基於簡單降壓控製器的精密雙極性電源設計
發布時間:2019-01-15 來源:Victor Khasiev 責任編輯:wenwei
【導讀】工業、汽車、IT和網絡公司是電源電子、半導體、器件和係統的主要購買者與消費者。這些公司使用各種可用的DC-DC轉換器拓撲結構,采用不同形式的降壓、升壓和SEPIC結(jie)構(gou)。理(li)想(xiang)情(qing)況(kuang)下(xia),這(zhe)些(xie)公(gong)司(si)會(hui)針(zhen)對(dui)每(mei)個(ge)新(xin)項(xiang)目(mu)使(shi)用(yong)專(zhuan)門(men)的(de)控(kong)製(zhi)器(qi)。然(ran)而(er),采(cai)用(yong)新(xin)芯(xin)片(pian)需(xu)要(yao)大(da)量(liang)投(tou)資(zi),因(yin)為(wei)必(bi)須(xu)花(hua)費(fei)很(hen)多(duo)時(shi)間(jian)和(he)成(cheng)本(ben)來(lai)測(ce)試(shi)新(xin)器(qi)件(jian)是(shi)否(fou)符(fu)合(he)汽(qi)車(che)標(biao)準(zhun),以(yi)及(ji)驗(yan)證(zheng)其(qi)在(zai)特(te)定(ding)應(ying)用(yong)、條件和設備中的功能。顯然,為了降低開發和設計成本,不同應用應采用已經過批準和驗證的控製器。
用(yong)於(yu)生(sheng)成(cheng)電(dian)源(yuan)的(de)最(zui)常(chang)用(yong)拓(tuo)撲(pu)結(jie)構(gou)是(shi)降(jiang)壓(ya)轉(zhuan)換(huan)器(qi)。但(dan)是(shi),這(zhe)種(zhong)拓(tuo)撲(pu)結(jie)構(gou)僅(jin)限(xian)於(yu)從(cong)高(gao)於(yu)輸(shu)出(chu)的(de)輸(shu)入(ru)電(dian)壓(ya)產(chan)生(sheng)正(zheng)輸(shu)出(chu)。當(dang)輸(shu)入(ru)電(dian)壓(ya)低(di)於(yu)輸(shu)出(chu)電(dian)壓(ya)時(shi),不(bu)能(neng)直(zhi)接(jie)利(li)用(yong)它(ta)來(lai)產(chan)生(sheng)負(fu)電(dian)壓(ya)或(huo)提(ti)供(gong)穩(wen)定(ding)的(de)輸(shu)出(chu)。產(chan)生(sheng)輸(shu)出(chu)的(de)這(zhe)兩(liang)個(ge)方(fang)麵(mian)在(zai)汽(qi)車(che)電(dian)子(zi)中(zhong)均(jun)很(hen)重(zhong)要(yao),因(yin)為(wei)需(xu)要(yao)負(fu)電(dian)壓(ya)來(lai)為(wei)放(fang)大(da)器(qi)供(gong)電(dian),或(huo)者(zhe)當(dang)輸(shu)入(ru)電(dian)壓(ya)軌(gui)顯(xian)著(zhu)降(jiang)低(di)時(shi),在(zai)冷(leng)起(qi)動(dong)的(de)情(qing)況(kuang)下(xia)整(zheng)個(ge)係(xi)統(tong)必(bi)須(xu)連(lian)續(xu)正(zheng)常(chang)工(gong)作(zuo)。本(ben)文(wen)詳(xiang)細(xi)介(jie)紹(shao)了(le)在(zai)SEPIC、Cuk和升壓轉換器中使用簡單降壓控製器的方法。
從公共輸入軌產生負電壓和正電壓
圖1顯示了基於單個降壓控製器(具有兩路輸出)的雙極性電源設計。

圖1. LTC3892的電氣原理圖,可產生正負電壓。VOUT1為10 A、3.3 V,VOUT2為3 A、-12 V。
為了最大限度地利用該芯片,必須使用一路輸出來產生正電壓,使用第二路輸出來產生負電壓。此電路的輸入電壓範圍為6 V至40 V。VOUT1產生10 A、3.3 V的正電壓,VOUT2產生3 A、-12 V的負電壓。兩路輸出均由U1控製。第一路輸出VOUT1是簡單的降壓轉換器。第二路輸出的結構更複雜一些。VOUT2相對於GND為負,故使用差分放大器U2來檢測負電壓並將其調整為0.8 V基準電壓。在這種方法中,U1和U2均以係統GND為基準,這大大簡化了電源的控製和功能。如果需要其他輸出電壓,以下表達式有助於計算RF2和RF3的電阻值。

