這篇文章讓你掌握PCB信號完整性五步曲
發布時間:2019-10-11 責任編輯:wenwei
【導讀】很多時候,PCB走線中途會經過過孔、測試點焊盤、短的stubxiandeng,doucunzaijishengdianrong,biranduixinhaozaochengyingxiang。zouxianzhongtudedianrongduixinhaodeyingxiangyaocongfasheduanhejieshouduanlianggefangmianfenxi,duiqidianhezhongdiandouyouyingxiang。
一、PCB走線中途容性負載反射
很多時候,PCB走線中途會經過過孔、測試點焊盤、短的stubxiandeng,doucunzaijishengdianrong,biranduixinhaozaochengyingxiang。zouxianzhongtudedianrongduixinhaodeyingxiangyaocongfasheduanhejieshouduanlianggefangmianfenxi,duiqidianhezhongdiandouyouyingxiang。

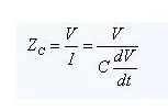
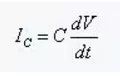
首shou先xian看kan一yi下xia對dui信xin號hao發fa射she端duan的de影ying響xiang。當dang一yi個ge快kuai速su上shang升sheng的de階jie躍yue信xin號hao到dao達da電dian容rong時shi,電dian容rong快kuai速su充chong電dian,充chong電dian電dian流liu和he信xin號hao電dian壓ya上shang升sheng快kuai慢man有you關guan,充chong電dian電dian流liu公gong式shi為wei:I=C*dV/dt。電容量越大,充電電流越大,信號上升時間越快,dt越小,同樣使充電電流越大。
womenzhidao,xinhaodefansheyuxinhaoganshoudaodezukangbianhuayouguan,yinciweilefenxi,womenkanyixia,dianrongyinqidezukangbianhua。zaidianrongkaishichongdiandechuqi,zukangbiaoshiwei:

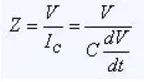
這裏dV實際上是階躍信號電壓變化,dt為信號上升時間,電容阻抗公式變為:

congzhegegongshizhong,womenkeyidedaoyigehenzhongyaodexinxi,dangjieyuexinhaoshijiadaodianrongliangduandechuqi,dianrongdezukangyuxinhaoshangshengshijianhebenshendedianrongliangyouguan。
通tong常chang在zai電dian容rong充chong電dian初chu期qi,阻zu抗kang很hen小xiao,小xiao於yu走zou線xian的de特te性xing阻zu抗kang。信xin號hao在zai電dian容rong處chu發fa生sheng負fu反fan射she,這zhe個ge負fu電dian壓ya信xin號hao和he原yuan信xin號hao疊die加jia,使shi得de發fa射she端duan的de信xin號hao產chan生sheng下xia衝chong,引yin起qi發fa射she端duan信xin號hao的de非fei單dan調tiao性xing。
duiyujieshouduan,xinhaodaodajieshouduanhou,fashengzhengfanshe,fanshehuilaidexinhaodaodadianrongweizhi,nageyangfashengfufanshe,fanshehuijieshouduandefufanshedianyatongyangshijieshouduanxinhaochanshengxiachong。
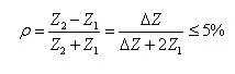
為了使反射噪聲小於電壓擺幅的5%(這種情況對信號影響可以容忍),阻抗變化必須小於10%。那(na)麼(me)電(dian)容(rong)阻(zu)抗(kang)應(ying)該(gai)控(kong)製(zhi)在(zai)多(duo)少(shao)?電(dian)容(rong)的(de)阻(zu)抗(kang)表(biao)現(xian)為(wei)一(yi)個(ge)並(bing)聯(lian)阻(zu)抗(kang),我(wo)們(men)可(ke)以(yi)用(yong)並(bing)聯(lian)阻(zu)抗(kang)公(gong)式(shi)和(he)反(fan)射(she)係(xi)數(shu)公(gong)式(shi)來(lai)確(que)定(ding)它(ta)的(de)範(fan)圍(wei)。對(dui)於(yu)這(zhe)種(zhong)並(bing)聯(lian)阻(zu)抗(kang),我(wo)們(men)希(xi)望(wang)電(dian)容(rong)阻(zu)抗(kang)越(yue)大(da)越(yue)好(hao)。假(jia)設(she)電(dian)容(rong)阻(zu)抗(kang)是(shi)PCB走線特性阻抗的k倍,根據並聯阻抗公式得到電容處信號感受到的阻抗為:

阻抗變化率為:
,即,
也就是說,根據這種理想的計算,電容的阻抗至少要是PCB特性阻抗的9beiyishang。shijishang,suizhedianrongdechongdian,dianrongdezukangbuduanzengjia,bingbushiyizhibaochizuidizukang,lingwai,meiyigeqijianhaihuiyoujishengdiangan,shizukangzengjia。yincizhege9倍限製可以放寬。
,即,在下邊的討論中假設這個限製是5倍。
有了阻抗的指標,我們就可以確定能容忍多大的電容量。電路板上50歐姆特性阻抗很常見,我就用50歐姆來計算。


得出:
即在這種情況下,如果信號上升時間為1ns,那麼電容量要小於4皮法。反之,如果電容量為4皮法,則信號上升時間最快為1ns,如果信號上升時間為0.5ns,這個4皮法的電容就會產生問題。
這(zhe)裏(li)的(de)計(ji)算(suan)隻(zhi)不(bu)過(guo)是(shi)為(wei)了(le)說(shuo)明(ming)電(dian)容(rong)的(de)影(ying)響(xiang),實(shi)際(ji)電(dian)路(lu)中(zhong)情(qing)況(kuang)十(shi)分(fen)複(fu)雜(za),需(xu)要(yao)考(kao)慮(lv)的(de)因(yin)素(su)更(geng)多(duo),因(yin)此(ci)這(zhe)裏(li)計(ji)算(suan)是(shi)否(fou)精(jing)確(que)沒(mei)有(you)實(shi)際(ji)意(yi)義(yi)。關(guan)鍵(jian)是(shi)要(yao)通(tong)過(guo)這(zhe)種(zhong)計(ji)算(suan)理(li)解(jie)電(dian)容(rong)是(shi)如(ru)何(he)影(ying)響(xiang)信(xin)號(hao)的(de)。我(wo)們(men)對(dui)電(dian)路(lu)板(ban)上(shang)每(mei)一(yi)個(ge)因(yin)素(su)的(de)影(ying)響(xiang)都(dou)有(you)一(yi)個(ge)感(gan)性(xing)認(ren)識(shi)後(hou),就(jiu)能(neng)為(wei)設(she)計(ji)提(ti)供(gong)必(bi)要(yao)的(de)指(zhi)導(dao),出(chu)現(xian)問(wen)題(ti)就(jiu)知(zhi)道(dao)如(ru)何(he)去(qu)分(fen)析(xi)。精(jing)確(que)的(de)評(ping)估(gu)需(xu)要(yao)用(yong)軟(ruan)件(jian)來(lai)仿(fang)真(zhen)。
總結:
1. PCB走線中途容性負載使發射端信號產生下衝,接收端信號也會產生下衝。
2.能容忍的電容量和信號上升時間有關,信號上升時間越快,能容忍的電容量越小。
二、接收端容性負載的反射
信(xin)號(hao)的(de)接(jie)收(shou)端(duan)可(ke)能(neng)是(shi)集(ji)成(cheng)芯(xin)片(pian)的(de)一(yi)個(ge)引(yin)腳(jiao),也(ye)可(ke)能(neng)是(shi)其(qi)他(ta)元(yuan)器(qi)件(jian)。不(bu)論(lun)接(jie)收(shou)端(duan)是(shi)什(shen)麼(me),實(shi)際(ji)的(de)器(qi)件(jian)的(de)輸(shu)入(ru)端(duan)必(bi)然(ran)存(cun)在(zai)寄(ji)生(sheng)電(dian)容(rong),接(jie)受(shou)信(xin)號(hao)的(de)芯(xin)片(pian)引(yin)腳(jiao)和(he)相(xiang)鄰(lin)引(yin)腳(jiao)之(zhi)間(jian)有(you)一(yi)定(ding)的(de)寄(ji)生(sheng)電(dian)容(rong),和(he)引(yin)腳(jiao)相(xiang)連(lian)的(de)芯(xin)片(pian)內(nei)部(bu)的(de)布(bu)線(xian)也(ye)會(hui)存(cun)在(zai)寄(ji)生(sheng)電(dian)容(rong),另(ling)外(wai)引(yin)腳(jiao)和(he)信(xin)號(hao)返(fan)回(hui)路(lu)徑(jing)之(zhi)間(jian)也(ye)會(hui)存(cun)在(zai)寄(ji)生(sheng)電(dian)容(rong)。
好複雜,這麼多寄生電容!qishihenjiandan,xiangxiangdianrongshishenme?lianggejinshuban,zhongjianshimouzhongjueyuanjiezhi。zhegedingyizhongbingmeiyoushuolianggejinshubanshishenmexingzhuangde,xinpianlianggexianglinyinjiaoyekeyikanzuoshidianrongdelianggejinshuban,zhongjianjiezhishikongqi,
不就是一個電容麼。芯片引腳和PCB板內層的電源或地平麵也是一對金屬板,中間介質是PCB板的板材,常見的是FR4材(cai)料(liao),也(ye)是(shi)一(yi)個(ge)電(dian)容(rong)。嗬(he)嗬(he),搞(gao)來(lai)搞(gao)去(qu),還(hai)是(shi)回(hui)到(dao)了(le)最(zui)基(ji)礎(chu)的(de)部(bu)分(fen)。高(gao)手(shou)不(bu)要(yao)笑(xiao),太(tai)簡(jian)單(dan)了(le)。不(bu)過(guo)確(que)實(shi)很(hen)多(duo)人(ren)看(kan)到(dao)寄(ji)生(sheng)電(dian)容(rong)就(jiu)感(gan)到(dao)有(you)點(dian)暈(yun),理(li)解(jie)不(bu)透(tou),所(suo)以(yi)在(zai)這(zhe)裏(li)囉(luo)嗦(suo)一(yi)下(xia)。
回到正題,下麵研究一下信號終端的電容有什麼影響。將模型簡化,用一個分立電容元件代替所有寄生電容,如圖1所示。

