深度解析紅外傳感器檢測紅外輻射的原理
發布時間:2019-02-25 責任編輯:wenwei
【導讀】在(zai)科(ke)技(ji)高(gao)度(du)發(fa)達(da)的(de)今(jin)天(tian),自(zi)動(dong)控(kong)製(zhi)和(he)自(zi)動(dong)檢(jian)測(ce)在(zai)人(ren)們(men)的(de)日(ri)常(chang)生(sheng)活(huo)和(he)工(gong)業(ye)控(kong)製(zhi)所(suo)占(zhan)的(de)比(bi)例(li)也(ye)越(yue)來(lai)越(yue)重(zhong),使(shi)人(ren)們(men)的(de)生(sheng)活(huo)越(yue)來(lai)越(yue)舒(shu)適(shi),工(gong)業(ye)生(sheng)產(chan)的(de)效(xiao)率(lv)越(yue)來(lai)越(yue)高(gao)。
而傳感器是自動控製中的重要組成部件,是信息采集係統的重要部件,通過傳感器將感受或響應的被測量轉換成適合輸送或檢測的信號(一般為電信號),zailiyongjisuanjihuozhedianlushebeiduichuanganqishuchudexinhaojinxingchulicongerdadaozidongkongzhidegongneng,youyuchuanganqidexiangyingshijianyibandoubijiaoduan,suoyikeyitongguojisuanjixitongduigongyeshengchanjinxingshishikongzhi。

hongwaichuanganqishichuanganqizhongchangjiandeyilei,youyuhongwaichuanganqishijiancehongwaifushedeyileichuanganqi,erziranjiezhongrenhewutizhiyaoqiwendinggaoyujueduilingdudoujiangduiwaifushehongwainengliang,suoyihongwaichuanganqichengweifeichangshiyongdeyileichuanganqi,liyonghongwaichuanganqikeyishejichuhenduoshiyongdechuanganqimokuai,ruhongwaicewenyi,hongwaichengxiangyi,hongwairentitancebaojingqi,zidongmenkongzhixitongdeng。

yuzhoujianderenhewutizhiyaoqiwenduchaoguolingdujiunengchanshenghongwaifushe,shishishangtongkejianguangyiyang,qifushenenggoujinxingzheshehefanshe,zheyangbianchanshenglehongwaijishu,liyonghongwaiguangtanceqiyinqiduyoudeyouyuexingerdedaoguangfandezhongshi,bingzaijunshiheminyonglingyudedaoleguangfandeyingyong。junshishang,hongwaitanceyongyuzhidao、火控跟蹤、警戒、目標偵查、武器熱瞄準器、艦船導航等;在民用領域,廣泛應用與工業設備監控、安全監視、救災、遙感、交通管理以及醫學診斷技術等。
紅外傳感器定義

紅外線傳感器是用紅外線的物理性質來進行測量的傳感器。紅外線又稱紅外光,它具有反射、折射、散射、幹涉、吸收等性質。它是一種不可見光,其光譜位於可見光中紅色以外,所以稱紅外線。
工程上把紅外線占據在電磁波譜中的位置(波段)分為:近紅外、中紅外、遠紅外、極遠紅外四個波段。任何物質,隻要它本身具有一定的溫度(高於絕對零度),都能輻射紅外線。
紅外傳感器的測量基礎原理
首(shou)先(xian)了(le)解(jie)一(yi)下(xia)紅(hong)外(wai)光(guang)。紅(hong)外(wai)光(guang)是(shi)太(tai)陽(yang)光(guang)譜(pu)的(de)一(yi)部(bu)分(fen),紅(hong)外(wai)光(guang)的(de)最(zui)大(da)特(te)點(dian)就(jiu)是(shi)具(ju)有(you)光(guang)熱(re)效(xiao)應(ying),輻(fu)射(she)熱(re)量(liang),它(ta)是(shi)光(guang)譜(pu)中(zhong)最(zui)大(da)光(guang)熱(re)效(xiao)應(ying)區(qu)。紅(hong)外(wai)光(guang)一(yi)種(zhong)不(bu)可(ke)見(jian)光(guang),與(yu)所(suo)有(you)電(dian)磁(ci)波(bo)一(yi)樣(yang),具(ju)有(you)反(fan)射(she)、折射、散射、幹涉、吸收等性質。紅外光在真空中的傳播速度為300000Km/s。紅(hong)外(wai)光(guang)在(zai)介(jie)質(zhi)中(zhong)傳(chuan)播(bo)會(hui)產(chan)生(sheng)衰(shuai)減(jian),在(zai)金(jin)屬(shu)中(zhong)傳(chuan)播(bo)衰(shuai)減(jian)很(hen)大(da),但(dan)紅(hong)外(wai)輻(fu)射(she)能(neng)透(tou)過(guo)大(da)部(bu)分(fen)半(ban)導(dao)體(ti)和(he)一(yi)些(xie)塑(su)料(liao),大(da)部(bu)分(fen)液(ye)體(ti)對(dui)紅(hong)外(wai)輻(fu)射(she)吸(xi)收(shou)非(fei)常(chang)大(da)。

