計算各種運放電路的輸出失調
發布時間:2018-06-01 來源:Rajesh Pathak 責任編輯:wenwei
【導讀】理想的運算放大器模型具有無限的增益、帶寬、輸(shu)入(ru)阻(zu)抗(kang)和(he)輸(shu)出(chu)導(dao)納(na),以(yi)及(ji)幾(ji)乎(hu)為(wei)零(ling)的(de)輸(shu)入(ru)失(shi)調(tiao)電(dian)壓(ya)和(he)偏(pian)置(zhi)電(dian)流(liu)。但(dan)在(zai)運(yun)算(suan)放(fang)大(da)器(qi)現(xian)實(shi)的(de)工(gong)作(zuo)環(huan)境(jing)中(zhong),偏(pian)離(li)理(li)想(xiang)狀(zhuang)態(tai)是(shi)正(zheng)常(chang)的(de),比(bi)如(ru)一(yi)個(ge)直(zhi)流(liu)測(ce)量(liang)係(xi)統(tong),失(shi)調(tiao)電(dian)壓(ya)的(de)存(cun)在(zai)就(jiu)不(bu)容(rong)忽(hu)視(shi)。運(yun)算(suan)放(fang)大(da)器(qi)的(de)失(shi)調(tiao)電(dian)壓(ya)會(hui)引(yin)起(qi)直(zhi)流(liu)信(xin)號(hao)輸(shu)出(chu)產(chan)生(sheng)誤(wu)差(cha),甚(shen)至(zhi)減(jian)小(xiao)輸(shu)出(chu)動(dong)態(tai)範(fan)圍(wei)。本(ben)文(wen)提(ti)出(chu)了(le)一(yi)種(zhong)計(ji)算(suan)失(shi)調(tiao)電(dian)壓(ya)的(de)通(tong)用(yong)方(fang)法(fa)。
運yun算suan放fang大da器qi是shi電dian子zi電dian路lu係xi統tong設she計ji中zhong使shi用yong最zui廣guang泛fan的de組zu件jian之zhi一yi。盡jin管guan功gong能neng簡jian單dan,它ta們men卻que表biao現xian出chu複fu雜za的de行xing為wei,因yin為wei運yun放fang本ben身shen是shi由you十shi幾ji個ge晶jing體ti管guan組zu成cheng的de精jing心xin製zhi作zuo的de子zi電dian路lu。理li想xiang化hua的de運yun放fang模mo型xing,即ji無wu限xian大da的de增zeng益yi、帶寬、輸入阻抗和輸出導納以及零值的輸入失調電壓和偏置電流,是分析運放電路(Op Amp-based circuit)的良好一階近似。
根據運放的工作環境,可以分析它與理想行為的偏差。DCceliangxitongjiushizheyangyizhonghuanjing。zaizhezhongyingyongzhong,shitiaodianyadecunzaiburonghushi。tayuxinhaochulilianbutong,zaixinhaochulilianzhongkeyongyigedianrongqiqingsongdilvchuzhiliupianyi。yunfangdeshitiaodianyahuidaozhizhiliuxinhaodeshuchuwucha。lingwai,ruguoshitiaodianyazhibukehushi,tamenkejianxiaoshuchudedongtaifanwei。gezhongwenxianhejiaokeshuduishitiaodianyadecunzaidouyoumiaoshu。
本文提出了一種當電路中使用的運放具有輸入失調量e時,計算輸出失調量的通用方法。
理想運放的傳遞函數由等式y = A(V+ - V-)描述,其中y是輸出,A是增益,A→∞,V+和V-分別是運放正、負輸入端的電壓。假設實際運放輸入/輸出傳輸特性為y = A(V+ - V- + e),其中e是理想運放的差分輸入誤差,可以計算出失調量。該模型與實際運放中觀察到的結果一致:當輸入存在差異時(V+ ≠ V-),輸出為零;當V+ = V-時,實際運放產生非零輸出。 假設運放的函數模型為y = A(V+ - V- + e),其中e是輸入失調電壓,當用於負反饋配置時,我們得到:
或者,對於在負反饋配置中使用的任何運放,V+ - V- = - e(假設增益無限大)。
因此,分析理想運放電路時廣泛遵循的運放“黃金法則”需要做一些修改,以便包含表示輸入失調電壓存在的值e。
• 在采用負反饋配置運放的電路中,V- = V+ + e;
• 運放正極或負極輸入/輸出電流為零。
現在考慮圖1所示的電路拓撲結構。原理圖拓撲結構映射到圖2所示的電路,其電阻網絡分別由戴維南(Thevenin)等效電路(從端子向外看)替換為Vth+、Rth+和Vth-、Rth-。

