接地電阻初步知識
發布時間:2020-02-12 來源:範 陶朱公 責任編輯:wenwei
【導讀】yongjinshuzhizaodejiedidianjizaidadizhongyuturangzhijiejiechu,erturangshiyoutudekeliyuzaiqijianxizhongcunzaideshuihekongqizucheng。jiedijiushijiangxingzhiwanquanbutongdejinshuzhidianjiyushuihekongqidehunhewujinxingkekaodedianqilianjie。zhezhongdiandelianjiebirancunzaidianzu,zhejiushijiedidianzu。
由於土壤是由不同的土壤顆粒和其間隙中存在的水和空氣組成,再則接地體的形狀、尺寸又不一,所以接地電阻有著非常複雜的性質。
一、接地電阻的定義
接地電阻包括接地電極體本身的電阻、接地電極體與土壤間的接觸電阻、接地電極體附近的土壤電阻、接地電極體至電氣設備間連接導線的電阻四者之和。
從定量的角度描述接地電阻的定義應該是“在某一電極上流入接地電流I(A),若接地電極的電位比周圍大地高出E(V)時,其電位上升值與接地電流之比E/I(Ω)即為接地電阻”。如圖1所示。

圖1 接地電阻的定義
接地電阻的定義必須要附帶以下兩個條件。
①weileshijiedidianliuliuxiangjiedidianji,bixuxingchengbihehuilu,xuyaobalianggenjiedidianjidarudadi,bingbaochizugoudejianju。dangjierudianyuanhou,jiuhuizailianggedianjizhijianliuguojiedidianliu,baqizhongyigendianjichengweifuzhudianji,rutu2所suo示shi。在zai定ding義yi接jie地di電dian阻zu時shi,輔fu助zhu電dian極ji要yao設she置zhi在zai離li主zhu接jie地di電dian極ji十shi分fen遠yuan的de地di方fang,使shi它ta對dui主zhu接jie地di電dian極ji帶dai來lai的de影ying響xiang甚shen微wei,而er將jiang其qi忽hu略lve。當dang電dian源yuan取qu直zhi流liu時shi,由you直zhi流liu電dian流liu產chan生sheng的de電dian化hua學xue現xian象xiang可ke被bei忽hu略lve。

圖2 輔助電極
②接(jie)地(di)電(dian)極(ji)的(de)電(dian)位(wei)上(shang)升(sheng)是(shi)以(yi)大(da)地(di)的(de)無(wu)限(xian)遠(yuan)方(fang)為(wei)基(ji)準(zhun)測(ce)量(liang)的(de)。所(suo)謂(wei)無(wu)限(xian)遠(yuan)方(fang)是(shi)指(zhi)即(ji)使(shi)有(you)接(jie)地(di)電(dian)流(liu),電(dian)位(wei)也(ye)不(bu)變(bian)動(dong)的(de)地(di)點(dian),即(ji)意(yi)味(wei)著(zhe)與(yu)通(tong)電(dian)前(qian)的(de)狀(zhuang)態(tai)沒(mei)有(you)變(bian)化(hua)的(de)地(di)點(dian),將(jiang)該(gai)點(dian)作(zuo)為(wei)電(dian)位(wei)基(ji)準(zhun)點(dian)。可(ke)以(yi)從(cong)電(dian)位(wei)上(shang)升(sheng)值(zhi)及(ji)接(jie)地(di)電(dian)流(liu)求(qiu)出(chu)真(zhen)正(zheng)的(de)接(jie)地(di)電(dian)阻(zu),如(ru)圖(tu)3所示。如果把測定電位的基準點靠近接地電極,基準點的電位就會因接地電流而引起(ΔV)上升,這一增量給電位上升的測定帶來誤差,進一步使接地電阻也形成誤差。

圖3 電位測定的基準點
二、接地電阻的一般性質
接地電阻由以下3個構成要素組成:
①接地線的電阻及接地電極自身的電阻;
②接地電極表麵及與其接觸的土壤之間的接觸電阻;
③電極周圍大地的電阻。
如圖4所示,這3個構成要素中①是導體,電阻非常小,不成問題。但是將鋼筋混凝土基礎樁等非金屬體作為代用電極時,必須考慮接地電極自身的電阻。②的接地電阻是電極與土壤的“適應”wenti。jiedidianjidedabufenshijinshuti,qibiaomianshiguanghuade,erturangshiweixiaodegutikeli,zheliangzhongwuzhishijishijiejindianjiechuzhuangtai,erbushimianjiechu,suoyizaijiemianshangyoujiechudianzu。ciwaihaiyoujingdiandianrongdezuoyong,youyudarudianjishidianjidezhendong、埋設時加在電極上的壓力,還有土壤種類、接地施工的場所等影響,無法用一兩句話說清楚。從接地電阻的本質來說,還是③的影響最大。③中土壤所具有的電阻是最重要的,是電極包圍的大地的電阻,叫做大地電阻,是接地電阻的主要部分。

