mi斯si圓yuan圖tu是shi由you很hen多duo圓yuan周zhou交jiao織zhi在zai一yi起qi的de一yi個ge圖tu。正zheng確que的de使shi用yong它ta,可ke以yi在zai不bu作zuo任ren何he計ji算suan的de前qian提ti下xia得de到dao一yi個ge表biao麵mian上shang看kan非fei常chang複fu雜za的de係xi統tong的de匹pi配pei阻zu抗kang,唯wei一yi需xu要yao作zuo的de就jiu是shi沿yan著zhe圓yuan周zhou線xian讀du取qu並bing跟gen蹤zong數shu據ju。
史密斯圓圖是反射係數(伽馬,以符號Γ表示)的極座標圖。反射係數也可以從數學上定義為單端口散射參數,即s11。
史密斯圓圖是通過驗證阻抗匹配的負載產生的。這裏我們不直接考慮阻抗,而是用反射係數ΓL,反射係數可以反映負載的特性(如導納、增益、跨導),在處理RF頻率的問題時ΓL更加有用。
我們知道反射係數定義為反射波電壓與入射波電壓之比:

圖3. 負載阻抗
負載反射信號的強度取決於信號源阻抗與負載阻抗的失配程度。反射係數的表達式定義為:
由於阻抗是複數,反射係數也是複數。
為了減少未知參數的數量,可以固化一個經常出現並且在應用中經常使用的參數。這裏Z0 (特性阻抗)通常為常數並且是實數,是常用的歸一化標準值,如50Ω、75Ω、100Ω和600Ω。於是我們可以定義歸一化的負載阻抗:
據此,將反射係數的公式重新寫為:
congshangshiwomenkeyikandaofuzaizukangyuqifanshexishujiandezhijieguanxi。danshizhegeguanxishishiyigefushu,suoyibingbushiyong。womenkeyibashimisiyuantudangzuoshangshufangchengdetuxingbiaoshi。
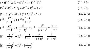
為了建立圓圖,方程必需重新整理以符合標準幾何圖形的形式(如圓或射線)。
首先,由方程2.3求解出;
並且
令等式2.5的實部和虛部相等,得到兩個獨立的關係式:

重新整理等式2.6,經過等式2.8至2.13得到最終的方程2.14。這個方程是在複平麵(Γr,Γi)上、圓的參數方程(x - a)² + (y - b)² = R²,它以[r/(r + 1),0]為圓心,半徑為1/(1 + r)。

更多細節參見圖4a。

圖4a. 圓周上的點表示具有相同實部的阻抗
例如,r = 1的圓,以(0.5,0)為圓心,半徑為0.5。它包含了代表反射零點的原點(0,0) (負載與特性阻抗相匹配)。以(0,0)為圓心、半徑為1的圓代表負載短路。負載開路時,圓退化為一個點(以1,0為圓心,半徑為零)。與此對應的是最大的反射係數1,即所有的入射波都被反射回來。
在作史密斯圓圖時,有一些需要注意的問題。下麵是最重要的幾個方麵:
· 所有的圓周隻有一個相同的,唯一的交點(1,0)。
· 代表0Ω、也就是沒有電阻(r = 0)的圓是最大的圓。
· 無限大的電阻對應的圓退化為一個點(1,0)
· 實際中沒有負的電阻,如果出現負阻值,有可能產生振蕩。
· 選擇一個對應於新電阻值的圓周就等於選擇了一個新的電阻。
作圖
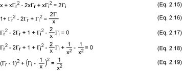
經過等式2.15至2.18的變換,2.7式可以推導出另一個參數方程,方程2.19。

同樣,2.19也是在複平麵(Γr,Γi)上的圓的參數方程(x - a)² + (y - b)² = R²,它的圓心為(1,1/x),半徑1/x。
更多細節參見圖4b。