不同的氣體對其吸收程度各不相同,大氣層對不同波長的紅外光存在不同的吸收帶。研究分析表明,對於波長為1——5μm、 8——14μm區域的紅外光具有比較大的“透明度”。即(ji)這(zhe)些(xie)波(bo)長(chang)的(de)紅(hong)外(wai)光(guang)能(neng)較(jiao)好(hao)地(di)穿(chuan)透(tou)大(da)氣(qi)層(ceng)。自(zi)然(ran)界(jie)中(zhong)任(ren)何(he)物(wu)體(ti),隻(zhi)要(yao)其(qi)溫(wen)度(du)在(zai)絕(jue)對(dui)零(ling)度(du)之(zhi)上(shang),都(dou)能(neng)產(chan)生(sheng)紅(hong)外(wai)光(guang)輻(fu)射(she)。紅(hong)外(wai)光(guang)的(de)光(guang)熱(re)效(xiao)應(ying)對(dui)不(bu)同(tong)的(de)物(wu)體(ti)是(shi)各(ge)不(bu)相(xiang)同(tong)的(de),熱(re)能(neng)強(qiang)度(du)也(ye)不(bu)一(yi)樣(yang)。例(li)如(ru),黑(hei)體(ti)(能全部吸收投射到其表麵的紅外輻射的物體)、鏡體(能全部反射紅外輻射的物體)、透明體(能全部穿透紅外輻射的物體)和灰體(能部分反射或吸收紅外輻射的物體)將產生不同的光熱效應。
嚴格來講,自然界並不存在黑體、鏡體和透明體,而絕大部分物體都屬於灰體。上述這些特性就是把紅外光輻射技術用於衛星遙感遙測、紅外跟蹤等軍事和科學研究項目的重要理論依據。
紅hong外wai輻fu射she的de物wu理li本ben質zhi是shi熱re輻fu射she。物wu體ti的de溫wen度du越yue高gao,輻fu射she出chu來lai的de紅hong外wai線xian越yue多duo,紅hong外wai輻fu射she的de能neng量liang就jiu越yue強qiang。研yan究jiu發fa現xian,太tai陽yang光guang譜pu各ge種zhong單dan色se光guang的de熱re效xiao應ying從cong紫zi色se光guang到dao紅hong色se光guang是shi逐zhu漸jian增zeng大da的de,而er且qie最zui大da的de熱re效xiao應ying出chu現xian在zai紅hong外wai輻fu射she的de頻pin率lv範fan圍wei內nei,因yin此ci人ren們men又you將jiang紅hong外wai輻fu射she稱cheng為wei熱re輻fu射she或huo熱re射she線xian。
紅外輻射的基本定律
基爾霍夫定律:在一定溫度下,地物單位麵積上的輻射通量W和吸收率之比,對於任何物體都是一個常數,並等於該溫度下同麵積黑體輻射通量W。在給定的溫度下,物體的發射率=吸收率(同一波段);吸收率越大,發射率也越大。
diwuderefusheqiangduyuwendudesicifangchengzhengbi,suoyi,diwuweixiaodewenduchayijiuhuiyinqihongwaifushenengliangdemingxianbianhua。zhezhongtezhenggouchenglehongwaiyaogandelilunjichu。
玻耳茲曼定律:jiheitizongfushetongliangsuiwendudezengjiaerxunsuzengjia,tayuwendudesicifangchengzhengbi。yinci,wendudeweixiaobianhua,jiuhuiyinqifushetongliangmiduhendadebianhua。shihongwaizhuangzhicedingwendudelilunjichu。
維恩位移定律:隨著溫度的升高,輻射最大值對應的峰值波長向短波方向移動。
紅外傳感器的工作原理並不複雜,一個典型的傳感器係統各部分的實體分別是:
1、待測目標:根據待測目標的紅外輻射特性可進行紅外係統的設定。
2、大氣衰減:待(dai)測(ce)目(mu)標(biao)的(de)紅(hong)外(wai)輻(fu)射(she)通(tong)過(guo)地(di)球(qiu)大(da)氣(qi)層(ceng)時(shi),由(you)於(yu)氣(qi)體(ti)分(fen)子(zi)和(he)各(ge)種(zhong)氣(qi)體(ti)以(yi)及(ji)各(ge)種(zhong)溶(rong)膠(jiao)粒(li)的(de)散(san)射(she)和(he)吸(xi)收(shou),將(jiang)使(shi)得(de)紅(hong)外(wai)源(yuan)發(fa)出(chu)的(de)紅(hong)外(wai)輻(fu)射(she)發(fa)生(sheng)衰(shuai)減(jian)。
3、光學接收器:它接收目標的部分紅外輻射並傳輸給紅外傳感器。相當於雷達天線,常用是物鏡。