圖1:負反饋運放電路的一般拓撲結構。
運用黃金法則:
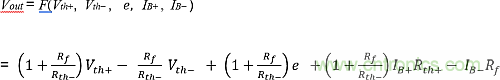
V− = V+ + e = Vth+ + e,因為V+ = Vth+。 在圖2中運放的負極端應用基爾霍夫電流定律,得出:
用Vth+、Vth-和e求解Vout,得到:

圖2:圖1所示的電路拓撲映射到該電路。
F(Vth+, Vth-, 0)僅僅是理想運放的輸出(即輸入失調電壓是零)。因此,輸出失調為:
我們將在廣泛使用的各種運放電路的輸出失調計算中應用上述導出公式。
1.差分放大器
參見圖3。在這種情況下:


圖3:差分放大器。
1a. 同相放大器
差分放大器的一個特例,V1 = 0和R1 = 0。
2.求和放大器
見圖4。

圖4:求和放大器。
在這種情況下,Rth- = R1 || R2 || R3 ……….|| Rn,因此:

2a. 反相放大器
求和放大器特例,n = 1。
2b. 二進製加權數模轉換器
上麵顯示的求和放大器特例,其中:

3. R-2R梯形數模轉換器
眾所周知,R-2R梯形的等效輸出電阻是R,與梯形的長度無關。圖5和圖6顯示了兩種實現方式。在圖5中:

圖5:具有緩衝輸出的R-2R梯形數模轉換器。

圖6:帶反相輸出的R-2R梯形數模轉換器。
在圖6中:
當n值較小,與圖6中的R-2R DAC相比,加權二進製DAC產生的輸出失調更小。
考慮偏置電流
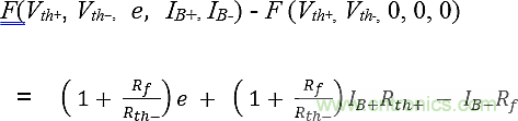
本節的輸出失調計算考慮了偏置電流。假設流出正、負端子的偏置電流分別為IB+和IB-(+值為輸出電流)。參考圖2。
在運放負端應用基爾霍夫電流定律,得出:
用Vth+、Vth-、e、IB+、IB-求解Vout,得到:

F(Vth+, Vth-, 0, 0, 0)為理想運放的輸出。因此,輸出失調量由下式給出:

計算出上述每一種情況的Rth+和Rth-後,總失調量的計算就是簡單地將適當的值代入上述等式中。
本文轉載自電子技術設計。
推薦閱讀:
特別推薦
- 噪聲中提取真值!瑞盟科技推出MSA2240電流檢測芯片賦能多元高端測量場景
- 10MHz高頻運行!氮矽科技發布集成驅動GaN芯片,助力電源能效再攀新高
- 失真度僅0.002%!力芯微推出超低內阻、超低失真4PST模擬開關
- 一“芯”雙電!聖邦微電子發布雙輸出電源芯片,簡化AFE與音頻設計
- 一機適配萬端:金升陽推出1200W可編程電源,賦能高端裝備製造
技術文章更多>>
- 算力爆發遇上電源革新,大聯大世平集團攜手晶豐明源線上研討會解鎖應用落地
- 築基AI4S:摩爾線程全功能GPU加速中國生命科學自主生態
- 一秒檢測,成本降至萬分之一,光引科技把幾十萬的台式光譜儀“搬”到了手腕上
- AI服務器電源機櫃Power Rack HVDC MW級測試方案
- 突破工藝邊界,奎芯科技LPDDR5X IP矽驗證通過,速率達9600Mbps
技術白皮書下載更多>>
- 車規與基於V2X的車輛協同主動避撞技術展望
- 數字隔離助力新能源汽車安全隔離的新挑戰
- 汽車模塊拋負載的解決方案
- 車用連接器的安全創新應用
- Melexis Actuators Business Unit
- Position / Current Sensors - Triaxis Hall
熱門搜索
微波功率管
微波開關
微波連接器
微波器件
微波三極管
微波振蕩器
微電機
微調電容
微動開關
微蜂窩
位置傳感器
溫度保險絲
溫度傳感器
溫控開關
溫控可控矽
聞泰
穩壓電源
穩壓二極管
穩壓管
無焊端子
無線充電
無線監控
無源濾波器
五金工具
物聯網
顯示模塊
顯微鏡結構
線圈
線繞電位器
線繞電阻