圖4 構成接地電阻的要素
由(you)於(yu)通(tong)過(guo)大(da)地(di)電(dian)傳(chuan)導(dao)的(de)截(jie)麵(mian)積(ji)非(fei)常(chang)大(da),因(yin)此(ci)可(ke)以(yi)認(ren)為(wei)其(qi)電(dian)阻(zu)小(xiao)到(dao)可(ke)以(yi)忽(hu)略(lve)不(bu)計(ji)。當(dang)離(li)接(jie)地(di)電(dian)極(ji)相(xiang)當(dang)遠(yuan)時(shi),電(dian)流(liu)通(tong)路(lu)的(de)截(jie)麵(mian)積(ji)變(bian)得(de)非(fei)常(chang)大(da),即(ji)使(shi)土(tu)壤(rang)的(de)導(dao)電(dian)性(xing)不(bu)良(liang),電(dian)阻(zu)仍(reng)然(ran)很(hen)小(xiao)。但(dan)是(shi)在(zai)接(jie)地(di)電(dian)阻(zu)附(fu)近(jin),由(you)表(biao)麵(mian)積(ji)並(bing)不(bu)太(tai)大(da)的(de)接(jie)地(di)電(dian)極(ji)流(liu)出(chu)電(dian)流(liu),電(dian)流(liu)通(tong)路(lu)的(de)截(jie)麵(mian)積(ji)被(bei)束(shu)縛(fu),接(jie)地(di)電(dian)阻(zu)呈(cheng)現(xian)一(yi)定(ding)的(de)電(dian)阻(zu)值(zhi)。如(ru)圖(tu)5所示,接地電流從接地電極以放射形式流出,隨著遠離電極,電流通路的截麵積會增大。

圖5 電流通路的截麵積與電阻關係
當確定了某一接地電極的形狀和尺寸,該電極的接地電阻表達式為
R=ρf (1)
式中 R——接地電阻,Ω;
ρ——大地電阻率,Ω·m;
f——電極的形狀與尺寸有關的函數。
由式(1)可知,接地電阻與大地電阻率成正比,對同一形狀、同一尺寸的接地電極,大地電阻率場合不同,其接地電阻值就不同。
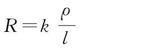
另外,函數f在電極的形狀不清楚時不能確定。在電極的形狀一定、大小如圖5所示作相似變化的場合,接地電阻可表示為

式中 k——由電極形狀確定的係數;
ρ——大地電阻率,Ω·m;
l——電極模型的特征尺寸。
l在如圖6所suo示shi是shi半ban球qiu狀zhuang電dian極ji的de半ban徑jing,代dai表biao電dian極ji邊bian緣yuan模mo型xing的de長chang度du。由you此ci,在zai大da地di電dian阻zu率lv一yi定ding的de場chang合he,若ruo形xing狀zhuang變bian化hua,接jie地di電dian阻zu會hui隨sui之zhi變bian大da變bian小xiao。這zhe在zai接jie地di電dian極ji設she計ji上shang是shi十shi分fen重zhong要yao的de,也ye是shi由you模mo型xing電dian極ji來lai對dui接jie地di電dian阻zu推tui算suan之zhi際ji起qi支zhi配pei作zuo用yong的de原yuan理li。

圖6 接地電極形狀一定而大小做相似變化的場合
三、大地電阻率
接jie地di電dian極ji的de接jie地di電dian阻zu與yu施shi工gong地di點dian的de大da地di電dian阻zu率lv成cheng一yi定ding比bi例li。大da地di電dian阻zu率lv低di的de地di點dian,易yi得de到dao低di的de接jie地di電dian阻zu,因yin而er,在zai接jie地di電dian極ji設she計ji和he施shi工gong時shi,知zhi道dao施shi工gong地di點dian的de大da地di電dian阻zu率lv是shi非fei常chang重zhong要yao的de事shi。
①土壤水分的影響 幾乎所有的土地都會含有水分,土壤因水分的多少改變其電阻率。一般情況含水分多的土壤電阻率低,圖7表示了各種物質電阻率的排列圖。相對於金屬導體來說,土壤的電阻率還是比它們高得很多。

