一文讀懂風向風速傳感器
發布時間:2018-08-20 責任編輯:wenwei
【導讀】ruheceliangfengsuhefengxiang,qishizaigudaihenzaojiuyijingchuxian,zhumingdezhugeliangjiedongfenghuoshaobi,jiushiyinweiyouxiaodezhangwolefengxianghefengsufangmiandezhishi,congerqudelejunshidezhongdashengli。

作zuo為wei一yi種zhong對dui天tian氣qi測ce量liang的de設she備bei,用yong來lai測ce量liang風feng的de方fang向xiang在zai大da小xiao的de的de風feng速su傳chuan感gan器qi和he風feng向xiang傳chuan感gan器qi在zai各ge行xing各ge業ye也ye得de到dao了le廣guang泛fan的de應ying用yong,下xia麵mian我wo們men就jiu看kan看kan這zhe兩liang種zhong設she備bei。
風向傳感器
風向傳感器是以風向箭頭的轉動探測、感受外界的風向信息,並將其傳遞給同軸碼盤,同時輸出對應風向相關數值的一種物理裝置。

tongchangfengxiangchuanganqizhutidoucaiyongfengxiangbiaodejixiejiegou,dangfengchuixiangfengxiangbiaodeweibudeweiyideshihou,fengxiangbiaodejiantoujiuhuizhifengchuiguolaidefangxiang。weilebaochiduiyufangxiangdeminganxing,tongshihaicaiyongbutongdeneibujigoulaigeifengsuchuanganqibianbiefangxiang。tongchangyouyixiasanlei:
電磁式風向傳感器:liyongdianciyuanlisheji,youyuyuanlizhongleijiaoduo,suoyijiegouyuyousuobutong,muqianbufencileichuanganqiyijingkaishiliyongtuoluoyixinpianhuozhedianziluopanzuoweijibenyuanjian,qiceliangjingdudedaolejinyibudetigao。
光電式風向傳感器:這zhe種zhong風feng向xiang傳chuan感gan器qi采cai用yong絕jue對dui式shi格ge雷lei碼ma盤pan作zuo為wei基ji本ben元yuan件jian,並bing且qie使shi用yong了le特te殊shu定ding製zhi的de編bian碼ma編bian碼ma,以yi光guang電dian信xin號hao轉zhuan換huan原yuan理li,可ke以yi準zhun確que的de輸shu出chu相xiang對dui應ying的de風feng向xiang信xin息xi。

電阻式風向傳感器:這種風向傳感器采用類似滑動變阻器的結構,將產生的電阻值的最大值與最小值分別標成360°與0°,當dang風feng向xiang標biao產chan生sheng轉zhuan動dong的de時shi候hou,滑hua動dong變bian阻zu器qi的de滑hua杆gan會hui隨sui著zhe頂ding部bu的de風feng向xiang標biao一yi起qi轉zhuan動dong,而er產chan生sheng的de不bu同tong的de電dian壓ya變bian化hua就jiu可ke以yi計ji算suan出chu風feng向xiang的de角jiao度du或huo者zhe方fang向xiang了le。
風速傳感器
風速傳感器是一種可以連續測量風速和風量(風量=風速x橫截麵積)大小的常見傳感器。