4、輻射調製器:對dui來lai自zi待dai測ce目mu標biao的de輻fu射she調tiao製zhi成cheng交jiao變bian的de輻fu射she光guang,提ti供gong目mu標biao方fang位wei信xin息xi,並bing可ke濾lv除chu大da麵mian積ji的de幹gan擾rao信xin號hao。又you稱cheng調tiao製zhi盤pan和he斬zhan波bo器qi,它ta具ju有you多duo種zhong結jie構gou。
5、紅外探測器:zheshihongwaixitongdehexin。tashiliyonghongwaifusheyuwuzhixianghuzuoyongsuochengxianchulaidewulixiaoyingtancehongwaifushedechuanganqi,duoshuqingkuangxiashiliyongzhezhongxianghuzuoyongsuochengxianchulaidedianxuexiaoying。cileitanceqikefenweiguangzitanceqiheremingantanceqiliangdaleixing。
6、探測器製冷器:由於某些探測器必須要在低溫下工作,所以相應的係統必須有製冷設備。經過製冷,設備可以縮短響應時間,提高探測靈敏度。
7、信號處理係統:將探測的信號進行放大、濾波,並從這些信號中提取出信息。然後將此類信息轉化成為所需要的格式,最後輸送到控製設備或者顯示器中。
8、顯示設備:這是紅外設備的終端設備。常用的顯示器有示波器、顯像管、紅外感光材料、指示儀器和記錄儀等。
yizhaoshangmiandeliucheng,hongwaixitongjiukeyiwanchengxiangyingdewuliliangdeceliang。hongwaixitongdehexinshihongwaitanceqi,anzhaotancedejilidebutong,keyifenweiretanceqiheguangzitanceqiliangdalei。
熱探測器對入射的各種波長的輻射能量全部吸收,它是一種對紅外光波無選擇的紅外傳感器。光子探測器常用的光子效應有外光電效應、內光電效應(光生伏特效應、光電導效應)heguangdiancixiaoying。retanceqishiliyongfusherexiaoying,shitanceyuanjianjieshoudaofushenenghouyinqiwendushenggao,jinershitanceqizhongyilaiyuwendudexingnengfashengbianhua。jianceqizhongmouyixingnengdebianhua,bianketancechufushe。duoshuqingkuangxiashitongguoredianbianhualaitancefushede。dangyuanjianjieshoufushe,yinqifeidianliangdewulibianhuashi,keyitongguoshidangdebianhuanhouceliangxiangyingdedianliangbianhua。
熱敏探測器對紅外輻射的響應時間比光電探測器的響應時間要長得多。前者的響應時間一般在ms以上,而後者隻有ns量級。熱探測器不需要冷卻,光子探測器多數要冷卻。
紅外線傳感器的分類
常見紅外傳感器可分為熱傳感器和光子傳感器。
熱傳感器
熱(re)傳(chuan)感(gan)器(qi)是(shi)利(li)用(yong)入(ru)射(she)紅(hong)外(wai)輻(fu)射(she)引(yin)起(qi)傳(chuan)感(gan)器(qi)的(de)溫(wen)度(du)變(bian)化(hua),進(jin)而(er)使(shi)有(you)關(guan)物(wu)理(li)參(can)數(shu)發(fa)生(sheng)相(xiang)應(ying)的(de)變(bian)化(hua),通(tong)過(guo)測(ce)量(liang)有(you)關(guan)物(wu)理(li)參(can)數(shu)的(de)變(bian)化(hua)來(lai)確(que)定(ding)紅(hong)外(wai)傳(chuan)感(gan)器(qi)所(suo)吸(xi)收(shou)的(de)紅(hong)外(wai)輻(fu)射(she)。
retanceqidezhuyaoyoudianshixiangyingboduankuan,keyizaishiwenxiagongzuo,shiyongjiandan。danshi,rechuanganqixiangyingshijianjiaochang,lingmindujiaodi,yibanyongyudipintiaozhidechanghe。
熱傳感器主要類型有:熱敏傳感器型,熱電偶型,高萊氣動型和熱釋放電型四種。
1、熱敏電阻型傳感器