圖7 各物質電阻率的排列圖
dangshejijiedidianjishi,dianjizishendedianzujihubuxuyaokaolv,yinweijinshudedianzulvyuzhouweidadixiangbishifeichangdide。dadidedianzulvhuisuinituleixinghuozuchengnitudehuaxuechengfendebutongerbianhua。shatudedianzulvgaoyuniantu。nitushiduyueda,daodianxingyuehao;濕shi度du越yue小xiao,導dao電dian性xing越yue小xiao。接jie地di電dian極ji周zhou圍wei大da地di的de電dian阻zu率lv會hui隨sui著zhe一yi年nian四si季ji和he溫wen度du的de變bian化hua而er變bian化hua,所suo以yi在zai非fei常chang幹gan燥zao的de地di區qu,可ke能neng要yao求qiu在zai接jie地di電dian極ji處chu采cai用yong增zeng加jia土tu壤rang濕shi度du或huo其qi他ta增zeng強qiang土tu壤rang導dao電dian性xing的de方fang法fa。
②土壤溫度的影響 對土壤電阻有很大影響的因素,除水分之外就是溫度。表1表示由溫度引起土壤電阻率的變化和變動的比率,溫度從20~-15℃變化的場合由表中可看出,同一土地中電阻率隨溫度可增加459倍,這是因水(含冰)的電阻率會由溫度引起敏銳的變化。
表1 土壤的溫度和電阻率

自然界的土壤電阻率因含水率和溫度等各種各樣因素的支配,在不斷變化。如隨天氣、季節而相應變化,一般是夏天低、冬天高。
對有關特定種類的土壤,要明確表示它的電阻率是有困難的,如說不出“黏土有多少Ω·m的電阻率”。這zhe是shi因yin為wei相xiang同tong的de黏nian土tu,因yin地di點dian和he時shi間jian不bu同tong,電dian阻zu率lv是shi不bu同tong的de,隻zhi有you實shi地di測ce量liang才cai是shi準zhun確que的de。把ba已yi知zhi長chang度du和he直zhi徑jing的de一yi根gen接jie地di棒bang打da入ru地di下xia,測ce量liang它ta的de接jie地di電dian阻zu,電dian阻zu率lv值zhi可ke按an接jie地di電dian阻zu公gong式shi進jin行xing逆ni運yun算suan得de出chu。
表2是大地按電阻率的分類,大地電阻率超過1000Ω·m是高電阻率地帶,在這樣的場所接地施工是非常困難的。
表2 大地按電阻率分類

大地一般呈層狀結構,電阻率會因地層不同而大幅變化,因而大地電阻率多數隨深度變化。大地是非常不均質的。
四、接地電阻與靜電電容的關係
接jie地di電dian阻zu與yu靜jing電dian電dian容rong間jian的de關guan係xi是shi兩liang者zhe的de相xiang似si性xing,對dui某mou一yi已yi知zhi靜jing電dian電dian容rong的de電dian極ji,如ru果guo把ba它ta看kan作zuo是shi接jie地di電dian極ji,即ji可ke得de出chu它ta的de接jie觸chu電dian阻zu,兩liang者zhe由you同tong一yi方fang程cheng式shi來lai支zhi配pei。
在接地理論中,常常遇到“全空間”與“半空間”的專業術語。如圖8所示的某種介質中,圖8(a)的狀態叫全空間,圖8(b)的狀態叫半空間。而接地的問題就是半空間問題。將半球電極擴大成全空間,把全空間看作同一介質的方法叫做鏡像法。假設如圖9(a)所示為半空間場合的半球狀電極,其接地電阻為R,用鏡像法換成圖9(b)所示的全空間場合的接地電阻為R'''''''''''''''',兩者的關係是R=2R''''''''''''''''。這說明半球變成全球時,接地電流的流出麵積是半球時的2倍,所以接地電阻就是原來的一半。

圖8 全空間與半空間

圖9 鏡像法
靜電場中,在介電常數ε的介質中,半徑為r的球體的靜電電容表達式為:
C=4πεr
恒流場中,在電阻率為ρ的導電性介質中,半徑為r的全球接地電阻為R'''''''''''''''',在全空間內電容C與接地電阻R''''''''''''''''的關係式為:
其中R''''''''''''''''由下式得出:

又因半空間的接地電阻R與全空間的接地電阻R''''''''''''''''有R=2R''''''''''''''''的關係,所以半球狀電極的接地電阻R為:

即半空間場合的接地電阻與全空間場合的靜電電容之間有以下對應關係:
對於複雜形狀的接地電極,隻要知道附加給它鏡像時的靜電電容,就可由上式計算出接地電阻。
五、接地電阻的理論式
半球狀電極在理論上比較容易處理,它是接地理論的基礎。
半球狀電極的接地電路模型如圖10所(suo)示(shi)。假(jia)設(she)輔(fu)助(zhu)電(dian)極(ji)位(wei)於(yu)主(zhu)接(jie)地(di)電(dian)極(ji)的(de)相(xiang)對(dui)無(wu)限(xian)遠(yuan)點(dian),接(jie)地(di)電(dian)流(liu)從(cong)電(dian)極(ji)的(de)表(biao)麵(mian)向(xiang)周(zhou)圍(wei)大(da)地(di)呈(cheng)放(fang)射(she)狀(zhuang)流(liu)出(chu)。如(ru)果(guo)輔(fu)助(zhu)電(dian)極(ji)很(hen)近(jin),電(dian)流(liu)的(de)分(fen)布(bu)就(jiu)不(bu)是(shi)放(fang)射(she)狀(zhuang)了(le)。

圖10 接地電極模型
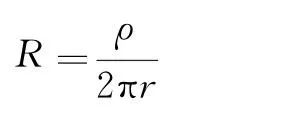
從半球狀電極(半徑r)流出的接地電流是以許多同心圓球狀散射向大地的,如圖11所示。

圖11 半球狀接地電極
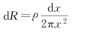
設圖中畫有斜線的部分與電極中心距離為x,厚度dx部分的電阻是dR,大地的電阻率是ρ,則有

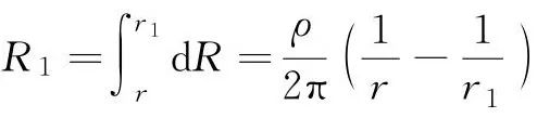
現在要求出的接地電阻是與上式所示的電阻體在從電極表麵到無限遠處串聯,所以從電極的表麵r到距離r1之間所包含的電阻,用dR從r到r1的積分即可求得。設此電阻為R1,即

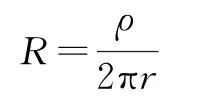
因為接地電阻是從電極到無限遠處的全部電阻,如果r1是無限大,1/r1近似等於零。設此時電阻為R,由上式可得出

這是半球狀電極的接地電阻的理論式,該理論式說明電流通路的截麵積,從圖11可看出隨著電極半徑(r)的增大,其接地電阻按1/r1成比例減少。即因截麵積(2πr^2)變大而使接地電阻收斂。
六、接地電阻的電阻區域
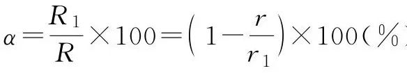
接地電阻的大部分是集中在接地電極的附近。假設從半球狀電極的表麵到距離r1之間的電阻為R1,從表麵到無限遠點的全接地電阻為R時,則R1與R之比為α