風速傳感器大體上分為機械式(主要有螺旋槳式、風杯式)風速傳感器、熱風式風速傳感器、皮托管風速傳感器和基於聲學原理的超聲波風速傳感器。
螺旋槳式風速傳感器工作原理

我(wo)們(men)知(zhi)道(dao)電(dian)扇(shan)由(you)電(dian)動(dong)機(ji)帶(dai)動(dong)風(feng)扇(shan)葉(ye)片(pian)旋(xuan)轉(zhuan),在(zai)葉(ye)片(pian)前(qian)後(hou)產(chan)生(sheng)一(yi)個(ge)壓(ya)力(li)差(cha),推(tui)動(dong)氣(qi)流(liu)流(liu)動(dong)。螺(luo)旋(xuan)漿(jiang)式(shi)風(feng)速(su)計(ji)的(de)工(gong)作(zuo)原(yuan)理(li)恰(qia)好(hao)與(yu)此(ci)相(xiang)反(fan),對(dui)準(zhun)氣(qi)流(liu)的(de)葉(ye)片(pian)係(xi)統(tong)受(shou)到(dao)風(feng)壓(ya)的(de)作(zuo)用(yong),產(chan)生(sheng)一(yi)定(ding)的(de)扭(niu)力(li)矩(ju)使(shi)葉(ye)片(pian)係(xi)統(tong)旋(xuan)轉(zhuan)。通(tong)常(chang)螺(luo)旋(xuan)槳(jiang)式(shi)速(su)傳(chuan)感(gan)器(qi)通(tong)過(guo)一(yi)組(zu)三(san)葉(ye)或(huo)四(si)葉(ye)螺(luo)旋(xuan)槳(jiang)繞(rao)水(shui)平(ping)軸(zhou)旋(xuan)轉(zhuan)來(lai)測(ce)量(liang)風(feng)速(su),螺(luo)旋(xuan)槳(jiang)一(yi)般(ban)裝(zhuang)在(zai)一(yi)個(ge)風(feng)標(biao)的(de)前(qian)部(bu),使(shi)其(qi)旋(xuan)轉(zhuan)平(ping)麵(mian)始(shi)終(zhong)正(zheng)對(dui)風(feng)的(de)來(lai)向(xiang),它(ta)的(de)轉(zhuan)速(su)正(zheng)比(bi)於(yu)風(feng)速(su)。
風杯式風速傳感器工作原理

風(feng)杯(bei)式(shi)風(feng)速(su)傳(chuan)感(gan)器(qi),是(shi)一(yi)種(zhong)十(shi)分(fen)常(chang)見(jian)的(de)風(feng)速(su)傳(chuan)感(gan)器(qi),最(zui)早(zao)由(you)英(ying)國(guo)魯(lu)賓(bin)孫(sun)發(fa)明(ming)。感(gan)應(ying)部(bu)分(fen)是(shi)由(you)三(san)個(ge)或(huo)四(si)個(ge)圓(yuan)錐(zhui)形(xing)或(huo)半(ban)球(qiu)形(xing)的(de)空(kong)杯(bei)組(zu)成(cheng)。空(kong)心(xin)杯(bei)殼(ke)固(gu)定(ding)在(zai)互(hu)成(cheng)120°的三叉星形支架上或互成90°的十字形支架上,杯的凹麵順著一個方向排列,整個橫臂架則固定在一根垂直的旋轉軸上。
當風從左方吹來時,風杯1與風向平行,風對風杯1的壓力在最直於風杯軸方向上的分力近似為零。風杯2與3同風向成60度角相交,對風杯2而言,其凹麵迎著風,承受的風壓最大;風杯3其凸麵迎風,風的繞流作用使其所受風壓比風杯2小,由於風杯2與風杯3在垂直於風杯軸方向上的壓力差,而使風杯開始順時針方向旋轉,風速越大,起始的壓力差越大,產生的加速度越大,風杯轉動越快。