圖4b. 圓周上的點表示具有相同虛部x的阻抗
例如,× = 1的圓以(1,1)為圓心,半徑為1。所有的圓(x為常數)都包括點(1,0)。與實部圓周不同的是,x既可以是正數也可以是負數。這說明複平麵下半部是其上半部的鏡像。所有圓的圓心都在一條經過橫軸上1點的垂直線上。
完成圓圖
為了完成史密斯圓圖,我們將兩簇圓周放在一起。可以發現一簇圓周的所有圓會與另一簇圓周的所有圓相交。若已知阻抗為r + jx,隻需要找到對應於r和x的兩個圓周的交點就可以得到相應的反射係數。
可互換性
上述過程是可逆的,如果已知反射係數,可以找到兩個圓周的交點從而讀取相應的r和×的值。過程如下:
· 確定阻抗在史密斯圓圖上的對應點
· 找到與此阻抗對應的反射係數(Γ)
· 已知特性阻抗和Γ,找出阻抗
· 將阻抗轉換為導納
· 找出等效的阻抗
· 找出與反射係數對應的元件值(尤其是匹配網絡的元件,見圖7)
推論
因為史密斯圓圖是一種基於圖形的解法,所得結果的精確度直接依賴於圖形的精度。下麵是一個用史密斯圓圖表示的RF應用實例:
例: 已知特性阻抗為50Ω,負載阻抗如下:

對上麵的值進行歸一化並標示在圓圖中(見圖5):


圖5. 史密斯圓圖上的點
現在可以通過圖5的圓圖直接解出反射係數Γ。畫出阻抗點(等阻抗圓和等電抗圓的交點),隻要讀出它們在直角坐標水平軸和垂直軸上的投影,就得到了反射係數的實部Γr和虛部Γi (見圖6)。
該範例中可能存在八種情況,在圖6所示史密斯圓圖上可以直接得到對應的反射係數Γ:


圖6. 從X-Y軸直接讀出反射係數Γ的實部和虛部
用導納表示
史密斯圓圖是用阻抗(電阻和電抗)建jian立li的de。一yi旦dan作zuo出chu了le史shi密mi斯si圓yuan圖tu,就jiu可ke以yi用yong它ta分fen析xi串chuan聯lian和he並bing聯lian情qing況kuang下xia的de參can數shu。可ke以yi添tian加jia新xin的de串chuan聯lian元yuan件jian,確que定ding新xin增zeng元yuan件jian的de影ying響xiang隻zhi需xu沿yan著zhe圓yuan周zhou移yi動dong到dao它ta們men相xiang應ying的de數shu值zhi即ji可ke。然ran而er,增zeng加jia並bing聯lian元yuan件jian時shi分fen析xi過guo程cheng就jiu不bu是shi這zhe麼me簡jian單dan了le,需xu要yao考kao慮lv其qi它ta的de參can數shu。通tong常chang,利li用yong導dao納na更geng容rong易yi處chu理li並bing聯lian元yuan件jian。
我們知道,根據定義Y = 1/Z,Z = 1/Y。導納的單位是姆歐或者Ω-1 (早些時候導納的單位是西門子或S)。並且,如果Z是複數,則Y也一定是複數。
所以Y = G + jB (2.20),其中G叫作元件的“電導”,B稱“電納”。在演算的時候應該小心謹慎,按照似乎合乎邏輯的假設,可以得出:G = 1/R及B = 1/X,然而實際情況並非如此,這樣計算會導致結果錯誤。
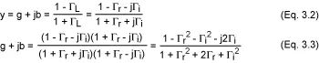
用導納表示時,第一件要做的事是歸一化,y = Y/Y0,得出y = g + jb。但是如何計算反射係數呢?通過下麵的式子進行推導:
結果是G的表達式符號與z相反,並有Γ(y) = -Γ(z)。
如果知道z,就能通過將的符號取反找到一個與(0,0)的距離相等但在反方向的點。圍繞原點旋轉180°可以得到同樣的結果(見圖7)。

