DC-DC開關穩壓器—— 在DSP係統中延長電池壽命
發布時間:2018-10-22 責任編輯:wenwei
【導讀】長期以來,MP3播放器、個人媒體播放器、shumaxiangjiyijiqitabianxieshixiaofeileiyingyongdeshejirenyuanmianlindeyixiangtiaozhanshishixianchanpindegaoxingnenghedigonghao。zhexiedianchigongdianxitongtongchangdoushiyongqianrushishuzixinhaochuliqi(DSP),當係統處理多媒體應用任務時,DSP能達到最大處理能力,而當係統處於睡眠模式時,DSP具有最小的功耗。電池壽命在手持式產品中是非常重要的指標,產品成功與否與供電係統的效率直接相關。
此類係統中的一個關鍵部件是降壓式DC-DC開關穩壓器,它能夠高效地從較高電壓獲得較低的供電電壓,如從4.5 V獲得1Vdegongdiandianya。zuoweiwenyaqi,qibixubaochihengdingdedianya,erqienenggouduishurudianyadebianhuayijifuzaidianliudebianhuaxunsuzuochuxiangying。benwenjiangtaolundejiagoujuyouyouliangdewenyaxingnengyijigaoxiaolvhekuaisuxiangyingdeyoudian。
開關穩壓器剖析
圖1示出了ADI公司ADP2102的典型應用電路,這是一款低占空比、3 MHz同步整流降壓轉換器。ADP2102具有固定輸出電壓和可調輸出電壓的多種配置。這裏將ADP2102連接成固定輸出電壓配置,由5.5 V的輸入電壓產生300mA、0.8 V輸出電壓。接下來給出輸出電壓可調的應用示例。

圖1. 使用ADP2102由5.5 V輸入產生0.8 V輸出
這裏將簡單地解釋該電路的工作原理:將DC輸(shu)出(chu)電(dian)壓(ya)的(de)分(fen)壓(ya)與(yu)誤(wu)差(cha)放(fang)大(da)器(qi)中(zhong)的(de)內(nei)部(bu)參(can)考(kao)源(yuan)比(bi)較(jiao),然(ran)後(hou)將(jiang)誤(wu)差(cha)放(fang)大(da)器(qi)的(de)輸(shu)出(chu)與(yu)電(dian)流(liu)采(cai)樣(yang)放(fang)大(da)器(qi)的(de)輸(shu)出(chu)比(bi)較(jiao),以(yi)驅(qu)動(dong)單(dan)穩(wen)態(tai)觸(chu)發(fa)器(qi)。單(dan)穩(wen)態(tai)觸(chu)發(fa)器(qi)在(zai)由(you)VOUT/VIN確定的時間周期內處於暫穩態。單穩態觸發器使上麵的門控晶體管導通,電感L1中的電流逐漸變大。當單穩態觸發器的暫穩態結束時,晶體管截止,電感L1中的電流逐漸變小。在由最小關斷時間定時器和最小(“穀值”)電流確定的時間間隔之後,單穩態觸發器再次被觸發。芯片內的單穩態觸發定時器使用輸入電壓前饋,使得穩態時保持恒定的頻率。
該振蕩以不確定的頻率(大約為3MHz)chixujinxing,danshizaibiyaodeqingkuangxiakeyixiangyingxianluhefuzaideshuntaibianhuaerpianligaipinlv,yibianshuchudianyabaochihengding,bingqieshidiangandianliudepingjunzhibaochizaishuchufuzaisuoxuyaodedianliuzhi。
上文描述的方法是相對新穎的。多年來,DC-DC變換的主要方法是恒頻峰值電流方法,當該方法在降壓式DC-DC轉換器中實現時,其還被稱為後沿調製。有關該方法的詳細描述、對其優缺點的評估以及上文描述的恒定導通時間穀值電流模式轉換器,請參考其他技術文章。
ADP2012還具有欠壓閉鎖功能、軟啟動功能、過熱保護功能和短路保護功能,並且具有±1%的反饋精度。該架構能夠使主開關的導通時間低至60 ns或更低。
圖2示出了不同條件下的典型波形。圖2a示出了在ILOAD=600mA,電壓從VIN=5.5V減小到VOUT=0.8V時的低占空比。如圖中所示,在3MHz的開關頻率下,可以獲得45 ns的最小導通時間。
圖2b示出了負載電流突增300mA時,負載電流和電感電流波形。
圖2c示出了負載電流突減300mA時,負載電流和電感電流波形。
圖2d示出了在占空比為50%時不存在次諧波振蕩,而使用峰值電流模式控製時必須在設計時加以考慮。當占空比大於或小於50%時,同樣不存在次諧波振蕩。