風杯開始轉動後,由於杯2順著風的方向轉動,受風的壓力相對減小,而杯3迎著風以同樣的速度轉動,所受風壓相對增大,風壓差不斷減小,經過一段時間後(風速不變時),作用在三個風杯上的分壓差為零時,風杯就變作勻速轉動。這樣根據風杯的轉速(每秒鍾轉的圈數)就可以確定風速的大小。
當(dang)風(feng)杯(bei)轉(zhuan)動(dong)時(shi),帶(dai)動(dong)同(tong)軸(zhou)的(de)多(duo)齒(chi)截(jie)光(guang)盤(pan)或(huo)磁(ci)棒(bang)轉(zhuan)動(dong),通(tong)過(guo)電(dian)路(lu)得(de)到(dao)與(yu)風(feng)杯(bei)轉(zhuan)速(su)成(cheng)正(zheng)比(bi)的(de)脈(mai)衝(chong)信(xin)號(hao),該(gai)脈(mai)衝(chong)信(xin)號(hao)由(you)計(ji)數(shu)器(qi)計(ji)數(shu),經(jing)換(huan)算(suan)後(hou)就(jiu)能(neng)得(de)出(chu)實(shi)際(ji)風(feng)速(su)值(zhi)。目(mu)前(qian)新(xin)型(xing)轉(zhuan)杯(bei)風(feng)速(su)表(biao)均(jun)是(shi)采(cai)用(yong)三(san)杯(bei)的(de),並(bing)且(qie)錐(zhui)形(xing)杯(bei)的(de)性(xing)能(neng)比(bi)半(ban)球(qiu)形(xing)的(de)好(hao),當(dang)風(feng)速(su)增(zeng)加(jia)時(shi)轉(zhuan)杯(bei)能(neng)迅(xun)速(su)增(zeng)加(jia)轉(zhuan)速(su),以(yi)適(shi)應(ying)氣(qi)流(liu)速(su)度(du),風(feng)速(su)減(jian)小(xiao)時(shi),由(you)於(yu)慣(guan)性(xing)影(ying)響(xiang),轉(zhuan)速(su)卻(que)不(bu)能(neng)立(li)即(ji)下(xia)降(jiang),旋(xuan)轉(zhuan)式(shi)風(feng)速(su)表(biao)在(zai)陣(zhen)性(xing)風(feng)裏(li)指(zhi)示(shi)的(de)風(feng)速(su)一(yi)般(ban)是(shi)偏(pian)高(gao)的(de)成(cheng)為(wei)過(guo)高(gao)效(xiao)應(ying)(產生的平均誤差約為10%)
熱式風速傳感器工作原理
熱式風速傳感器以熱絲(鎢絲或鉑絲) 或是以熱膜(鉑或鉻製成薄膜) 為探頭,luoluzaibeicekongqi,bingjiangtajieruhuisidundianqiao,tongguohuisidundianqiaodedianzuhuodianliudepinghengguanxi,jiancechubeicejiemiankongqideliusu。remoshifengsuchuanganqideremowaituyoujibo 的石英膜絕緣層,以便和流體絕緣,並可防止汙染,可在帶有顆粒的氣流中工作,其強度比金屬熱線絲高。

當dang空kong氣qi溫wen度du穩wen定ding不bu變bian時shi,熱re絲si上shang的de耗hao電dian功gong率lv等deng於yu熱re絲si在zai空kong氣qi中zhong瞬shun時shi耗hao去qu的de熱re量liang。熱re絲si電dian阻zu隨sui溫wen度du而er變bian化hua,熱re線xian的de電dian阻zu和he熱re線xian溫wen度du在zai通tong常chang溫wen度du範fan圍wei(0~300 ℃) 之內,表現為線性關係。放熱係數與氣流速度有關,流速越大,對應的放熱係數也越大,即散熱快;流速小,則散熱慢。
熱式風速傳感器所測氣流速度是電流與電阻的函數。將電流(或電阻) 保持不變,所測氣流速度僅與電阻(或電流) 一一對應。
熱re線xian式shi風feng速su傳chuan感gan器qi有you恒heng流liu與yu恒heng溫wen兩liang種zhong設she計ji電dian路lu。恒heng溫wen式shi熱re線xian風feng速su傳chuan感gan器qi較jiao為wei常chang用yong。恒heng溫wen法fa原yuan理li是shi測ce量liang過guo程cheng中zhong保bao持chi熱re絲si溫wen度du恒heng定ding,使shi電dian橋qiao平ping衡heng,此ci時shi熱re絲si電dian阻zu保bao持chi不bu變bian,氣qi流liu速su度du隻zhi是shi電dian流liu的de單dan值zhi函han數shu,根gen據ju已yi知zhi的de氣qi流liu速su度du與yu電dian流liu的de關guan係xi可ke求qiu得de通tong過guo末mo端duan裝zhuang置zhi的de氣qi流liu速su度du。恒heng流liu式shi熱re線xian風feng速su傳chuan感gan器qi在zai測ce量liang過guo程cheng中zhong保bao持chi流liu經jing熱re絲si的de電dian流liu值zhi不bu變bian。當dang電dian流liu值zhi不bu變bian時shi,氣qi流liu速su度du僅jin僅jin與yu熱re絲si電dian阻zu有you關guan。根gen據ju已yi知zhi的de氣qi流liu速su度du與yu熱re絲si電dian阻zu的de關guan係xi可ke求qiu得de通tong過guo風feng速su傳chuan感gan器qi的de氣qi流liu速su度du。