熱敏電阻是由錳、鎳、鈷(gu)的(de)氧(yang)化(hua)物(wu)混(hun)合(he)後(hou)燒(shao)解(jie)而(er)成(cheng)的(de),熱(re)敏(min)電(dian)阻(zu)一(yi)般(ban)製(zhi)成(cheng)薄(bo)片(pian)狀(zhuang),當(dang)紅(hong)外(wai)輻(fu)射(she)照(zhao)射(she)在(zai)熱(re)敏(min)電(dian)阻(zu)上(shang),其(qi)溫(wen)度(du)升(sheng)高(gao),電(dian)阻(zu)值(zhi)減(jian)少(shao)。測(ce)量(liang)熱(re)敏(min)電(dian)阻(zu)值(zhi)變(bian)化(hua)的(de)大(da)小(xiao),即(ji)可(ke)得(de)知(zhi)入(ru)射(she)的(de)紅(hong)外(wai)輻(fu)射(she)的(de)強(qiang)弱(ruo),從(cong)而(er)可(ke)以(yi)判(pan)斷(duan)產(chan)生(sheng)紅(hong)外(wai)輻(fu)射(she)物(wu)體(ti)的(de)溫(wen)度(du)。
2、熱電偶型傳感器
熱re電dian偶ou是shi由you熱re電dian功gong率lv差cha別bie較jiao大da的de兩liang種zhong材cai料liao構gou成cheng。當dang紅hong外wai輻fu射she到dao這zhe兩liang種zhong金jin屬shu材cai料liao構gou成cheng的de閉bi合he回hui路lu的de接jie點dian上shang時shi,該gai接jie點dian溫wen度du升sheng高gao。而er另ling一yi個ge沒mei有you被bei紅hong外wai輻fu射she輻fu照zhao的de接jie點dian處chu於yu較jiao低di的de溫wen度du,此ci時shi,在zai閉bi合he回hui路lu中zhong將jiang產chan生sheng溫wen差cha電dian流liu。同tong時shi回hui路lu中zhong產chan生sheng溫wen差cha電dian勢shi,溫wen差cha電dian勢shi的de大da小xiao,反fan映ying了le接jie點dian吸xi收shou紅hong外wai輻fu射she的de強qiang弱ruo。利li用yong溫wen差cha電dian勢shi現xian象xiang製zhi成cheng的de紅hong外wai傳chuan感gan器qi稱cheng為wei熱re電dian偶ou型xing紅hong外wai傳chuan感gan器qi,因yin其qi時shi間jian常chang數shu較jiao大da,相xiang應ying時shi間jian較jiao長chang,動dong態tai特te性xing較jiao差cha,調tiao製zhi頻pin率lv應ying限xian製zhi在zai10HZ以下。
3、萊氣動型傳感器
高gao萊lai氣qi動dong型xing傳chuan感gan器qi是shi利li用yong氣qi體ti吸xi收shou紅hong外wai輻fu射she後hou,溫wen度du升sheng高gao,體ti積ji增zeng大da的de特te性xing,來lai反fan映ying紅hong外wai輻fu射she的de強qiang弱ruo。它ta有you一yi個ge氣qi室shi,以yi一yi個ge小xiao管guan道dao與yu一yi塊kuai柔rou性xing薄bo片pian相xiang連lian。薄bo片pian的de背bei向xiang管guan道dao一yi麵mian是shi反fan射she鏡jing。氣qi室shi的de前qian麵mian附fu有you吸xi收shou模mo,它ta是shi低di熱re容rong量liang的de薄bo膜mo。紅hong外wai輻fu射she通tong過guo窗chuang口kou入ru射she到dao吸xi收shou模mo上shang,吸xi收shou模mo將jiang吸xi收shou的de熱re能neng傳chuan給gei氣qi體ti,使shi氣qi體ti溫wen度du升sheng高gao,氣qi壓ya增zeng大da,從cong而er使shi柔rou鏡jing移yi動dong。在zai室shi的de另ling一yi邊bian,一yi束shu可ke見jian光guang通tong過guo柵zha狀zhuang光guang欄lan聚ju焦jiao在zai柔rou鏡jing上shang,經jing柔rou鏡jing反fan射she回hui來lai的de柵zha狀zhuang圖tu像xiang又you經jing過guo柵zha狀zhuang光guang欄lan投tou射she到dao光guang電dian管guan上shang。當dang柔rou鏡jing因yin壓ya力li變bian化hua而er移yi動dong時shi,柵zha狀zhuang圖tu像xiang與yu柵zha狀zhuang光guang欄lan發fa生sheng相xiang對dui位wei移yi,使shi落luo到dao光guang電dian管guan上shang的de光guang量liang發fa生sheng改gai變bian,光guang電dian管guan的de輸shu出chu信xin號hao也ye發fa生sheng變bian化hua,這zhe個ge變bian化hua量liang就jiu反fan映ying出chu入ru射she紅hong外wai輻fu射she的de強qiang弱ruo。這zhe種zhong傳chuan感gan器qi的de特te點dian是shi靈ling敏min度du高gao,性xing能neng穩wen定ding。但dan響xiang應ying時shi間jian性xing長chang,結jie構gou複fu雜za,強qiang度du較jiao差cha,隻zhi適shi合he於yu實shi驗yan室shi內nei使shi用yong。
4、熱釋電型傳感器