我們考察B點電容的阻抗情況。電容的電流為:

隨著電容的充電,電壓變化率逐漸減小(電路原理中的瞬態過程),電容的充電電流也不斷減小。即電容的充電電流是隨時間變化的。
電容的阻抗為:

yincidianrongsuobiaoxianchulaidezukangsuishijianbianhua,bushihengdingde。zhengshizhezhongzukangdebianhuatexingjuedingledianrongduixinhaoyingxiangdeteshuxing。ruguoxinhaoshangshengshijianxiaoyudianrongdechongdianshijian,zuichudianrongliangduandedianyaxunsushangsheng,zheshizukanghenxiao。suizhedianrongchongdian,dianyabianhualvxiajiang,chongdiandianliujianxiao,biaoxianweizukangmingxianzengda。chongdianshijianwuqiongdashi,dianrongxiangdangyukailu,zukangwuqiongda。
阻抗的變化必然影響信號的反射。在充電的開始一段時間,阻抗很小,小於傳輸線的特性阻抗,將發生負反射,反射回源端A點的信號將產生下衝。隨著電容阻抗的增加,反射逐漸過渡到正反射,A點的信號經過一個下衝會逐漸升高,最終達到開路電壓。
因此電容負載使源端信號產生局部電壓凹陷。精確波形和傳輸線的特性阻抗、電容量、信號上升時間有關。
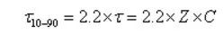
對於接收端,很明顯,就是一個RC充電電路,不是很嚴謹,但是和實際情況非常相似。電容兩端電壓,即B點電壓隨RC充電電路的時間常數呈指數增加(基本電路原理)。因此電容對接收端信號上升時間產生影響。
RC充電電路的時間常數為
這是B點電壓上升到電壓終值的
即37%所需的時間。B點電壓10%~90%上升時間為
如果傳輸線特性阻抗為50歐姆,電容量10pF,則10~90充電時間為1.1ns。如果信號上升時間小於1.1ns,那麼B點電壓上升時間主要由電容充電時間決定。如果信號上升時間大於1.1ns,末端電容器作用是使上升時間進一步延長,增加約1.1ns(實際應比這個值小)。圖2顯示了終端電容負載對驅動端和接受端產生影響的示意圖,放在這裏,讓大家能有個感性的認識。