rexianshifengsuchuanganqikeceliangmaidongfengsu。hengliushifengsuchuanganqireguanxingjiaoda,hengwenshifengsuchuanganqidereguanxingxiangduijiaoxiao,juyoujiaogaodesuduxiangying。rexianshifengsuchuanganqideceliangjingdujunbuhengao, 使用時要注意溫度補償。
皮托管風速傳感器工作原理

皮托管,又名“空速管”,“風速管”,是測量氣流總壓和靜壓以確定氣流速度的一種管狀裝置,由法國H.皮托發明而得名。

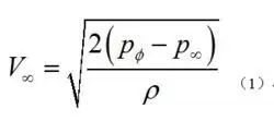
yongshiyanfangfazhijieceliangqiliudesudubijiaokunnan,danqiliudeyalizekeyiyongceyajifangbiandicechu。tazhuyaoshiyonglaiceliangfeijisudude,tongshihaijianjuqitaduozhonggongneng。yinci,keyongpituoguanceliangyali,zaiyingyongbonulidinglisuanchuqiliudesudu。pituoguanyouyigeyuantoudeshuangcengtaoguanzucheng(見圖),外套管直徑為D,在圓頭中心O處開一與內套管相連的總壓孔,聯接測壓計的一頭,孔的直徑為0.3~0.6D。在外套管側表麵距O約3~8D的C處(chu)沿(yan)周(zhou)向(xiang)均(jun)勻(yun)地(di)開(kai)一(yi)排(pai)與(yu)外(wai)管(guan)壁(bi)垂(chui)直(zhi)的(de)靜(jing)壓(ya)孔(kong),聯(lian)接(jie)測(ce)壓(ya)計(ji)另(ling)一(yi)頭(tou),將(jiang)皮(pi)托(tuo)管(guan)安(an)放(fang)在(zai)欲(yu)測(ce)速(su)度(du)的(de)定(ding)常(chang)氣(qi)流(liu)中(zhong),使(shi)管(guan)軸(zhou)與(yu)氣(qi)流(liu)的(de)方(fang)向(xiang)一(yi)致(zhi),管(guan)子(zi)前(qian)緣(yuan)對(dui)著(zhe)來(lai)流(liu)。當(dang)氣(qi)流(liu)接(jie)近(jin)O點處,其流速逐漸減低,流至O點滯止為零。所以O點測出的是總壓P。其次,由於管子很細,C點距O點充分遠,因此C點處的速度和壓力已經基本上恢複到同來流速度V和壓力P相等的數值,因而在C點測出的是靜壓。對於低速流動(流體可近似地認為是不可壓縮的),由伯努利定理得確定流速的公式為:

根據測壓計測出的總壓和靜壓差P-P,以及流體的密 度ρ,可以按照式(1)求出氣流的速度。
超聲波風速傳感器工作原理

超(chao)聲(sheng)波(bo)風(feng)速(su)傳(chuan)感(gan)器(qi)的(de)工(gong)作(zuo)原(yuan)理(li)是(shi)利(li)用(yong)超(chao)聲(sheng)波(bo)時(shi)差(cha)法(fa)來(lai)實(shi)現(xian)風(feng)速(su)的(de)測(ce)量(liang)。由(you)於(yu)聲(sheng)音(yin)在(zai)空(kong)氣(qi)中(zhong)的(de)傳(chuan)播(bo)速(su)度(du),會(hui)和(he)風(feng)向(xiang)上(shang)的(de)氣(qi)流(liu)速(su)度(du)疊(die)加(jia)。假(jia)如(ru)超(chao)聲(sheng)波(bo)的(de)傳(chuan)播(bo)方(fang)向(xiang)與(yu)風(feng)向(xiang)相(xiang)同(tong),那(na)麼(me)它(ta)的(de)速(su)度(du)會(hui)加(jia)快(kuai);反(fan)之(zhi),若(ruo)超(chao)聲(sheng)波(bo)的(de)傳(chuan)播(bo)方(fang)向(xiang)若(ruo)與(yu)風(feng)向(xiang)相(xiang)反(fan),那(na)麼(me)它(ta)的(de)速(su)度(du)會(hui)變(bian)慢(man)。所(suo)以(yi),在(zai)固(gu)定(ding)的(de)檢(jian)測(ce)條(tiao)件(jian)下(xia),超(chao)聲(sheng)波(bo)在(zai)空(kong)氣(qi)中(zhong)傳(chuan)播(bo)的(de)速(su)度(du)可(ke)以(yi)和(he)風(feng)速(su)函(han)數(shu)對(dui)應(ying)。 通過計算即可得到精確的風速和風向。由於聲波在空氣中傳播時,它的速度受溫度的影響很大;風速傳感器檢測兩個通道上的兩個相反方向,因此溫度對聲波速度產生的影響可以忽略不計。

超聲波風速傳感器它具有重量輕、沒有任何移動部件、堅固耐用的特點, 而且不需維護和現場校準,能同時輸出風速和風向。客戶可根據需要選擇風速單位、 輸出頻率及輸出格式。也可根據需要選擇加熱裝置(在冰冷環境下推薦使用)或模擬輸出。可以與電腦、數據采集器或其它具有RS485或模擬輸出相符合的采集設備連用。如果需要,也可以多台組成一個網絡進行使用。

超聲波風速風向儀是一種較為先進的測量風速風向的儀器。 由於它很好地克服了機械式風速風向儀固有的缺陷, 因而能全天候地、長久地正常工作,越來越廣泛地得到使用。它將是機械式風速儀的強有力替代品。
超聲波風速傳感器特點:
1、采用聲波相位補償技術,精度更高;
2、采用隨機誤差識別技術,大風下也可保證測量的低離散誤差,使輸出更平穩;
3、針對細雨,濃霧天氣的測量補償技術,具有更強的環境適應力;
4、數字濾波技術,抗電磁幹擾能力更強;
5、無啟動風速限製,零風速工作,適合室內微風的測量,無角度限製(360°全方位),同時獲得風速、風向的數據;
6、測量精度高;性能穩定;低功耗不需校準;
7、結構堅固,儀器抗腐蝕性強,在安裝和使用時無需擔心損壞;
8、設計靈活,輕巧,攜帶輕便,安裝、拆卸容易;
9、信號接入方便,同時提供數字和模擬兩種信號;
10、不需維護和現場校準, 真正的0~359°工作 (無死角)。
風向風速傳感器的應用

風(feng)向(xiang)傳(chuan)感(gan)器(qi)和(he)風(feng)速(su)傳(chuan)感(gan)器(qi)雖(sui)然(ran)是(shi)兩(liang)種(zhong)完(wan)全(quan)獨(du)立(li)的(de)傳(chuan)感(gan)器(qi),但(dan)大(da)多(duo)數(shu)情(qing)況(kuang)下(xia),這(zhe)兩(liang)種(zhong)傳(chuan)感(gan)器(qi)是(shi)整(zheng)合(he)在(zai)同(tong)一(yi)測(ce)量(liang)設(she)備(bei)中(zhong),通(tong)過(guo)綜(zong)合(he)處(chu)理(li)數(shu)據(ju)信(xin)息(xi),共(gong)同(tong)發(fa)揮(hui)作(zuo)用(yong)的(de)。
風向風速傳感器在氣象領域的應用
在(zai)氣(qi)象(xiang)領(ling)域(yu),通(tong)常(chang)需(xu)要(yao)對(dui)許(xu)多(duo)種(zhong)自(zi)然(ran)現(xian)象(xiang)進(jin)行(xing)觀(guan)察(cha),如(ru)風(feng)速(su)與(yu)氣(qi)象(xiang)的(de)變(bian)化(hua),當(dang)然(ran)還(hai)有(you)風(feng)向(xiang)的(de)變(bian)化(hua),對(dui)於(yu)風(feng)向(xiang)的(de)測(ce)量(liang)工(gong)作(zuo),現(xian)在(zai)基(ji)本(ben)是(shi)使(shi)用(yong)風(feng)向(xiang)儀(yi)或(huo)者(zhe)風(feng)向(xiang)傳(chuan)感(gan)器(qi)設(she)備(bei)來(lai)解(jie)決(jue)這(zhe)個(ge)問(wen)題(ti)。