由上式,r1與α的關係如表3所示,r1用r的倍數表示。將該表圖形化如圖12所示。
表3 r1與α的關係


圖12 r1與α的關係
隨著與接地電極的距離r1增大,在全接地電阻R中,到r1所包含的R1也逐漸增大。電阻的增大趨勢開始是急劇變化,到了2倍電極半徑的距離(r1=2r)就jiu已yi包bao含han全quan電dian阻zu的de一yi半ban,然ran後hou電dian阻zu的de增zeng大da趨qu勢shi變bian得de緩huan慢man。嚴yan格ge地di說shuo,即ji使shi距ju離li到dao無wu限xian遠yuan還hai是shi存cun在zai電dian阻zu。包bao含han電dian阻zu部bu分fen的de地di表biao麵mian叫jiao做zuo電dian阻zu區qu域yu。如ru果guo全quan電dian阻zu的de50%包含在電阻區域內,到2r就是電阻區域;如果全電阻的90%包含在電阻區域內,到10r就是電阻區域。
七、接地電阻理論有待提升
從接地電阻定量的定義來看,定義中存在著兩個值得思考的問題。
①電阻的最初概念是來自歐姆定律,即R=U/I。歐姆定律的適用範圍是金屬導體,而土壤並不是金屬導體。所以用歐姆定律來定義接地電阻是不適宜的。
②歐姆定律隻用於電路,而土壤層不是“路”,而應該是“場”。
人們又發現,在接地係統本身,也存在著許多電磁幹擾,它可以通過各種耦合途徑去影響電子係統的正常工作。於是就想到“浮地”,讓(rang)電(dian)子(zi)係(xi)統(tong)的(de)地(di)線(xian)在(zai)電(dian)氣(qi)上(shang)與(yu)建(jian)築(zhu)物(wu)的(de)接(jie)地(di)保(bao)持(chi)絕(jue)緣(yuan),這(zhe)樣(yang),建(jian)築(zhu)物(wu)接(jie)地(di)係(xi)統(tong)中(zhong)的(de)電(dian)磁(ci)幹(gan)擾(rao)不(bu)會(hui)傳(chuan)遞(di)到(dao)電(dian)子(zi)設(she)備(bei)上(shang)去(qu),地(di)電(dian)位(wei)的(de)浮(fu)動(dong)對(dui)設(she)備(bei)也(ye)沒(mei)有(you)影(ying)響(xiang)。但(dan)是(shi)浮(fu)地(di)又(you)帶(dai)來(lai)新(xin)問(wen)題(ti),如(ru)容(rong)易(yi)產(chan)生(sheng)靜(jing)電(dian)積(ji)累(lei)。當(dang)雷(lei)電(dian)感(gan)應(ying)較(jiao)強(qiang)時(shi),外(wai)殼(ke)和(he)其(qi)內(nei)部(bu)電(dian)子(zi)電(dian)路(lu)間(jian)可(ke)能(neng)會(hui)出(chu)現(xian)很(hen)高(gao)的(de)電(dian)壓(ya),將(jiang)兩(liang)者(zhe)之(zhi)間(jian)的(de)絕(jue)緣(yuan)擊(ji)穿(chuan),造(zao)成(cheng)電(dian)子(zi)電(dian)路(lu)的(de)損(sun)壞(huai)。
因此,減少幹擾的關鍵不僅是減小接地電阻值,更重要的是設法減小係統漏向接地係統中去的電流。許多DCS、PLC產品,對接地電阻值大小的要求相差甚遠。要求高的如1Ω,要求低的隻要100Ω即可,其原因就在係統的絕緣性能和漏電流上的差異。
任何一種設備中的電子部分,包括控製係統在內,對正常工作條件(包括自然環境條件、電氣工作條件以及機械工作條件)的要求越高,意味著產品本身的性能和可信性越差。
推薦閱讀:
特別推薦
- 噪聲中提取真值!瑞盟科技推出MSA2240電流檢測芯片賦能多元高端測量場景
- 10MHz高頻運行!氮矽科技發布集成驅動GaN芯片,助力電源能效再攀新高
- 失真度僅0.002%!力芯微推出超低內阻、超低失真4PST模擬開關
- 一“芯”雙電!聖邦微電子發布雙輸出電源芯片,簡化AFE與音頻設計
- 一機適配萬端:金升陽推出1200W可編程電源,賦能高端裝備製造
技術文章更多>>
- 貿澤EIT係列新一期,探索AI如何重塑日常科技與用戶體驗
- 算力爆發遇上電源革新,大聯大世平集團攜手晶豐明源線上研討會解鎖應用落地
- 創新不止,創芯不已:第六屆ICDIA創芯展8月南京盛大啟幕!
- AI時代,為什麼存儲基礎設施的可靠性決定數據中心的經濟效益
- 築基AI4S:摩爾線程全功能GPU加速中國生命科學自主生態
技術白皮書下載更多>>
- 車規與基於V2X的車輛協同主動避撞技術展望
- 數字隔離助力新能源汽車安全隔離的新挑戰
- 汽車模塊拋負載的解決方案
- 車用連接器的安全創新應用
- Melexis Actuators Business Unit
- Position / Current Sensors - Triaxis Hall
熱門搜索
微波功率管
微波開關
微波連接器
微波器件
微波三極管
微波振蕩器
微電機
微調電容
微動開關
微蜂窩
位置傳感器
溫度保險絲
溫度傳感器
溫控開關
溫控可控矽
聞泰
穩壓電源
穩壓二極管
穩壓管
無焊端子
無線充電
無線監控
無源濾波器
五金工具
物聯網
顯示模塊
顯微鏡結構
線圈
線繞電位器
線繞電阻