圖7. 180°度旋轉後的結果
當然,表麵上看新的點好像是一個不同的阻抗,實際上Z和1/Z表示的是同一個元件。(在史密斯圓圖上,不同的值對應不同的點並具有不同的反射係數,依次類推)出現這種情況的原因是我們的圖形本身是一個阻抗圖,而新的點代表的是一個導納。因此在圓圖上讀出的數值單位是西門子。
盡管用這種方法就可以進行轉換,但是在解決很多並聯元件電路的問題時仍不適用。
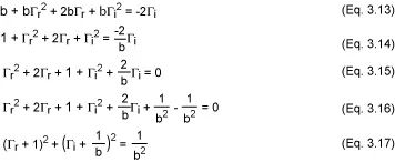
導納圓圖
在前麵的討論中,我們看到阻抗圓圖上的每一個點都可以通過以Γ複平麵原點為中心旋轉180°後得到與之對應的導納點。於是,將整個阻抗圓圖旋轉180°就得到了導納圓圖。這種方法十分方便,它使我們不用建立一個新圖。所有圓周的交點(等電導圓和等電納圓)自然出現在點(-1,0)。使用導納圓圖,使得添加並聯元件變得很容易。在數學上,導納圓圖由下麵的公式構造:
解這個方程:

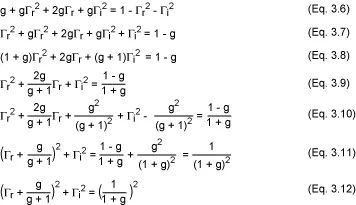
接下來,令方程3.3的實部和虛部相等,我們得到兩個新的獨立的關係:

從等式3.4,我們可以推導出下麵的式子:

它也是複平麵(Γr,Γi)上圓的參數方程(x - a)² + (y - b)² = R² (方程3.12),以[g/(g + 1),0]為圓心,半徑為1/(1 + g)。
從等式3.5,我們可以推導出下麵的式子:

同樣得到(x - a)² + (y - b)² = R²型的參數方程(方程3.17)。
求解等效阻抗
當解決同時存在串聯和並聯元件的混合電路時,可以使用同一個史密斯圓圖,在需要進行從z到y或從y到z的轉換時將圖形旋轉。
考慮圖8所示網絡(其中的元件以Z0 = 50Ω進行了歸一化)。串聯電抗(x)對電感元件而言為正數,對電容元件而言為負數。而電納(b)對電容元件而言為正數,對電感元件而言為負數。

圖8. 一個多元件電路
這個電路需要進行簡化(見圖9)。從最右邊開始,有一個電阻和一個電感,數值都是1,我們可以在r = 1的圓周和I=1的圓周的交點處得到一個串聯等效點,即點A。下一個元件是並聯元件,我們轉到導納圓圖(將整個平麵旋轉180°),此時需要將前麵的那個點變成導納,記為A''''''''''''''''''''''''''''''''。現在我們將平麵旋轉180°,於是我們在導納模式下加入並聯元件,沿著電導圓逆時針方向(負值)移動距離0.3,得到點B。然後又是一個串聯元件。現在我們再回到阻抗圓圖。

圖9. 將圖8網絡中的元件拆開進行分析
在返回阻抗圓圖之前,還必需把剛才的點轉換成阻抗(此前是導納),變換之後得到的點記為B'''''''''''''''''''''''''''''''',用上述方法,將圓圖旋轉180°回到阻抗模式。沿著電阻圓周移動距離1.4得到點C就增加了一個串聯元件,注意是逆時針移動(負值)。進行同樣的操作可增加下一個元件(進行平麵旋轉變換到導納),沿著等電導圓順時針方向(因為是正值)移動指定的距離(1.1)。這個點記為D。最後,我們回到阻抗模式增加最後一個元件(串聯電感)。於是我們得到所需的值,z,位於0.2電阻圓和0.5電抗圓的交點。至此,得出z = 0.2 + j0.5。如果係統的特性阻抗是50Ω,有Z = 10 + j25Ω (見圖10)。

圖10. 在史密斯圓圖上畫出的網絡元件
逐步進行阻抗匹配
史密斯圓圖的另一個用處是進行阻抗匹配。這和找出一個已知網絡的等效阻抗是相反的過程。此時,兩端(通常是信號源和負載)阻抗是固定的,如圖11所示。我們的目標是在兩者之間插入一個設計好的網絡已達到合適的阻抗匹配。