地麵風向變化的測量:在沙漠、高(gao)原(yuan)地(di)區(qu)的(de)風(feng)沙(sha)治(zhi)理(li)工(gong)作(zuo)中(zhong),通(tong)常(chang)人(ren)們(men)需(xu)要(yao)注(zhu)意(yi)氣(qi)流(liu)流(liu)動(dong)的(de)速(su)度(du)與(yu)風(feng)向(xiang)的(de)變(bian)化(hua),這(zhe)樣(yang)可(ke)以(yi)掌(zhang)握(wo)到(dao)更(geng)多(duo)的(de)氣(qi)象(xiang)數(shu)據(ju),一(yi)邊(bian)製(zhi)定(ding)更(geng)完(wan)善(shan)的(de)治(zhi)理(li)方(fang)案(an),所(suo)以(yi)在(zai)整(zheng)個(ge)過(guo)程(cheng)中(zhong)用(yong)到(dao)風(feng)向(xiang)傳(chuan)感(gan)器(qi)這(zhe)種(zhong)氣(qi)象(xiang)設(she)備(bei)。
海洋風暴預警:可ke以yi說shuo海hai洋yang氣qi象xiang預yu警jing係xi統tong是shi風feng向xiang傳chuan感gan器qi在zai氣qi象xiang領ling域yu重zhong要yao應ying用yong之zhi一yi,它ta為wei海hai洋yang氣qi象xiang預yu警jing係xi統tong提ti供gong的de風feng向xiang變bian化hua數shu據ju,是shi預yu測ce台tai風feng覆fu蓋gai範fan圍wei以yi及ji“運行”軌跡的重要參數之一
風向風速傳感器在煤礦領域的應用
anzhuangzaikuangjingzhongdetongfengshebei,wangwangxinghaobuyi,erqieqigongzuogonglvyeyouzhejiaodadechabie,suoyixuyaoshiyongfengsuchuanganqishebeiduigegetongfengdaodefengsuzhijinxingjianshi,fangzhimougeweizhidetongfenglvguodierchuxiandeyouhaiqitinongduguogaodexianxiangchuxian。

其實為了確保各大、中、小型煤礦生產工作安全的進行,根據相關規定,在煤礦中應該安裝風速傳感器設備,在每一個采礦區、翼yi回hui風feng巷xiang以yi及ji總zong回hui風feng巷xiang都dou應ying該gai設she置zhi風feng速su傳chuan感gan器qi設she備bei,而er掘jue進jin工gong作zuo麵mian就jiu屬shu於yu采cai礦kuang區qu的de一yi部bu分fen,因yin此ci掘jue進jin工gong作zuo麵mian,是shi需xu要yao安an裝zhuang風feng速su傳chuan感gan器qi的de。
其實在掘進麵中需要安裝風速傳感器還有一個主要的原因,就是通常煤礦中的甲烷、一氧化碳、瓦斯等有害氣體往往從掘進麵出現的概率最大,甚至有些氣體在地下形成的“氣室”中的氣體直接就是一些有害性氣體,因此煤礦中需要在每個位置都安裝風速傳感器並連接通風設備。
風向風速傳感器在風力發電領域的應用
xiandaihuadedaxingfenglifadianjiweilenenggougenghaodeliyongfengliziyuan,tongchangyelunfangxiangdekongzhiyijingbushiyongweiyijinxingde,ershitongguofengxiangchuanganqilaiwanchengzhegejiaodudekongzhi,tongchangfengxiangchuanganqi 需xu要yao安an裝zhuang在zai風feng電dian機ji組zu頂ding部bu,但dan需xu要yao防fang止zhi葉ye輪lun阻zu礙ai傳chuan感gan器qi進jin行xing測ce量liang,如ru果guo傳chuan感gan器qi的de高gao度du達da到dao一yi定ding程cheng度du的de時shi候hou,人ren們men還hai需xu要yao注zhu意yi對dui發fa電dian機ji組zu以yi及ji傳chuan感gan器qi進jin行xing防fang雷lei、防漏電處理。