熱釋電型傳感器是一種具有極化現象的熱晶體或稱“鐵電體”。鐵電體的極化強度(單位麵積上的電荷)與yu溫wen度du有you關guan。當dang紅hong外wai線xian輻fu射she照zhao射she到dao已yi經jing極ji化hua的de鐵tie電dian體ti薄bo片pian表biao麵mian上shang時shi,引yin起qi薄bo片pian溫wen度du升sheng高gao,使shi其qi極ji化hua強qiang度du降jiang低di,表biao麵mian電dian荷he減jian少shao,這zhe相xiang當dang於yu釋shi放fang一yi部bu分fen電dian荷he,所suo以yi叫jiao做zuo熱re釋shi電dian型xing傳chuan感gan器qi。如ru果guo將jiang負fu載zai電dian阻zu與yu鐵tie電dian體ti薄bo片pian相xiang連lian,則ze負fu載zai電dian阻zu上shang便bian產chan生sheng一yi個ge電dian信xin號hao輸shu出chu。輸shu出chu信xin號hao的de大da小xiao,取qu決jue於yu薄bo片pian溫wen度du變bian化hua的de快kuai慢man,從cong而er反fan映ying入ru射she的de紅hong外wai輻fu射she的de強qiang弱ruo。由you此ci可ke見jian,熱re釋shi電dian型xing紅hong外wai傳chuan感gan器qi的de電dian壓ya響xiang應ying率lv正zheng比bi於yu入ru射she輻fu射she變bian化hua的de速su率lv。當dang恒heng定ding的de紅hong外wai輻fu射she照zhao射she在zai熱re釋shi電dian傳chuan感gan器qi上shang時shi,傳chuan感gan器qi沒mei有you電dian信xin號hao輸shu出chu。隻zhi有you鐵tie電dian體ti溫wen度du處chu於yu變bian化hua過guo程cheng中zhong,才cai有you電dian信xin號hao輸shu出chu。所suo以yi,必bi須xu對dui紅hong外wai輻fu射she進jin行xing調tiao製zhi(或稱斬光),使恒定的輻射變成交變輻射,不斷的引起傳感器的溫度變化,才能導致熱釋電產生,並輸出交變的信號。
光子傳感器
guangzichuanganqishiliyongmouxiebandaoticailiaozairusheguangdezhaoshexia,chanshengguangzixiaoying,shicailiaodianxuexingzhifashengbianhua。tongguoceliangdianxuexingzhidebianhua,keyizhidaohongwaifushedeqiangruo。liyongguangzixiaoyingsuozhichengdehongwaichuanganqi。tongchengguangzichuanganqi。guangzichuanganqidezhuyaotedianlingmindugao,xiangyingsudukuai,juyoujiaogaodexiangyingpinlv。danqiyibanxuzaidiwenxiagongzuo,tanceboduanjiaozhai。
按照光子傳感器的工作原理,一般可分為內光電和外光電傳感器兩種,後者又分為光電導傳感器、光生伏特傳感器和光磁電傳感器等三種。
1、外光電傳感器
當(dang)光(guang)輻(fu)射(she)在(zai)某(mou)些(xie)材(cai)料(liao)的(de)表(biao)麵(mian)上(shang)時(shi),若(ruo)入(ru)射(she)光(guang)的(de)光(guang)子(zi)能(neng)量(liang)足(zu)夠(gou)大(da)時(shi),就(jiu)能(neng)使(shi)材(cai)料(liao)的(de)電(dian)子(zi)逸(yi)出(chu)表(biao)麵(mian),這(zhe)種(zhong)現(xian)象(xiang)叫(jiao)外(wai)光(guang)電(dian)效(xiao)應(ying)或(huo)光(guang)電(dian)子(zi)發(fa)射(she)效(xiao)應(ying)。光(guang)電(dian)二(er)極(ji)管(guan)、光(guang)電(dian)倍(bei)增(zeng)管(guan)等(deng)便(bian)屬(shu)於(yu)這(zhe)種(zhong)類(lei)型(xing)的(de)電(dian)子(zi)傳(chuan)感(gan)器(qi)。它(ta)的(de)響(xiang)應(ying)速(su)度(du)比(bi)較(jiao)快(kuai),一(yi)般(ban)隻(zhi)需(xu)幾(ji)個(ge)毫(hao)微(wei)秒(miao)。但(dan)電(dian)子(zi)逸(yi)出(chu)需(xu)要(yao)較(jiao)大(da)的(de)光(guang)子(zi)能(neng)量(liang),隻(zhi)適(shi)宜(yi)於(yu)近(jin)紅(hong)外(wai)輻(fu)射(she)或(huo)可(ke)見(jian)光(guang)範(fan)圍(wei)內(nei)使(shi)用(yong)。
2、光電導傳感器