圖 2a.VIN= 5.5 V, VOUT= 0.8 V, 最小導通時間=45 ns

圖 2b. 突加負載瞬態響應(ILOAD= 300 mA)

圖2c. 突減負載瞬態響應 (ILOAD= 300 mA)

圖2d. 占空比 = 50%, VIN= 3.3 V, VOUT= 1.8 V, ILOAD= 300 mA
DSP應用中的動態電壓調節
在使用DSP的便攜式應用中,通常由開關轉換器提供DSP的內核電壓和I/O電壓,這需要使用電池供電應用的高效率DC-DC轉(zhuan)換(huan)器(qi)。提(ti)供(gong)內(nei)核(he)電(dian)壓(ya)的(de)穩(wen)壓(ya)器(qi)必(bi)須(xu)能(neng)夠(gou)基(ji)於(yu)處(chu)理(li)器(qi)的(de)時(shi)鍾(zhong)速(su)度(du)動(dong)態(tai)改(gai)變(bian)電(dian)壓(ya)或(huo)者(zhe)按(an)照(zhao)軟(ruan)件(jian)的(de)指(zhi)令(ling)動(dong)態(tai)改(gai)變(bian)電(dian)壓(ya)。另(ling)外(wai),整(zheng)體(ti)解(jie)決(jue)方(fang)案(an)的(de)小(xiao)尺(chi)寸(cun)也(ye)同(tong)樣(yang)重(zhong)要(yao)。
這裏描述的是,在電池供電的應用中將Blackfin®處理器的內部穩壓器更換為外部高效率穩壓器,以提高係統供電效率。而且,這裏還介紹了用於外部穩壓器的控製軟件。
動態電源管理
處理器的功耗與工作電壓(VCORE)的平方成正比,並且與工作頻率(FSW)成正比。因此,降低頻率能夠使動態功耗線性下降,而降低內核電壓可以使動態功耗指數下降。
在對功耗敏感的應用中,當DSPjinjiandandijianshixitonghuodonghuozhedengdaiwaibuchufaxinhaoshi,zaibaochigongdiandianyabubiandeqingkuangxiagaibianshizhongpinlv,zheduijiangdigonghaoshifeichangyouyongde。raner,zaigaoxingnengdianchigongdiandeyingyongzhong,jingaibianpinlvbingbunengxianzhujieyuedianneng。Blackfin處理器以及其他的具有高級電源管理功能的DSP可以依次改變內核電壓和頻率,由此可以在任何情況下均實現最優的電池利用。
ADSP-BF53x係列Blackfin處理器中的動態電壓的穩壓通常是由內部電壓控製器和外部MOSFET實現的。該方法的優點在於,可以將單電壓(VDDEXT)施加到DSP子係統,從MOSFET得到的所需的內核電壓(VDDINT)。通過內部寄存器可以軟件控製內核電壓,以便於控製MIPS,並且最終控製能耗,由此實現最優的電池壽命。
為了完整地實現Blackfin內部穩壓方案,需要一個外部MOSFET、肖特基二極管、大電感和多個輸出電容器,該解決方案價格相對昂貴,效率卻很差,而且占用的PCBbanmianjishixiangduijiaodade,zhegeixitongshejirenyuandailailehendademaodun,zaijichengwenyaqizhongxuyaoshiyongdadianganhedianrongqi,buliyuxiaofeizhesuoxiwangdebianxieshishebeijinkenengxiaoxinghua。gaijichengwenyakongzhiqidexiaolvshixiangduijiaodi,tongchangjinwei50%~70%,因此該方法不太適用於高性能手持式電池供電應用。
外部穩壓
通過新型DC-DC開關轉換器設計方法,可以將Blackfin集成方法本身的效率提高到90%或更高。而且,在使用外部穩壓器時可以減小外部元件的尺寸。
還可以使用多種動態電壓調整(DVS)控製方案,包括開關電阻器(其在某些情況中可由DAC實現)和脈寬調製(PWM)(其可以實現與內部方法相同的精度)。bulunshiyongnazhongfangan,qibixunenggoutongguoruanjiankongzhigaibianwenyadianping。shangshuwenyakongzhifangfazaineibuwenyaqishijichengde,erzaiwaibuwenyazhongbixutongguowaijiaqijianlaishixian。
本文描述了兩種使用ADP2102同步DC-DC轉換器調節DSP內核電壓的方法,當處理器在低時鍾速度下運行時,可動態地將內核電壓從1.2 V調節到1.0V。
ADP2102高速同步開關轉換器在由2.7V~5.5V的電池電壓供電時,可以使內核電壓低到0.8 V。其恒定導通時間的電流模式控製以及3MHz開關頻率提供了優良的動態響應、非常高的效率和出色的源調整率和負載調整率。較高的開關頻率允許係統使用超小型多層電感和陶瓷電容器。ADP2102采用3 mm×3 mm LFCSP封裝,節約了空間,僅需要三或四個外部元件。而且ADP2102包括完善的功能,諸如各種安全特征,如欠壓閉鎖、短路保護和過熱保護。
圖3示出了實現DVS的電路。ADSP-BF533 EZ-KIT Lite®評估板上的3.3 V電源為降壓轉換器ADP2102供電,使用外部電阻分壓器R1和R2將ADP2102的輸出電壓設定為1.2 V。DSP的GPIO引腳用於選擇所需的內核電壓。改變反饋電阻值可以在1.2 V~1.0 V的範圍內調節內核電壓。通過與R2並聯的電阻R3,N溝MOSFET可以修改分壓器。相比於R3,IRLML2402的RDSon較小,僅為0.25 Ω。3.3 V的GPIO電壓用於驅動MOSFET的柵極。為了獲得更好的瞬態性能並改善負載調整率,需要加入前饋電容器CFF。