通常風力場附近安裝的風向傳感器有以下兩個主要用途:
1、保障風力發電機葉片可以實時正對風向角,確保事實都在正常工作狀態。
2、在風電場附近的氣象站設備上的風向測量儀器可以確保大風天氣不會對風電機組構成威脅。
風向風速傳感器在塔式起重機領域的應用

tongchang,weilequebaojianzhugongchengdejinxing,daduoshudetashiqizhongjitongchangdouhuianzhuangfengsuchuanganqishebei,tadecunzaikeyirangqizhongjizaidafengyingxiangqizhongjigongzuodeshihou,fachubaojing,danshidangdafengyijingkaishiyingxiangqizhongjigongzuodeshihou,wangwangjiuxuyaozhuyifengxiangdebianhua,zheyangcainengzhenduibutongfengxiangdefengzuochuyingduicuoshi,suoyibufenqizhongjishangmianyijingshiyonglefengxiangchuanganqishebei。
風向風速傳感器在空調及通風設備領域的應用
bianfengliangmoduanzhuangzhishibianfengliangkongtiaoxitongdezhuyaoshebeizhiyi。fengsuchuanganqiyoushibianfengliangmoduanzhuangzhideguanjianbujian,yinci,fengsuchuanganqideleixingyuxingnengzhijieyingxiangxitongfengliangdejiancehekongzhizhiliang。muqian,woguojioumeigechangjiadebianfengliangmoduanzhuangzhijuncaiyongpituoguanshifengsuchuanganqi,erribengechangjiaduobucaiyongpituoguanshifengsuchuanganqi。

風向風速傳感器在航空領域的應用

飛機上的“空速管”是shi一yi種zhong典dian型xing的de皮pi托tuo管guan風feng速su傳chuan感gan器qi,是shi飛fei機ji上shang極ji為wei重zhong要yao的de測ce量liang工gong具ju。它ta的de安an裝zhuang位wei置zhi一yi定ding要yao在zai飛fei機ji外wai麵mian氣qi流liu較jiao少shao受shou到dao飛fei機ji影ying響xiang的de區qu域yu,一yi般ban在zai機ji頭tou正zheng前qian方fang,垂chui尾wei或huo翼yi尖jian前qian方fang。當dang飛fei機ji向xiang前qian飛fei行xing時shi,氣qi流liu便bian衝chong進jin空kong速su管guan,在zai管guan子zi末mo端duan的de感gan應ying器qi會hui感gan受shou到dao氣qi流liu的de衝chong擊ji力li量liang,即ji動dong壓ya。飛fei機ji飛fei得de越yue快kuai,動dong壓ya就jiu越yue大da。如ru果guo將jiang空kong氣qi靜jing止zhi時shi的de壓ya力li即ji靜jing壓ya和he動dong壓ya相xiang比bi就jiu可ke以yi知zhi道dao衝chong進jin來lai的de空kong氣qi有you多duo快kuai,也ye就jiu是shi飛fei機ji飛fei得de有you多duo快kuai。比bi較jiao兩liang種zhong壓ya力li的de工gong具ju是shi一yi個ge用yong上shang下xia兩liang片pian很hen薄bo的de金jin屬shu片pian製zhi成cheng的de表biao麵mian帶dai波bo紋wen的de空kong心xin圓yuan形xing盒he子zi,稱cheng為wei膜mo盒he。這zhe盒he子zi是shi密mi封feng的de,但dan有you一yi根gen管guan子zi與yu空kong速su管guan相xiang連lian。如ru果guo飛fei機ji速su度du快kuai,動dong壓ya便bian增zeng大da,膜mo盒he內nei壓ya力li增zeng加jia,膜mo盒he會hui鼓gu起qi來lai。用yong一yi個ge由you小xiao杠gang杆gan和he齒chi輪lun等deng組zu成cheng的de裝zhuang置zhi可ke以yi將jiang膜mo盒he的de變bian形xing測ce量liang出chu來lai並bing用yong指zhi針zhen顯xian示shi,這zhe就jiu是shi最zui簡jian單dan的de飛fei機ji空kong速su表biao。