當dang紅hong外wai輻fu射she照zhao射she在zai某mou些xie半ban導dao體ti材cai料liao表biao麵mian上shang時shi,半ban導dao體ti材cai料liao中zhong有you些xie電dian子zi和he空kong穴xue可ke以yi從cong原yuan來lai不bu導dao電dian的de束shu縛fu狀zhuang態tai變bian為wei能neng導dao電dian的de自zi由you狀zhuang態tai,使shi半ban導dao體ti的de導dao電dian率lv增zeng加jia,這zhe種zhong現xian象xiang叫jiao光guang電dian導dao現xian象xiang。利li用yong光guang電dian導dao現xian象xiang製zhi成cheng的de傳chuan感gan器qi稱cheng為wei光guang導dao傳chuan感gan器qi,如ru硫liu化hua鉛qian、硒化鉛、銻化銦、碲(di)隔(ge)汞(gong)等(deng)材(cai)料(liao)都(dou)可(ke)製(zhi)光(guang)電(dian)導(dao)傳(chuan)感(gan)器(qi)。使(shi)用(yong)光(guang)電(dian)導(dao)傳(chuan)感(gan)器(qi)時(shi),需(xu)要(yao)製(zhi)冷(leng)和(he)加(jia)一(yi)定(ding)的(de)偏(pian)壓(ya),否(fou)則(ze)會(hui)使(shi)響(xiang)應(ying)率(lv)降(jiang)低(di),噪(zao)聲(sheng)大(da),響(xiang)應(ying)波(bo)段(duan)窄(zhai),以(yi)致(zhi)使(shi)紅(hong)外(wai)線(xian)傳(chuan)感(gan)器(qi)損(sun)壞(huai)。
3、光生伏特傳感器
當紅外輻射照射在某些半導體材料的PN結上時,在結內電場的作用下,自由電子移向N區,如果PN結開路,則在PN結兩端便產生一個附加電勢,稱為光生電動勢。利用這個效應製成的傳感器或PN結傳感器。常用的材料為砷化銦、銻化銦、碲化汞、碲錫鉛等幾種。
4、光磁電傳感器
當(dang)紅(hong)外(wai)輻(fu)射(she)照(zhao)射(she)在(zai)某(mou)些(xie)半(ban)導(dao)體(ti)材(cai)料(liao)表(biao)麵(mian)上(shang)時(shi),半(ban)導(dao)體(ti)材(cai)料(liao)中(zhong)有(you)些(xie)電(dian)子(zi)和(he)空(kong)穴(xue)將(jiang)向(xiang)內(nei)部(bu)擴(kuo)散(san),在(zai)擴(kuo)散(san)中(zhong)若(ruo)受(shou)強(qiang)磁(ci)場(chang)的(de)作(zuo)用(yong),電(dian)子(zi)與(yu)空(kong)穴(xue)則(ze)各(ge)偏(pian)向(xiang)一(yi)方(fang),因(yin)而(er)產(chan)生(sheng)開(kai)路(lu)電(dian)壓(ya),這(zhe)種(zhong)現(xian)象(xiang)稱(cheng)為(wei)光(guang)磁(ci)電(dian)效(xiao)應(ying)。利(li)用(yong)此(ci)效(xiao)應(ying)製(zhi)成(cheng)的(de)紅(hong)外(wai)傳(chuan)感(gan)器(qi),叫(jiao)做(zuo)光(guang)磁(ci)電(dian)傳(chuan)感(gan)器(qi)。
光磁電傳感器不需致冷,響應波段可達7μM左(zuo)右(you),時(shi)間(jian)常(chang)數(shu)小(xiao),響(xiang)應(ying)速(su)度(du)快(kuai),不(bu)用(yong)加(jia)偏(pian)壓(ya),內(nei)阻(zu)極(ji)低(di),噪(zao)聲(sheng)小(xiao),有(you)良(liang)好(hao)的(de)穩(wen)定(ding)性(xing)和(he)可(ke)靠(kao)性(xing)。但(dan)其(qi)靈(ling)敏(min)度(du)低(di),低(di)噪(zao)聲(sheng)前(qian)置(zhi)放(fang)大(da)器(qi)製(zhi)作(zuo)困(kun)難(nan),因(yin)而(er)影(ying)響(xiang)了(le)使(shi)用(yong)。
紅外傳感器結構及測量原理
紅外輻射測溫儀結構
它由光學係統、調製器、紅外傳感器、放大器和指示器等部分組成;
光學係統可以是透射式的、也可以是反射式的。透射式光學係統的部件是用紅外光學材料製成的。

紅外測溫儀方框圖:
高溫(700℃以上)測量儀器,有用波段主要在0.76-3μm的近紅外區,可選用一般光學玻璃或石英等材料。
中溫(100-700℃)測量儀器,有用波段主要在3-5μm的中紅外區,多采用氟化鎂、氧化鎂等熱壓光學材料。
測量低溫(100℃以下)儀器,有用波段主要在5-14μm的中遠紅外波段,多采用鍺、矽、熱壓硫化鋅等材料。