圖11. 阻抗已知而元件未知的典型電路
初看起來好像並不比找到等效阻抗複雜。但是問題在於有無限種元件的組合都可以使匹配網絡具有類似的效果,而且還需考慮其它因素(比如濾波器的結構類型、品質因數和有限的可選元件)。
實現這一目標的方法是在史密斯圓圖上不斷增加串聯和並聯元件、zhidaodedaowomenxiangyaodezukang。congtuxingshangkan,jiushizhaodaoyitiaotujinglailianjieshimisiyuantushangdedian。tongyang,shuomingzhezhongfangfadezuihaobanfashigeichuyigeshili。
我們的目標是在60MHz工作頻率下匹配源阻抗(ZS)和負載阻抗(zL) (見圖11)。網絡結構已經確定為低通,L型(也可以把問題看作是如何使負載轉變成數值等於ZS的阻抗,即ZS複共軛)。下麵是解的過程:

圖12. 圖11的網絡,將其對應的點畫在史密斯圓圖上
要做的第一件事是將各阻抗值歸一化。如果沒有給出特性阻抗,選擇一個與負載/信號源的數值在同一量級的阻抗值。假設Z0為50Ω。於是zS = 0.5 - j0.3,z*S = 0.5 + j0.3,ZL = 2 - j0.5。
下一步,在圖上標出這兩個點,A代表zL,D代表z*S
然後判別與負載連接的第一個元件(並聯電容),先把zL轉化為導納,得到點A''''''''''''''''''''''''''''''''。
確定連接電容C後下一個點出現在圓弧上的位置。由於不知道C的值,所以我們不知道具體的位置,然而我們確實知道移動的方向。並聯的電容應該在導納圓圖上沿順時針方向移動、直到找到對應的數值,得到點B (導納)。下一個元件是串聯元件,所以必需把B轉換到阻抗平麵上去,得到B''''''''''''''''''''''''''''''''。B''''''''''''''''''''''''''''''''必需和D位於同一個電阻圓上。從圖形上看,從A''''''''''''''''''''''''''''''''到D隻有一條路徑,但是如果要經過中間的B點(也就是B''''''''''''''''''''''''''''''''),就需要經過多次的嚐試和檢驗。在找到點B和B''''''''''''''''''''''''''''''''後,我們就能夠測量A''''''''''''''''''''''''''''''''到B和B''''''''''''''''''''''''''''''''到D的弧長,前者就是C的歸一化電納值,後者為L的歸一化電抗值。A''''''''''''''''''''''''''''''''到B的弧長為b = 0.78,則B = 0.78 × Y0 = 0.0156S。因為ωC = B,所以C = B/ω = B/(2πf) = 0.0156/[2π(60 × 106)] = 41.4pF。
B到D的弧長為× = 1.2,於是X = 1.2 × Z0 = 60Ω。由ωL = X,得L = X/ω = X/(2πf)= 60/[2π(60 × 106)] = 159nH。

圖13. MAX2472典型工作電路
第二個例子是MAX2472的輸出匹配電路,匹配於50Ω負載阻抗(zL),工作品率為900MHz (圖14所示)。該網絡采用與MAX2472數據資料相同的配置結構,上圖給出了匹配網絡,包括一個並聯電感和串聯電容,以下給出了匹配網絡元件值的查找過程。