圖3. 使用外部MOSFET和Blackfin PWM控製進行ADP2102的動態電壓調整
對於雙電平開關,一般的應用要求是:
DSP內核電壓 (VOUT1) = 1.2 VDSP內核電壓 (VOUT2) = 1.0 V輸入電壓 = 3.3 V輸出電流 = 300 mA
使(shi)用(yong)高(gao)阻(zu)值(zhi)的(de)分(fen)壓(ya)電(dian)阻(zu)可(ke)將(jiang)功(gong)率(lv)損(sun)失(shi)降(jiang)到(dao)最(zui)低(di)。前(qian)饋(kui)電(dian)容(rong)在(zai)開(kai)關(guan)過(guo)程(cheng)中(zhong)降(jiang)低(di)柵(zha)漏(lou)電(dian)容(rong)的(de)影(ying)響(xiang)。通(tong)過(guo)使(shi)用(yong)較(jiao)小(xiao)的(de)反(fan)饋(kui)電(dian)阻(zu)和(he)較(jiao)大(da)的(de)前(qian)饋(kui)電(dian)容(rong)可(ke)以(yi)使(shi)該(gai)暫(zan)態(tai)過(guo)程(cheng)中(zhong)引(yin)起(qi)的(de)過(guo)衝(chong)或(huo)下(xia)衝(chong)最(zui)小(xiao),但(dan)這(zhe)是(shi)以(yi)額(e)外(wai)的(de)功(gong)耗(hao)為(wei)代(dai)價(jia)的(de)。
圖4示出了輸出電流IOUT、輸出電壓VOUT和控製電壓VSEL。VSEL為低電平時,輸出電壓為1.0 V,VSEL為高電平時,輸出電壓為1.2 V。