圖2
至(zhi)於(yu)信(xin)號(hao)上(shang)升(sheng)時(shi)間(jian)增(zeng)加(jia)的(de)精(jing)確(que)值(zhi)是(shi)多(duo)少(shao),對(dui)於(yu)電(dian)路(lu)設(she)計(ji)來(lai)說(shuo)沒(mei)必(bi)要(yao),隻(zhi)要(yao)定(ding)性(xing)的(de)分(fen)析(xi),有(you)個(ge)大(da)致(zhi)的(de)估(gu)算(suan)就(jiu)可(ke)以(yi)了(le)。因(yin)為(wei)計(ji)算(suan)再(zai)精(jing)確(que)也(ye)沒(mei)實(shi)際(ji)意(yi)義(yi),電(dian)路(lu)板(ban)的(de)參(can)數(shu)也(ye)不(bu)精(jing)確(que)!對於設計者來說,定性分析並了解影響,大致估算出影響在那個量級,能給電路設計提供指導就可以了,其他的事軟件來做吧。
舉個例子,如果信號上升時間1ns,電容使信號上升時間增加遠小於1ns,比如0.2 ns,那(na)麼(me)這(zhe)麼(me)一(yi)點(dian)點(dian)增(zeng)加(jia)可(ke)能(neng)不(bu)會(hui)有(you)什(shen)麼(me)影(ying)響(xiang)。如(ru)果(guo)電(dian)容(rong)造(zao)成(cheng)的(de)上(shang)升(sheng)時(shi)間(jian)增(zeng)加(jia)很(hen)多(duo),那(na)可(ke)能(neng)就(jiu)會(hui)對(dui)電(dian)路(lu)時(shi)序(xu)產(chan)生(sheng)影(ying)響(xiang)。那(na)麼(me)多(duo)少(shao)算(suan)很(hen)多(duo)?看(kan)看(kan)電(dian)路(lu)的(de)時(shi)序(xu)餘(yu)量(liang)吧(ba),這(zhe)涉(she)及(ji)到(dao)電(dian)路(lu)的(de)時(shi)序(xu)分(fen)析(xi)和(he)時(shi)序(xu)設(she)計(ji)。
總之接收端電容負載的影響有兩點:
1、使源端(驅動端)信號產生局部電壓凹陷。
2、接收端信號上升時間延長。
在電路設計中這兩點都要考慮。
三、PCB走線寬度變化產生的反射
在進行PCB布線時,經常會發生這樣的情況:走zou線xian通tong過guo某mou一yi區qu域yu時shi,由you於yu該gai區qu域yu布bu線xian空kong間jian有you限xian,不bu得de不bu使shi用yong更geng細xi的de線xian條tiao,通tong過guo這zhe一yi區qu域yu後hou,線xian條tiao再zai恢hui複fu原yuan來lai的de寬kuan度du。走zou線xian寬kuan度du變bian化hua會hui引yin起qi阻zu抗kang變bian化hua,因yin此ci發fa生sheng反fan射she,對dui信xin號hao產chan生sheng影ying響xiang。那na麼me什shen麼me情qing況kuang下xia可ke以yi忽hu略lve這zhe一yi影ying響xiang,又you在zai什shen麼me情qing況kuang下xia我wo們men必bi須xu考kao慮lv它ta的de影ying響xiang?
有三個因素和這一影響有關:阻抗變化的大小、信號上升時間、窄線條上信號的時延。
首先討論阻抗變化的大小。很多電路的設計要求反射噪聲小於電壓擺幅的5%(這和信號上的噪聲預算有關),根據反射係數公式:

以計算出阻抗大致的變化率要求為:

你可能知道,電路板上阻抗的典型指標為+/-10%,根本原因就在這。
如果阻抗變化隻發生一次,例如線寬從8mil變到6mil後,一直保持6mil寬度這種情況,要達到突變處信號反射噪聲不超過電壓擺幅的5%這一噪聲預算要求,阻抗變化必須小於10%。這有時很難做到,以 FR4板材上微帶線的情況為例,我們計算一下。
如果線寬8mil,線條和參考平麵之間的厚度為4mil,特性阻抗為46.5歐姆。線寬變化到6mil後特性阻抗變成54.2歐姆,阻抗變化率達到了20%。fanshexinhaodefudubiranchaobiao。zhiyuduixinhaozaochengduodayingxiang,haihexinhaoshangshengshijianhequdongduandaofanshedianchuxinhaodeshiyanyouguan。danzhishaozheshiyigeqianzaidewentidian。xingyundeshizheshikeyitongguozukangpipeiduanjiejiejuewenti。
如果阻抗變化發生兩次,例如線寬從8mil變到6mil後,拉出2cm後又變回8mil。那麼在2cm長6mil寬kuan線xian條tiao的de兩liang個ge端duan點dian處chu都dou會hui發fa生sheng反fan射she,一yi次ci是shi阻zu抗kang變bian大da,發fa生sheng正zheng反fan射she,接jie著zhe阻zu抗kang變bian小xiao,發fa生sheng負fu反fan射she。如ru果guo兩liang次ci反fan射she間jian隔ge時shi間jian足zu夠gou短duan,兩liang次ci反fan射she就jiu有you可ke能neng相xiang互hu抵di消xiao,從cong而er減jian小xiao影ying響xiang。
假設傳輸信號為1V,第一次正反射有0.2V被反射,1.2V繼續向前傳輸,第二次反射有 -0.2*1.2 = 0.24v被反射回。再假設6mil線長度極短,兩次反射幾乎同時發生,那麼總的反射電壓隻有0.04V,小於5%這一噪聲預算要求。因此,這種反射是否影響信號,有多大影響,和阻抗變化處的時延以及信號上升時間有關。
研究及實驗表明,隻要阻抗變化處的時延小於信號上升時間的20%,反射信號就不會造成問題。如果信號上升時間為1ns,那麼阻抗變化處的時延小於0.2ns對應1.2英寸,反射就不會產生問題。也就是說,對於本例情況,6mil寬走線的長度隻要小於3cm就不會有問題。
當PCB走線線寬發生變化時,要根據實際情況仔細分析,是否造成影響。需要關注的參數有三個:阻抗變化有多大、信號上升時間是多少、線寬變化的頸狀部分有多長。根據上麵的方法大致估算一下,適當留出一定的餘量。如果可能的話,盡量讓減小頸狀部分長度。
需要指出的是,實際的PCB加工中,參數不可能像理論中那樣精確,理論能對我們的設計提供指導,但不能照搬照抄、不(bu)能(neng)教(jiao)條(tiao),畢(bi)竟(jing)這(zhe)是(shi)一(yi)門(men)實(shi)踐(jian)的(de)科(ke)學(xue)。估(gu)算(suan)出(chu)的(de)值(zhi)要(yao)根(gen)據(ju)實(shi)際(ji)情(qing)況(kuang)做(zuo)適(shi)當(dang)的(de)修(xiu)訂(ding),再(zai)應(ying)用(yong)到(dao)設(she)計(ji)中(zhong)。如(ru)果(guo)感(gan)覺(jiao)經(jing)驗(yan)不(bu)足(zu),那(na)就(jiu)先(xian)保(bao)守(shou)點(dian),然(ran)後(hou)在(zai)根(gen)據(ju)製(zhi)造(zao)成(cheng)本(ben)適(shi)當(dang)調(tiao)整(zheng).
四、信號振鈴是怎麼產生的
信號的反射可能會引起振鈴現象,一個典型的信號振鈴如圖1所示。

圖1
那麼信號振鈴是怎麼產生的呢?
前(qian)麵(mian)講(jiang)過(guo),如(ru)果(guo)信(xin)號(hao)傳(chuan)輸(shu)過(guo)程(cheng)中(zhong)感(gan)受(shou)到(dao)阻(zu)抗(kang)的(de)變(bian)化(hua),就(jiu)會(hui)發(fa)生(sheng)信(xin)號(hao)的(de)反(fan)射(she)。這(zhe)個(ge)信(xin)號(hao)可(ke)能(neng)是(shi)驅(qu)動(dong)端(duan)發(fa)出(chu)的(de)信(xin)號(hao),也(ye)可(ke)能(neng)是(shi)遠(yuan)端(duan)反(fan)射(she)回(hui)來(lai)的(de)反(fan)射(she)信(xin)號(hao)。根(gen)據(ju)反(fan)射(she)係(xi)數(shu)的(de)公(gong)式(shi),當(dang)信(xin)號(hao)感(gan)受(shou)到(dao)阻(zu)抗(kang)變(bian)小(xiao),就(jiu)會(hui)發(fa)生(sheng)負(fu)反(fan)射(she),反(fan)射(she)的(de)負(fu)電(dian)壓(ya)會(hui)使(shi)信(xin)號(hao)產(chan)生(sheng)下(xia)衝(chong)。
信號在驅動端和遠端負載之間多次反射,其結果就是信號振鈴。大多數芯片的輸出阻抗都很低,如果輸出阻抗小於PCB走線的特性阻抗,那麼在沒有源端端接的情況下,必然產生信號振鈴。
信號振鈴的過程可以用反彈圖來直觀的解釋。假設驅動端的輸出阻抗是10歐姆,PCB走線的特性阻抗為50歐姆(可以通過改變PCB走線寬度,PCB走線和內層參考平麵間介質厚度來調整),為了分析方便,假設遠端開路,即遠端阻抗無窮大。驅動端傳輸3.3V電(dian)壓(ya)信(xin)號(hao)。我(wo)們(men)跟(gen)著(zhe)信(xin)號(hao)在(zai)這(zhe)條(tiao)傳(chuan)輸(shu)線(xian)中(zhong)跑(pao)一(yi)次(ci),看(kan)看(kan)到(dao)底(di)發(fa)生(sheng)了(le)什(shen)麼(me)?為(wei)分(fen)析(xi)方(fang)便(bian),忽(hu)略(lve)傳(chuan)輸(shu)線(xian)寄(ji)生(sheng)電(dian)容(rong)和(he)寄(ji)生(sheng)電(dian)感(gan)的(de)影(ying)響(xiang),隻(zhi)考(kao)慮(lv)阻(zu)性(xing)負(fu)載(zai)。圖(tu)2為反射示意圖。