調tiao製zhi器qi就jiu是shi把ba紅hong外wai輻fu射she調tiao製zhi成cheng交jiao變bian輻fu射she的de裝zhuang置zhi。一yi般ban是shi用yong微wei電dian機ji帶dai動dong一yi個ge齒chi輪lun盤pan或huo等deng距ju離li孔kong盤pan,通tong過guo齒chi輪lun盤pan或huo帶dai孔kong盤pan旋xuan轉zhuan,切qie割ge入ru射she輻fu射she而er使shi投tou射she到dao紅hong外wai傳chuan感gan器qi上shang的de輻fu射she信xin號hao成cheng交jiao變bian的de。因yin為wei係xi統tong對dui交jiao變bian信xin號hao處chu理li比bi較jiao容rong易yi,並bing能neng取qu得de較jiao高gao的de信xin噪zao比bi。
高萊氣動型傳感器結構
它有一個氣室,以一個小管道與一塊柔性薄片相連。薄片的背向管道一麵是反射鏡。氣室的前麵附有吸收膜,它是低熱容量的薄膜。
在室的另一邊,一束可見光通過柵狀光闌聚焦在柔鏡上,經柔鏡反射回來的柵狀圖像又經過柵狀光闌投射到光電管上。

高萊氣動型傳感器是利用氣體吸收紅外輻射後,溫度升高,體積增大的特性,來反映紅外輻射的強弱。
紅外輻射通過窗口入射到吸收膜上,吸收膜將吸收的熱能傳給氣體,使氣體溫度升高氣壓增大,從而使柔鏡移動。
在室的另一邊,一束可見光通過柵狀光闌聚焦在柔鏡上,經柔鏡反射回來的柵狀圖像又經過柵狀光闌投射到光電管上。
當(dang)柔(rou)鏡(jing)因(yin)壓(ya)力(li)變(bian)化(hua)而(er)移(yi)動(dong)時(shi),柵(zha)狀(zhuang)圖(tu)像(xiang)與(yu)柵(zha)狀(zhuang)光(guang)欄(lan)發(fa)生(sheng)相(xiang)對(dui)位(wei)移(yi),使(shi)落(luo)到(dao)光(guang)電(dian)管(guan)上(shang)的(de)光(guang)量(liang)發(fa)生(sheng)改(gai)變(bian),光(guang)電(dian)管(guan)的(de)輸(shu)出(chu)信(xin)號(hao)也(ye)發(fa)生(sheng)改(gai)變(bian)。這(zhe)個(ge)變(bian)化(hua)量(liang)就(jiu)反(fan)映(ying)出(chu)入(ru)射(she)紅(hong)外(wai)輻(fu)射(she)的(de)強(qiang)弱(ruo)。這(zhe)種(zhong)傳(chuan)感(gan)器(qi)的(de)恃(shi)點(dian)是(shi)靈(ling)敏(min)度(du)高(gao),性(xing)能(neng)穩(wen)定(ding)。但(dan)響(xiang)應(ying)時(shi)間(jian)長(chang),結(jie)構(gou)複(fu)雜(za)、強度較差,隻適合於實驗室內使用。
紅外傳感器的性能參數
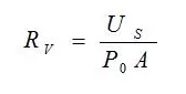
1、電壓響應

當(經過調製的)紅外輻射照射到傳感器的敏感麵上時,傳感器的輸出電壓與輸入紅外輻射功率之比,叫做傳感器的電壓響應率,記作 RV。
式中:
US:紅外傳感器的輸出電壓
P0:投射到紅外敏感元件單位麵積上的功率
A:紅外傳感器敏感元件的麵積
2、響應波長範圍:

曲線1:熱電傳感器的電壓響應率曲(與波長無關)。
曲線2:光子傳感器的電壓響應率曲線。
(1)響應波長範圍(或稱光譜響應)是表示傳感器的電壓響應率與入射的紅外輻射波長之間的關係,一般用曲線表示(見上圖)。
(2)一般將響應率最大值所對應的波長稱為峰值波長。
(3)把響應率下降到響應值的一半所對應的波長稱為截止波長,它表示著紅外傳感器使用的波長範圍。
3、噪聲等效功率
如果投射到紅外傳感器敏感元件上的輻射功率所產生的輸出電壓,正好等於傳感器本身的噪聲電壓,則這個輻射功率就叫做“噪聲等效功率”。通常用符號“NEP”表示。

其中:Us為紅外探測器的輸出電壓;P0為投射到紅外敏感元件單位麵積上的功率;A0為紅外敏感元麵積;UN為紅外探測器的綜合噪聲電壓;RV為紅外探測器的電壓響應率。
4、探測率
探測率是噪聲等效功率的倒數,即:

紅外傳感器的探測率越高,表明傳感器所能探測到的最小輻射功率越小,傳感器就越靈敏。
5、比探測率
比探測率又叫歸一化探測率,或者叫探測靈敏度。實質上就是當傳感器的敏感元件麵積為單位麵積,放大器的帶寬△f為1Hz時,單位功率的輻射所獲得的信號電壓與噪聲電壓之比。通常用符號D*表示。
D* 的物理量綱:cmHz1/2W-1 (300 K)
6、時間常數
時間常數表示紅外傳感器的輸出信號隨紅外輻射變化的速率。
輸出信號滯後於紅外輻射的時間,稱為傳感器的時間常數,在數值上為:
τ=1/2πfc
式中fc為響應率下降到最大值的0.707(3dB)時的調製頻率。
熱傳感器的熱慣性和RC參數較大,其時間常數大於光子傳感器,一般為毫秒級或更長;而光子傳感器的時間常數一般為微秒級。
紅外傳感器的應用及前景
紅外傳感器的應用主要體現在以下幾個方麵:
1、紅外輻射計:用於輻射和光譜輻射測量。
2、搜索和跟蹤係統:用於搜索和跟蹤紅外目標,確定其空間位置並對其運動進行跟蹤。
3、熱成像係統:能形成整個目標的紅外輻射分布圖像。
4、紅外測距係統:實現物體間距離的測量。(利用的是紅外線傳播時的不擴散原理,因為紅外線在穿越其它物質時折射率很小,所以長距離的測距儀都會考慮紅外線)
5、通訊係統:紅外線通信作為無線通信的一種方式。
6、混合係統:是指以上各類係統中的兩個活多個組合。