圖4. 通過MOSFET調節下麵的反饋電阻器
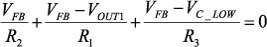
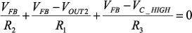
一種較簡單的方法可生成用於DVS的兩個不同的電壓,其使用控製電壓VC通過另外的電阻將電流注入到反饋網絡中。調節控製電壓的占空比可以改變其平均DC電平。因此使用一個控製電壓和電阻可以調節輸出電壓。下麵的公式用於計算電阻R2、R3的值以及控製電壓幅度電平VC_LOW和VC_HIGH.
對於VOUT1= 1.2 V,VOUT2= 1.0 V,VFB= 0.8 V,VC_LOW= 3.3 V,VC_HIGH =0 V, 和R1= 49.9 kohm,R2andR3可以如下計算
該方法產生了更加平滑的變換。不同於MOSFET開關方法,能夠驅動電阻負載的任何控製電壓均可用於該方案,而MOSFET開kai關guan方fang法fa僅jin能neng夠gou用yong於yu驅qu動dong電dian容rong負fu載zai的de控kong製zhi信xin號hao源yuan。該gai方fang法fa可ke以yi適shi用yong於yu任ren何he輸shu出chu電dian壓ya組zu合he和he輸shu出chu負fu載zai電dian流liu。因yin此ci,根gen據ju需xu要yao調tiao整zheng內nei核he電dian壓ya,便bian可ke以yi降jiang低diDSP的功耗。圖5示出了使用該電流注入方法的兩個輸出電壓之間的變換。

圖5. 使用控製電壓 VC進行ADP2102的動態電壓調整

圖6. 通過控製電壓調節下麵的反饋電阻器
推薦閱讀:
特別推薦
- 噪聲中提取真值!瑞盟科技推出MSA2240電流檢測芯片賦能多元高端測量場景
- 10MHz高頻運行!氮矽科技發布集成驅動GaN芯片,助力電源能效再攀新高
- 失真度僅0.002%!力芯微推出超低內阻、超低失真4PST模擬開關
- 一“芯”雙電!聖邦微電子發布雙輸出電源芯片,簡化AFE與音頻設計
- 一機適配萬端:金升陽推出1200W可編程電源,賦能高端裝備製造
技術文章更多>>
- 貿澤EIT係列新一期,探索AI如何重塑日常科技與用戶體驗
- 算力爆發遇上電源革新,大聯大世平集團攜手晶豐明源線上研討會解鎖應用落地
- 創新不止,創芯不已:第六屆ICDIA創芯展8月南京盛大啟幕!
- AI時代,為什麼存儲基礎設施的可靠性決定數據中心的經濟效益
- 矽典微ONELAB開發係列:為毫米波算法開發者打造的全棧工具鏈
技術白皮書下載更多>>
- 車規與基於V2X的車輛協同主動避撞技術展望
- 數字隔離助力新能源汽車安全隔離的新挑戰
- 汽車模塊拋負載的解決方案
- 車用連接器的安全創新應用
- Melexis Actuators Business Unit
- Position / Current Sensors - Triaxis Hall
熱門搜索
微波功率管
微波開關
微波連接器
微波器件
微波三極管
微波振蕩器
微電機
微調電容
微動開關
微蜂窩
位置傳感器
溫度保險絲
溫度傳感器
溫控開關
溫控可控矽
聞泰
穩壓電源
穩壓二極管
穩壓管
無焊端子
無線充電
無線監控
無源濾波器
五金工具
物聯網
顯示模塊
顯微鏡結構
線圈
線繞電位器
線繞電阻




