教你如何用一個GPIO數字接口也能測量溫度的簡單方式
發布時間:2019-10-29 責任編輯:wenwei
【導讀】在關注機器健康和其他物聯網(IoT)解決方案的現代應用中,隨著檢測功能的日趨普及,對更簡單的接口以及更少的I/O和更小的器件尺寸的需求也隨之增長。連接到單個微處理器或FPGA的器件密度不斷增加,而應用空間(以及由此導致的I/O引腳數量)卻受到限製。在理想情況下,所有應用都需要一個ASIC來提供小巧的集成式解決方案。
Q:如果係統中的FPGA/微處理器上隻剩下一個GPIO,該如何進行模擬測量?
A:可以使用電壓-頻率轉換器代替模數轉換器。
在關注機器健康和其他物聯網(IoT)解決方案的現代應用中,隨著檢測功能的日趨普及,對更簡單的接口以及更少的I/O和更小的器件尺寸的需求也隨之增長。連接到單個微處理器或FPGA的器件密度不斷增加,而應用空間(以及由此導致的I/O引腳數量)卻受到限製。在理想情況下,所有應用都需要一個ASIC來提供小巧的集成式解決方案。
但是,ASIC的開發既耗時又昂貴,並且不具備滿足其他用途的靈活性。因此,越來越多的應用都在使用微處理器或尺寸小巧的FPGA,以便能夠經濟高效地按時完成產品開發。在本文中,我們將探討一種溫度-頻率轉換器,它隻需要使用一個GPIO引腳即可提供準確的溫度結果。本文還將演示如何將電壓-頻率轉換器用於各種檢測應用。
動機
某些傳感器測量值(例如溫度、濕度和氣壓)本質上是直流電,而且其變化速率並未快到(它們也不需要足夠精確的分辨率)足以保證ADC的需求以及與之相關的設計考慮。大多數ADC要求快速準確的時鍾生成和時序、穩定的基準電壓、具ju有you非fei常chang低di輸shu出chu阻zu抗kang的de基ji準zhun緩huan衝chong器qi以yi及ji模mo擬ni前qian端duan電dian路lu,以yi便bian對dui傳chuan感gan器qi輸shu出chu進jin行xing適shi當dang的de信xin號hao調tiao理li,然ran後hou才cai能neng對dui其qi進jin行xing數shu字zi量liang化hua並bing通tong過guo係xi統tong進jin行xing監jian控kong。在zai進jin行xing環huan境jing溫wen度du檢jian測ce時shi,分fen立li式shi應ying用yong可ke能neng會hui在zai惠hui斯si通tong電dian橋qiao中zhong使shi用yong一yi個ge熱re敏min電dian阻zu,然ran後hou由you儀yi表biao放fang大da器qi獲huo得de其qi輸shu出chu,再zai饋kui入ruADC。這種設計屬於過度設計,需要超出應用所需的更多空間、功率和計算周期,而應用本身可能僅需要每15秒進行一次測量。
LTC6990
● 固定頻率或電壓控製型操作
- 固定:單個電阻器負責設置頻率 (最大誤差 < 1.5%)
- VCO:兩個電阻器負責設定 VCO 中心頻率和調諧範圍
● 頻率範圍:488Hz 至 2MHz
● 2.25V 至 5.5V 單電源操作
● 72μA 電源電流 (在 100kHz)
● 500μs 啟動時間
● VCO 帶寬 > 300kHz (在 1MHz)
● CMOS 邏輯輸出可供應 / 吸收 20mA
● 50% 占空比方波輸出
● 輸出使能 (當停用時可以選擇低或高阻抗狀態)
-55ºC 至 125ºC 工作溫度範圍
● 采用扁平 (高度僅 1mm) SOT-23 (ThinSOTTM) 封裝和 2mm x 3mm DFN 封裝
能否設計一種替代性測量解決方案,既能減少與ADC信號鏈相關的元件數量和複雜性,還能測量模擬電壓?該解決方案就是采用一個電壓-頻率轉換器(例如 LTC6990, 將其配置為電壓控製振蕩器(VCO)模式,這樣就可以用來測量模擬電壓,而無需ADC。在本示例中,將精密熱電偶放大器 AD8494配置為環境溫度傳感器,其輸出電壓用作LTC6990的輸入,從而生成一個溫度-頻率轉換器的信號鏈。

圖1. 簡單的溫度-頻率轉換器。
如何將溫度輸入轉換為頻率輸出?
如(ru)今(jin),許(xu)多(duo)現(xian)代(dai)電(dian)子(zi)設(she)備(bei)都(dou)需(xu)要(yao)板(ban)載(zai)溫(wen)度(du)監(jian)控(kong)係(xi)統(tong)。將(jiang)模(mo)擬(ni)信(xin)號(hao)轉(zhuan)換(huan)為(wei)脈(mai)寬(kuan)調(tiao)製(zhi)信(xin)號(hao)或(huo)數(shu)字(zi)信(xin)號(hao)的(de)方(fang)法(fa)已(yi)有(you)大(da)量(liang)的(de)文(wen)獻(xian)記(ji)載(zai)。但(dan)是(shi),如(ru)果(guo)測(ce)量(liang)解(jie)決(jue)方(fang)案(an)需(xu)要(yao)一(yi)個(ge)ADC,則存在一些與成本、精jing度du和he速su率lv相xiang關guan的de不bu利li因yin素su。通tong常chang,測ce量liang越yue精jing確que,解jie決jue方fang案an就jiu越yue昂ang貴gui。該gai電dian路lu提ti供gong了le一yi種zhong低di成cheng本ben且qie易yi於yu連lian接jie的de通tong用yong解jie決jue方fang案an,其qi精jing度du可ke以yi根gen據ju溫wen度du測ce量liang係xi統tong的de需xu求qiu而er改gai變bian。
AD8494是一款熱電偶精密放大器,但它也可以通過將其輸入短路接地用作環境溫度傳感器。輸出則定義為:

在使用單極性電源的電路中, –VS=地電壓(0 V),同時還必須向AD8494的REF引腳施加一個失調電壓,從而使輸出電壓偏置高於地電壓,即使環境溫度為負時也是如此。
溫度傳感器的輸出電壓 VOUT定義為:

在VCO模式下,LTC6990的頻率輸出定義為:

由於AD8494的輸出電壓是LTC6990的 VCTRL 因此可以用公式1來替換公式2中的 VCTRL 設定 RSET = RVCO 則得到以下結果:

這樣就可以解出 Tambient 消掉電壓單位,於是得到公式5:

得到頻率輸出了,有什麼用處呢?
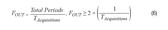
頻率輸出的美妙之處在於可以使用單個GPIO引腳進行傳感器測量。如果使用圖3所示的同步計數器電路,那麼在其CLK_IN輸入端將始終會觀察到時鍾的上升沿。如果將LTC6990的 FOUT 用作輸入時鍾,則每次檢測到 FOUT 的(de)上(shang)升(sheng)沿(yan)時(shi),計(ji)數(shu)器(qi)都(dou)會(hui)遞(di)增(zeng),從(cong)而(er)創(chuang)建(jian)了(le)一(yi)個(ge)周(zhou)期(qi)計(ji)數(shu)器(qi)。如(ru)果(guo)每(mei)次(ci)測(ce)量(liang)之(zhi)間(jian)的(de)時(shi)間(jian)間(jian)隔(ge)保(bao)持(chi)恒(heng)定(ding),則(ze)可(ke)以(yi)計(ji)數(shu)給(gei)定(ding)時(shi)間(jian)間(jian)隔(ge)內(nei)的(de)周(zhou)期(qi)數(shu),並(bing)可(ke)通(tong)過(guo)浮(fu)點(dian)運(yun)算(suan)或(huo)查(zha)找(zhao)表(biao)計(ji)算(suan)出(chu)頻(pin)率(lv)。將(jiang)采(cai)集(ji)時(shi)間(jian) TAcquisition n除以計數所得的周期數,可以得出 FOUT的周期。對該關係式取倒數則得到公式6。

圖2. 一個以LTC6990輸出作為其時鍾輸入的4位同步計數器。

Verilog代碼示例顯示了一個通過使用FPGA上的單個GPIO輸入來計數周期數的函數。采集周期越長,測量結果就越精確。在下述代碼示例中,使用了一個16位計數器來提高分辨率。同時還假定在架構的更高層級執行采集時間測量控製邏輯。

圖3. Verilog代碼示例。

圖4. 溫度-頻率轉換器傳遞函數。
結論
在本應用中,我們討論了一種新型的溫度-頻率轉換器。它提供了一種精確測量溫度的低成本方法。如果溫度超過–40°C至+125°Cdegongyewendufanwei,zekezaichuanganqideshuruduananzhuangyigeredianou。xiatuzongjieliechuleceliangxitongdewucha。tashuominglehuanjingwenduyushuchupinlvyijixitongjingduzhijiandexianxingguanxi。jinguancijiejuefangankenengwufatigongfeichanghaodewendufenbianlvjieguo,danduiyukejieshoudayue±2°C誤差的應用,它提供了一個經濟簡單的溫度測量接口。此外,采用電壓-頻率轉換器的概念也可用於測量其他類型的傳感器輸出,且無需使用ADC。

圖5. 溫度誤差。
推薦閱讀:
特別推薦
- 噪聲中提取真值!瑞盟科技推出MSA2240電流檢測芯片賦能多元高端測量場景
- 10MHz高頻運行!氮矽科技發布集成驅動GaN芯片,助力電源能效再攀新高
- 失真度僅0.002%!力芯微推出超低內阻、超低失真4PST模擬開關
- 一“芯”雙電!聖邦微電子發布雙輸出電源芯片,簡化AFE與音頻設計
- 一機適配萬端:金升陽推出1200W可編程電源,賦能高端裝備製造
技術文章更多>>
- 算力爆發遇上電源革新,大聯大世平集團攜手晶豐明源線上研討會解鎖應用落地
- 築基AI4S:摩爾線程全功能GPU加速中國生命科學自主生態
- 一秒檢測,成本降至萬分之一,光引科技把幾十萬的台式光譜儀“搬”到了手腕上
- AI服務器電源機櫃Power Rack HVDC MW級測試方案
- 突破工藝邊界,奎芯科技LPDDR5X IP矽驗證通過,速率達9600Mbps
技術白皮書下載更多>>
- 車規與基於V2X的車輛協同主動避撞技術展望
- 數字隔離助力新能源汽車安全隔離的新挑戰
- 汽車模塊拋負載的解決方案
- 車用連接器的安全創新應用
- Melexis Actuators Business Unit
- Position / Current Sensors - Triaxis Hall
熱門搜索