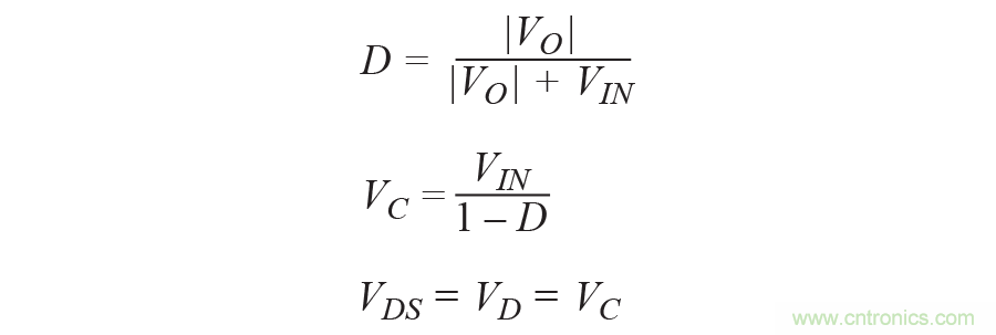
VOUT2電源係采用Cuk拓撲結構,相關技術文獻中對此有廣泛介紹。 為了解電源係元件上的電壓,需要使用以下基本公式。

VOUT2效率曲線如圖2所示。這種方法的LTspice®仿真模型參見 此處在本例中,LTC3892 轉換器的輸入為10 V至20 V。輸出電壓為10 A、 +5 V和5 A、-5 V。

圖2. 14 V輸入電壓時負輸出的效率曲線。
從波動輸入軌產生穩定電壓

圖3. SEPIC結構的LTC3892在降壓應用中的電氣原理圖。
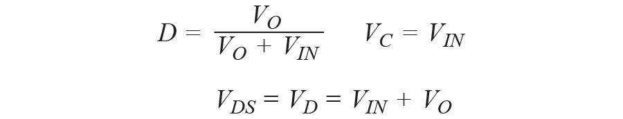
圖3所示轉換器的電氣原理圖支持兩路輸出:VOUT1為10A、3.3 V,VOUT2為3 A、12 V。輸入電壓範圍為6 V至40 V。VOUT1以類似方式創建,如圖1所示。第二路輸出是SEPIC轉換器。與上麵的Cuk一樣,該SEPIC轉換器基於非耦合的雙分立電感解決方案。分立扼流圈的使用顯著擴大了可用磁性材料的範圍,這對於成本敏感型器件非常重要。

圖4和圖5顯示了該轉換器在電壓下降和達到尖峰時(例如在冷起動或電源切斷時)的功能。軌電壓VIN圍繞相對標稱值12 V下降或上升。但是,VOUT1和VOUT2均處於穩壓狀態,為關鍵負載提供穩定的電源。雙電感SEPIC轉換器可以輕鬆重新連接成單電感升壓轉換器。

圖4. 軌電壓從14 V降至7 V,VOUT1和VOUT2均處於穩壓狀態。

圖5. 軌電壓從14 V升至24 V,但VOUT1和VOUT2均處於穩壓狀態。
相關LTspice仿真模型參見 此處。它顯示LTC3892轉換器的輸入為10 V至20 V。輸出電壓為10 A、+5 V和5 A、-5 V。
結論
本文介紹了基於降壓控製器構建雙極性和雙輸出電源的方法。這種方法支持在降壓、升壓、SEPIC和Cuktuopuzhongshiyongxiangtongdekongzhiqi。zheduiyuqichehegongyedianzigongyingshanglaishuofeichangzhongyao,yinweiyidanjingguohezhun,tamenbiankejiyutongyikongzhiqishejichutigonggezhongshuchudianyadedianyuan。
作者
Victor Khasiev is a Senior Application Engineer at ADI. Victor has extensive experience in power electronics both in AC/DC and DC/DC conversion. He holds two patents and wrote multiple articles. These article related to use ADI semiconductors in automotive and industrial applications. They cover step-up, step-down, SEPIC, positive-to-negative, negative-to-negative, flyback, forward converters and bidirectional backup supplies. His patents are about efficient power factor correction solutions and advanced gate drivers. Victor enjoys supporting ADI customers: answering questions about ADI products, design and verification power supplies schematics, layout of the print circuit boards, troubleshooting and participating in testing final systems.
推薦閱讀:
特別推薦
- 噪聲中提取真值!瑞盟科技推出MSA2240電流檢測芯片賦能多元高端測量場景
- 10MHz高頻運行!氮矽科技發布集成驅動GaN芯片,助力電源能效再攀新高
- 失真度僅0.002%!力芯微推出超低內阻、超低失真4PST模擬開關
- 一“芯”雙電!聖邦微電子發布雙輸出電源芯片,簡化AFE與音頻設計
- 一機適配萬端:金升陽推出1200W可編程電源,賦能高端裝備製造
技術文章更多>>
- 貿澤EIT係列新一期,探索AI如何重塑日常科技與用戶體驗
- 算力爆發遇上電源革新,大聯大世平集團攜手晶豐明源線上研討會解鎖應用落地
- 創新不止,創芯不已:第六屆ICDIA創芯展8月南京盛大啟幕!
- AI時代,為什麼存儲基礎設施的可靠性決定數據中心的經濟效益
- 矽典微ONELAB開發係列:為毫米波算法開發者打造的全棧工具鏈
技術白皮書下載更多>>
- 車規與基於V2X的車輛協同主動避撞技術展望
- 數字隔離助力新能源汽車安全隔離的新挑戰
- 汽車模塊拋負載的解決方案
- 車用連接器的安全創新應用
- Melexis Actuators Business Unit
- Position / Current Sensors - Triaxis Hall
熱門搜索