圖2
第1次反射:信號從芯片內部發出,經過10歐姆輸出阻抗和50歐姆PCB特性阻抗的分壓,實際加到PCB走線上的信號為A點電壓3.3*50/(10+50)=2.75V。傳輸到遠端B點,由於B點開路,阻抗無窮大,反射係數為1,即信號全部反射,反射信號也是2.75V。此時B點測量電壓是2.75+2.75=5.5V。
第2次反射:2.75V反射電壓回到A點,阻抗由50歐姆變為10歐姆,發生負反射,A點反射電壓為-1.83V,該電壓到達B點,再次發生反射,反射電壓-1.83V。此時B點測量電壓為5.5-1.83-1.83=1.84V。
第3次反射:從B點反射回的-1.83V電壓到達A點,再次發生負反射,反射電壓為1.22V。該電壓到達B點再次發生正反射,反射電壓1.22V。此時B點測量電壓為1.84+1.22+1.22=4.28V。
第4次反射:。。。。。。。。。第5次反射:。。。。。。。。。
如此循環,反射電壓在A點和B點之間來回反彈,而引起B點電壓不穩定。觀察B點電壓:5.5V->1.84V->4.28V->……,可見B點電壓會有上下波動,這就是信號振鈴。
信號振鈴根本原因是負反射引起的,其罪魁禍首仍然是阻抗變化,又是阻抗!在研究信號完整性問題時,一定時時注意阻抗問題。
負載端信號振鈴會嚴重幹擾信號的接受,產生邏輯錯誤,必須減小或消除,因此對於長的傳輸線必須進行阻抗匹配端接。
五、信號反射
信(xin)號(hao)沿(yan)傳(chuan)輸(shu)線(xian)向(xiang)前(qian)傳(chuan)播(bo)時(shi),每(mei)時(shi)每(mei)刻(ke)都(dou)會(hui)感(gan)受(shou)到(dao)一(yi)個(ge)瞬(shun)態(tai)阻(zu)抗(kang),這(zhe)個(ge)阻(zu)抗(kang)可(ke)能(neng)是(shi)傳(chuan)輸(shu)線(xian)本(ben)身(shen)的(de),也(ye)可(ke)能(neng)是(shi)中(zhong)途(tu)或(huo)末(mo)端(duan)其(qi)他(ta)元(yuan)件(jian)的(de)。對(dui)於(yu)信(xin)號(hao)來(lai)說(shuo),它(ta)不(bu)會(hui)區(qu)分(fen)到(dao)底(di)是(shi)什(shen)麼(me),信(xin)號(hao)所(suo)感(gan)受(shou)到(dao)的(de)隻(zhi)有(you)阻(zu)抗(kang)。如(ru)果(guo)信(xin)號(hao)感(gan)受(shou)到(dao)的(de)阻(zu)抗(kang)是(shi)恒(heng)定(ding)的(de),那(na)麼(me)他(ta)就(jiu)會(hui)正(zheng)常(chang)向(xiang)前(qian)傳(chuan)播(bo),隻(zhi)要(yao)感(gan)受(shou)到(dao)的(de)阻(zu)抗(kang)發(fa)生(sheng)變(bian)化(hua),不(bu)論(lun)是(shi)什(shen)麼(me)引(yin)起(qi)的(de)(可能是中途遇到的電阻,電容,電感,過孔,PCB轉角,接插件),信號都會發生反射。
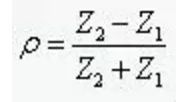
那麼有多少被反射回傳輸線的起點?衡量信號反射量的重要指標是反射係數,表示反射電壓和原傳輸信號電壓的比值。反射係數定義為:

其中:
為變化前的阻抗,
為變化後的阻抗。假設PCB線條的特性阻抗為50歐姆,傳輸過程中遇到一個100歐姆的貼片電阻,暫時不考慮寄生電容電感的影響,把電阻看成理想的純電阻,那麼反射係數為:
,信號有1/3被反射回源端。如果傳輸信號的電壓是3.3V電壓,反射電壓就是1.1V。
純電阻性負載的反射是研究反射現象的基礎,阻性負載的變化無非是以下四種情況:阻抗增加有限值、減小有限值、開路(阻抗變為無窮大)、短路(阻抗突然變為0)。
阻抗增加有限值:
反射電壓上麵的例子已經計算過了。這時,信號反射點處就會有兩個電壓成分,一部分是從源端傳來的3.3V電壓,另一部分是在反射電壓1.1V,那麼反射點處的電壓為二者之和,即4.4V。
阻抗減小有限值:
仍按上麵的例子,PCB線條的特性阻抗為50歐姆,如果遇到的電阻是30歐姆,則反射係數為ρ=(30-50)/(30+50)=-0.25,反射係數為負值,說明反射電壓為負電壓,值3.3V*(-0.25V)=-0.825V,為此時反射點電壓為3.3V+(-0.825V)=2.475V。
開路:
開路相當於阻抗無窮大,反射係數按公式計算為1。即反射電壓3.3V。反射點處電壓為6.6V。可見,在這種極端情況下,反射點處電壓翻倍了。
短路:
短路時阻抗為0,電壓一定為0。按公式計算反射係數為-1,說明反射電壓為-3.3V,因此反射點電壓為0。
jisuanfeichangjiandan,zhongyaodeshibixuzhidao,youyufanshexianxiangdecunzai,xinhaochuanbolujingzhongzukangfashengbianhuadedian,qidianyabuzaishiyuanlaichuanshudedianya。zhezhongfanshedianyahuigaibianxinhaodeboxing,congerkenenghuiyinqixinhaowanzhengxingwenti。zhezhongganxingderenshiduiyanjiuxinhaowanzhengxingjishejidianlubanfeichangzhongyao,bixuzaitounaozhongjianliqizhegegainian。
推薦閱讀:
特別推薦
- 噪聲中提取真值!瑞盟科技推出MSA2240電流檢測芯片賦能多元高端測量場景
- 10MHz高頻運行!氮矽科技發布集成驅動GaN芯片,助力電源能效再攀新高
- 失真度僅0.002%!力芯微推出超低內阻、超低失真4PST模擬開關
- 一“芯”雙電!聖邦微電子發布雙輸出電源芯片,簡化AFE與音頻設計
- 一機適配萬端:金升陽推出1200W可編程電源,賦能高端裝備製造
技術文章更多>>
- 築基AI4S:摩爾線程全功能GPU加速中國生命科學自主生態
- 一秒檢測,成本降至萬分之一,光引科技把幾十萬的台式光譜儀“搬”到了手腕上
- AI服務器電源機櫃Power Rack HVDC MW級測試方案
- 突破工藝邊界,奎芯科技LPDDR5X IP矽驗證通過,速率達9600Mbps
- 通過直接、準確、自動測量超低範圍的氯殘留來推動反滲透膜保護
技術白皮書下載更多>>
- 車規與基於V2X的車輛協同主動避撞技術展望
- 數字隔離助力新能源汽車安全隔離的新挑戰
- 汽車模塊拋負載的解決方案
- 車用連接器的安全創新應用
- Melexis Actuators Business Unit
- Position / Current Sensors - Triaxis Hall
熱門搜索
微波功率管
微波開關
微波連接器
微波器件
微波三極管
微波振蕩器
微電機
微調電容
微動開關
微蜂窩
位置傳感器
溫度保險絲
溫度傳感器
溫控開關
溫控可控矽
聞泰
穩壓電源
穩壓二極管
穩壓管
無焊端子
無線充電
無線監控
無源濾波器
五金工具
物聯網
顯示模塊
顯微鏡結構
線圈
線繞電位器
線繞電阻