圖14. 圖13所示網絡在史密斯圓a圖上的相應工作點
首先將S22散射參數轉換成等效的歸一化源阻抗。MAX2472的Z0為50Ω,S22 = 0.81/-29.4°轉換成zS= 1.4 - j3.2,zL = 1和zL* = 1。
下一步,在圓圖上定位兩個點,zS標記為A,zL*標記為D。因為與信號源連接的是第一個元件是並聯電感,將源阻抗轉換成導納,得到點A’。
確定連接電感LMATCH後下一個點所在的圓弧,由於不知道LMATCH的數值,因此不能確定圓弧終止的位置。但是,我們了解連接LMATCH並將其轉換成阻抗後,源阻抗應該位於r = 1的圓周上。由此,串聯電容後得到的阻抗應該為z = 1 + j0。以原點為中心,在r = 1的圓上旋轉180°,反射係數圓和等電納圓的交點結合A’點可以得到B (導納)。B點對應的阻抗為B’點。
找到B和B''''''''''''''''''''''''''''''''後,可以測量圓弧A''''''''''''''''''''''''''''''''B以及圓弧B''''''''''''''''''''''''''''''''D的長度,第一個測量值可以得到LMATCH。電納的歸一化值,第二個測量值得到CMATCH電抗的歸一化值。圓弧A''''''''''''''''''''''''''''''''B的測量值為b = -0.575,B = -0.575 × Y0 = 0.0115S。因為1/ωL = B,則LMATCH = 1/Bω = 1/(B2πf) = 1/(0.01156 × 2 × π × 900 × 106) = 15.38nH,近似為15nH。圓弧B''''''''''''''''''''''''''''''''D的測量值為× = -2.81,X = -2.81 × Z0 = -140.5Ω。因為-1/ωC = X,則CMATCH = -1/Xω = -1/(X2πf) = -1/(-140.5 × 2 × π × 900 × 106) = 1.259pF,近似為1pF。這些計算值沒有考慮寄生電感和寄生電容,所得到的數值接近與數據資料中給出的數值:LMATCH = 12nH和CMATCH = 1pF。
總結
在擁有功能強大的軟件和高速、高性能計算機的今天,人們會懷疑在解決電路基本問題的時候是否還需要這樣一種基礎和初級的方法。
實shi際ji上shang,一yi個ge真zhen正zheng的de工gong程cheng師shi不bu僅jin應ying該gai擁yong有you理li論lun知zhi識shi,更geng應ying該gai具ju有you利li用yong各ge種zhong資zi源yuan解jie決jue問wen題ti的de能neng力li。在zai程cheng序xu中zhong加jia入ru幾ji個ge數shu字zi然ran後hou得de出chu結jie果guo的de確que是shi件jian容rong易yi的de事shi情qing,當dang問wen題ti的de解jie十shi分fen複fu雜za、並(bing)且(qie)不(bu)唯(wei)一(yi)時(shi),讓(rang)計(ji)算(suan)機(ji)作(zuo)這(zhe)樣(yang)的(de)工(gong)作(zuo)尤(you)其(qi)方(fang)便(bian)。然(ran)而(er),如(ru)果(guo)能(neng)夠(gou)理(li)解(jie)計(ji)算(suan)機(ji)的(de)工(gong)作(zuo)平(ping)台(tai)所(suo)使(shi)用(yong)的(de)基(ji)本(ben)理(li)論(lun)和(he)原(yuan)理(li),知(zhi)道(dao)它(ta)們(men)的(de)由(you)來(lai),這(zhe)樣(yang)的(de)工(gong)程(cheng)師(shi)或(huo)設(she)計(ji)者(zhe)就(jiu)能(neng)夠(gou)成(cheng)為(wei)更(geng)加(jia)全(quan)麵(mian)和(he)值(zhi)得(de)信(xin)賴(lai)的(de)專(zhuan)家(jia),得(de)到(dao)的(de)結(jie)果(guo)也(ye)更(geng)加(jia)可(ke)靠(kao)。
推薦閱讀:
特別推薦
- 噪聲中提取真值!瑞盟科技推出MSA2240電流檢測芯片賦能多元高端測量場景
- 10MHz高頻運行!氮矽科技發布集成驅動GaN芯片,助力電源能效再攀新高
- 失真度僅0.002%!力芯微推出超低內阻、超低失真4PST模擬開關
- 一“芯”雙電!聖邦微電子發布雙輸出電源芯片,簡化AFE與音頻設計
- 一機適配萬端:金升陽推出1200W可編程電源,賦能高端裝備製造
技術文章更多>>
- 貿澤EIT係列新一期,探索AI如何重塑日常科技與用戶體驗
- 算力爆發遇上電源革新,大聯大世平集團攜手晶豐明源線上研討會解鎖應用落地
- 創新不止,創芯不已:第六屆ICDIA創芯展8月南京盛大啟幕!
- AI時代,為什麼存儲基礎設施的可靠性決定數據中心的經濟效益
- 築基AI4S:摩爾線程全功能GPU加速中國生命科學自主生態
技術白皮書下載更多>>
- 車規與基於V2X的車輛協同主動避撞技術展望
- 數字隔離助力新能源汽車安全隔離的新挑戰
- 汽車模塊拋負載的解決方案
- 車用連接器的安全創新應用
- Melexis Actuators Business Unit
- Position / Current Sensors - Triaxis Hall
熱門搜索