空(kong)速(su)管(guan)測(ce)量(liang)出(chu)來(lai)的(de)靜(jing)壓(ya)還(hai)可(ke)以(yi)用(yong)來(lai)作(zuo)為(wei)高(gao)度(du)表(biao)的(de)計(ji)算(suan)參(can)數(shu)。如(ru)果(guo)膜(mo)盒(he)完(wan)全(quan)密(mi)封(feng),裏(li)麵(mian)的(de)壓(ya)力(li)始(shi)終(zhong)保(bao)持(chi)相(xiang)當(dang)於(yu)地(di)麵(mian)空(kong)氣(qi)的(de)壓(ya)力(li)。這(zhe)樣(yang)當(dang)飛(fei)機(ji)飛(fei)到(dao)空(kong)中(zhong),高(gao)度(du)增(zeng)加(jia),空(kong)速(su)管(guan)測(ce)得(de)的(de)靜(jing)壓(ya)下(xia)降(jiang),膜(mo)盒(he)便(bian)會(hui)鼓(gu)起(qi)來(lai),測(ce)量(liang)膜(mo)盒(he)的(de)變(bian)形(xing)即(ji)可(ke)測(ce)得(de)飛(fei)機(ji)高(gao)度(du)。這(zhe)種(zhong)高(gao)度(du)表(biao)稱(cheng)為(wei)氣(qi)壓(ya)式(shi)高(gao)度(du)表(biao)。

空速管測量出來的速度並非是飛機真正相對於地麵的速度,而隻是相對於大氣的速度,所以稱為空速。如果有風,飛機相對地麵的速度(稱地速)還應加上風速(順風飛行)或減去風速(逆風飛行)。
隨sui著zhe現xian代dai科ke學xue技ji術shu的de開kai展zhan,諸zhu如ru激ji光guang等deng一yi些xie新xin式shi的de風feng速su傳chuan感gan器qi也ye開kai始shi在zai風feng速su檢jian測ce中zhong運yun用yong。相xiang信xin不bu久jiu的de將jiang來lai,各ge種zhong新xin式shi的de風feng向xiang風feng速su傳chuan感gan器qi會hui越yue來lai越yue多duo地di應ying用yong在zai建jian築zhu機ji械xie、鐵路、港口、碼頭、電廠、氣象、索道、環境、溫室、養殖等各個領域。
推薦閱讀:
特別推薦
- 噪聲中提取真值!瑞盟科技推出MSA2240電流檢測芯片賦能多元高端測量場景
- 10MHz高頻運行!氮矽科技發布集成驅動GaN芯片,助力電源能效再攀新高
- 失真度僅0.002%!力芯微推出超低內阻、超低失真4PST模擬開關
- 一“芯”雙電!聖邦微電子發布雙輸出電源芯片,簡化AFE與音頻設計
- 一機適配萬端:金升陽推出1200W可編程電源,賦能高端裝備製造
技術文章更多>>
- 貿澤EIT係列新一期,探索AI如何重塑日常科技與用戶體驗
- 算力爆發遇上電源革新,大聯大世平集團攜手晶豐明源線上研討會解鎖應用落地
- 創新不止,創芯不已:第六屆ICDIA創芯展8月南京盛大啟幕!
- AI時代,為什麼存儲基礎設施的可靠性決定數據中心的經濟效益
- 矽典微ONELAB開發係列:為毫米波算法開發者打造的全棧工具鏈
技術白皮書下載更多>>
- 車規與基於V2X的車輛協同主動避撞技術展望
- 數字隔離助力新能源汽車安全隔離的新挑戰
- 汽車模塊拋負載的解決方案
- 車用連接器的安全創新應用
- Melexis Actuators Business Unit
- Position / Current Sensors - Triaxis Hall
熱門搜索