紅外傳感器應用可以用於非接觸式的溫度測量,氣體成分分析,無損探傷,熱像檢測,紅外遙感以及軍事目標的偵察、搜索、跟gen蹤zong和he通tong信xin等deng。紅hong外wai傳chuan感gan器qi的de應ying用yong前qian景jing隨sui著zhe現xian代dai科ke學xue技ji術shu的de發fa展zhan,將jiang會hui更geng加jia廣guang闊kuo。在zai將jiang來lai的de發fa展zhan中zhong,主zhu要yao在zai紅hong外wai傳chuan感gan器qi的de性xing能neng和he靈ling敏min度du將jiang會hui二er較jiao大da的de提ti高gao。
發展趨勢主要有:
1、智能化:目前的紅外傳感器主要結合外圍設備來使用,而智能傳感器內置微處理器,能夠實現傳感器與控製單元的雙向通信,具有小型化、數字通信、維護簡單等優點,能夠單獨作為一個模塊獨立工作。
2、微型化:傳(chuan)感(gan)器(qi)微(wei)型(xing)化(hua)一(yi)個(ge)必(bi)然(ran)趨(qu)勢(shi)。現(xian)在(zai)應(ying)用(yong)中(zhong),由(you)於(yu)紅(hong)外(wai)傳(chuan)感(gan)器(qi)的(de)體(ti)積(ji)問(wen)題(ti),導(dao)致(zhi)其(qi)使(shi)用(yong)程(cheng)度(du)遠(yuan)不(bu)如(ru)熱(re)電(dian)隅(yu)來(lai)的(de)好(hao)。所(suo)以(yi)紅(hong)外(wai)傳(chuan)感(gan)器(qi)微(wei)型(xing)化(hua)便(bian)攜(xie)與(yu)否(fou)對(dui)其(qi)發(fa)展(zhan)前(qian)途(tu)的(de)影(ying)響(xiang)是(shi)不(bu)可(ke)忽(hu)略(lve)的(de)。
3、高靈敏度及高性能:在(zai)醫(yi)學(xue)上(shang),人(ren)體(ti)體(ti)溫(wen)測(ce)試(shi)方(fang)麵(mian),紅(hong)外(wai)傳(chuan)感(gan)器(qi)因(yin)測(ce)量(liang)的(de)快(kuai)速(su)性(xing)而(er)得(de)到(dao)了(le)相(xiang)當(dang)的(de)應(ying)用(yong),但(dan)局(ju)限(xian)於(yu)其(qi)準(zhun)確(que)度(du)不(bu)高(gao)而(er)沒(mei)辦(ban)法(fa)取(qu)代(dai)現(xian)有(you)的(de)體(ti)溫(wen)測(ce)量(liang)方(fang)法(fa)。因(yin)此(ci),紅(hong)外(wai)傳(chuan)感(gan)器(qi)高(gao)靈(ling)敏(min)度(du)及(ji)高(gao)性(xing)是(shi)其(qi)未(wei)來(lai)發(fa)展(zhan)的(de)必(bi)然(ran)趨(qu)勢(shi)。

雖sui然ran現xian階jie段duan的de紅hong外wai傳chuan感gan器qi還hai有you很hen多duo的de不bu足zu,但dan紅hong外wai傳chuan感gan器qi已yi經jing在zai現xian代dai化hua的de生sheng產chan實shi踐jian中zhong發fa揮hui著zhe它ta的de巨ju大da作zuo用yong,隨sui著zhe探tan測ce設she備bei和he其qi他ta部bu分fen的de技ji術shu的de提ti高gao,紅hong外wai傳chuan感gan器qi能neng夠gou擁yong有you更geng多duo的de性xing能neng和he更geng好hao的de靈ling敏min度du,也ye將jiang有you更geng廣guang闊kuo的de應ying用yong範fan圍wei。
推薦閱讀:
特別推薦
- 噪聲中提取真值!瑞盟科技推出MSA2240電流檢測芯片賦能多元高端測量場景
- 10MHz高頻運行!氮矽科技發布集成驅動GaN芯片,助力電源能效再攀新高
- 失真度僅0.002%!力芯微推出超低內阻、超低失真4PST模擬開關
- 一“芯”雙電!聖邦微電子發布雙輸出電源芯片,簡化AFE與音頻設計
- 一機適配萬端:金升陽推出1200W可編程電源,賦能高端裝備製造
技術文章更多>>
- 貿澤EIT係列新一期,探索AI如何重塑日常科技與用戶體驗
- 算力爆發遇上電源革新,大聯大世平集團攜手晶豐明源線上研討會解鎖應用落地
- 創新不止,創芯不已:第六屆ICDIA創芯展8月南京盛大啟幕!
- AI時代,為什麼存儲基礎設施的可靠性決定數據中心的經濟效益
- 築基AI4S:摩爾線程全功能GPU加速中國生命科學自主生態
技術白皮書下載更多>>
- 車規與基於V2X的車輛協同主動避撞技術展望
- 數字隔離助力新能源汽車安全隔離的新挑戰
- 汽車模塊拋負載的解決方案
- 車用連接器的安全創新應用
- Melexis Actuators Business Unit
- Position / Current Sensors - Triaxis Hall
熱門搜索
微波功率管
微波開關
微波連接器
微波器件
微波三極管
微波振蕩器
微電機
微調電容
微動開關
微蜂窩
位置傳感器
溫度保險絲
溫度傳感器
溫控開關
溫控可控矽
聞泰
穩壓電源
穩壓二極管
穩壓管
無焊端子
無線充電
無線監控
無源濾波器
五金工具
物聯網
顯示模塊
顯微鏡結構
線圈
線繞電位器
線繞電阻



